心脏淀粉样变性的正电子发射断层扫描:目前的证据和未来的方向。

IF 4.2 2区 医学 Q1 CARDIAC & CARDIOVASCULAR SYSTEMS
Heart Failure Reviews Pub Date : 2025-05-01 Epub Date: 2025-02-10 DOI:10.1007/s10741-025-10493-3
Alberto Aimo, Yu Fu Ferrari Chen, Vincenzo Castiglione, Claudio Passino, Dario Genovesi, Assuero Giorgetti, Michele Emdin, Giuseppe Vergaro
{"title":"心脏淀粉样变性的正电子发射断层扫描:目前的证据和未来的方向。","authors":"Alberto Aimo, Yu Fu Ferrari Chen, Vincenzo Castiglione, Claudio Passino, Dario Genovesi, Assuero Giorgetti, Michele Emdin, Giuseppe Vergaro","doi":"10.1007/s10741-025-10493-3","DOIUrl":null,"url":null,"abstract":"<p><p>The increasing recognition of cardiac amyloidosis (CA) as a cause of heart failure, coupled with advancements in therapeutic options, has underscored the need for early detection. Positron emission tomography (PET) imaging emerged as a promising non-invasive tool for diagnosing and managing CA. This review provides a comprehensive analysis of current PET imaging techniques, focusing on radiotracers, including [<sup>11</sup>C]Pittsburgh Compound B, [<sup>18</sup>F]Flutemetamol, [<sup>18</sup>F]Florbetapir, [<sup>18</sup>F]Florbetaben, [<sup>18</sup>F]-sodium fluoride, and [<sup>124</sup>I]Evuzamitide. PET imaging's ability to differentiating CA subtypes and quantify amyloid burden contributes defining prognosis and aids in monitoring treatment response. However, standardizing imaging protocols and establishing definitive diagnostic thresholds remain challenging. As PET imaging continues to evolve, it promises to improve patient outcomes by facilitating earlier diagnosis, more accurate subtype differentiation, and better treatment monitoring in CA.</p>","PeriodicalId":12950,"journal":{"name":"Heart Failure Reviews","volume":" ","pages":"605-618"},"PeriodicalIF":4.2000,"publicationDate":"2025-05-01","publicationTypes":"Journal Article","fieldsOfStudy":null,"isOpenAccess":false,"openAccessPdf":"https://www.ncbi.nlm.nih.gov/pmc/articles/PMC11991988/pdf/","citationCount":"0","resultStr":"{\"title\":\"Positron emission tomography in cardiac amyloidosis: current evidence and future directions.\",\"authors\":\"Alberto Aimo, Yu Fu Ferrari Chen, Vincenzo Castiglione, Claudio Passino, Dario Genovesi, Assuero Giorgetti, Michele Emdin, Giuseppe Vergaro\",\"doi\":\"10.1007/s10741-025-10493-3\",\"DOIUrl\":null,\"url\":null,\"abstract\":\"<p><p>The increasing recognition of cardiac amyloidosis (CA) as a cause of heart failure, coupled with advancements in therapeutic options, has underscored the need for early detection. Positron emission tomography (PET) imaging emerged as a promising non-invasive tool for diagnosing and managing CA. This review provides a comprehensive analysis of current PET imaging techniques, focusing on radiotracers, including [<sup>11</sup>C]Pittsburgh Compound B, [<sup>18</sup>F]Flutemetamol, [<sup>18</sup>F]Florbetapir, [<sup>18</sup>F]Florbetaben, [<sup>18</sup>F]-sodium fluoride, and [<sup>124</sup>I]Evuzamitide. PET imaging's ability to differentiating CA subtypes and quantify amyloid burden contributes defining prognosis and aids in monitoring treatment response. However, standardizing imaging protocols and establishing definitive diagnostic thresholds remain challenging. As PET imaging continues to evolve, it promises to improve patient outcomes by facilitating earlier diagnosis, more accurate subtype differentiation, and better treatment monitoring in CA.</p>\",\"PeriodicalId\":12950,\"journal\":{\"name\":\"Heart Failure Reviews\",\"volume\":\" \",\"pages\":\"605-618\"},\"PeriodicalIF\":4.2000,\"publicationDate\":\"2025-05-01\",\"publicationTypes\":\"Journal Article\",\"fieldsOfStudy\":null,\"isOpenAccess\":false,\"openAccessPdf\":\"https://www.ncbi.nlm.nih.gov/pmc/articles/PMC11991988/pdf/\",\"citationCount\":\"0\",\"resultStr\":null,\"platform\":\"Semanticscholar\",\"paperid\":null,\"PeriodicalName\":\"Heart Failure Reviews\",\"FirstCategoryId\":\"3\",\"ListUrlMain\":\"https://doi.org/10.1007/s10741-025-10493-3\",\"RegionNum\":2,\"RegionCategory\":\"医学\",\"ArticlePicture\":[],\"TitleCN\":null,\"AbstractTextCN\":null,\"PMCID\":null,\"EPubDate\":\"2025/2/10 0:00:00\",\"PubModel\":\"Epub\",\"JCR\":\"Q1\",\"JCRName\":\"CARDIAC & CARDIOVASCULAR SYSTEMS\",\"Score\":null,\"Total\":0}","platform":"Semanticscholar","paperid":null,"PeriodicalName":"Heart Failure Reviews","FirstCategoryId":"3","ListUrlMain":"https://doi.org/10.1007/s10741-025-10493-3","RegionNum":2,"RegionCategory":"医学","ArticlePicture":[],"TitleCN":null,"AbstractTextCN":null,"PMCID":null,"EPubDate":"2025/2/10 0:00:00","PubModel":"Epub","JCR":"Q1","JCRName":"CARDIAC & CARDIOVASCULAR SYSTEMS","Score":null,"Total":0}
引用次数: 0

摘要

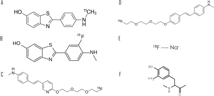
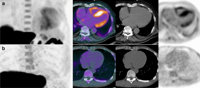
越来越多的人认识到心脏淀粉样变性(CA)是心力衰竭的一个原因,加上治疗方案的进步,强调了早期发现的必要性。正电子发射断层扫描(PET)成像是一种很有前途的诊断和治疗CA的非侵入性工具。本文综述了目前PET成像技术的全面分析,重点是放射性示踪剂,包括[11C]匹兹堡化合物B, [18F]氟替他莫,[18F]Florbetapir, [18F]Florbetaben, [18F]氟化钠和[124I]Evuzamitide。PET成像鉴别CA亚型和量化淀粉样蛋白负担的能力有助于确定预后并有助于监测治疗反应。然而,标准化成像方案和建立明确的诊断阈值仍然具有挑战性。随着PET成像的不断发展,它有望通过促进CA的早期诊断、更准确的亚型区分和更好的治疗监测来改善患者的预后。
本文章由计算机程序翻译,如有差异,请以英文原文为准。

Positron emission tomography in cardiac amyloidosis: current evidence and future directions.

Positron emission tomography in cardiac amyloidosis: current evidence and future directions.

Positron emission tomography in cardiac amyloidosis: current evidence and future directions.

Positron emission tomography in cardiac amyloidosis: current evidence and future directions.

The increasing recognition of cardiac amyloidosis (CA) as a cause of heart failure, coupled with advancements in therapeutic options, has underscored the need for early detection. Positron emission tomography (PET) imaging emerged as a promising non-invasive tool for diagnosing and managing CA. This review provides a comprehensive analysis of current PET imaging techniques, focusing on radiotracers, including [11C]Pittsburgh Compound B, [18F]Flutemetamol, [18F]Florbetapir, [18F]Florbetaben, [18F]-sodium fluoride, and [124I]Evuzamitide. PET imaging's ability to differentiating CA subtypes and quantify amyloid burden contributes defining prognosis and aids in monitoring treatment response. However, standardizing imaging protocols and establishing definitive diagnostic thresholds remain challenging. As PET imaging continues to evolve, it promises to improve patient outcomes by facilitating earlier diagnosis, more accurate subtype differentiation, and better treatment monitoring in CA.

求助全文
通过发布文献求助,成功后即可免费获取论文全文。 去求助
来源期刊
Heart Failure Reviews
Heart Failure Reviews 医学-心血管系统
CiteScore
10.40
自引率
2.20%
发文量
90
审稿时长
6-12 weeks
期刊介绍: Heart Failure Reviews is an international journal which develops links between basic scientists and clinical investigators, creating a unique, interdisciplinary dialogue focused on heart failure, its pathogenesis and treatment. The journal accordingly publishes papers in both basic and clinical research fields. Topics covered include clinical and surgical approaches to therapy, basic pharmacology, biochemistry, molecular biology, pathology, and electrophysiology. The reviews are comprehensive, expanding the reader''s knowledge base and awareness of current research and new findings in this rapidly growing field of cardiovascular medicine. All reviews are thoroughly peer-reviewed before publication.
×
引用
GB/T 7714-2015
复制
MLA
复制
APA
复制
导出至
BibTeX EndNote RefMan NoteFirst NoteExpress
×
提示
您的信息不完整,为了账户安全,请先补充。
现在去补充
×
提示
您因"违规操作"
具体请查看互助需知
我知道了
×
提示
确定
请完成安全验证×
copy
已复制链接
快去分享给好友吧!
我知道了
右上角分享
点击右上角分享
0
联系我们:info@booksci.cn Book学术提供免费学术资源搜索服务,方便国内外学者检索中英文文献。致力于提供最便捷和优质的服务体验。 Copyright © 2023 布克学术 All rights reserved.
京ICP备2023020795号-1
ghs 京公网安备 11010802042870号
Book学术文献互助
Book学术文献互助群
群 号:604180095
Book学术官方微信