会话式人工智能在纠正心智理论和自主性偏差方面的效果:比较分析。

IF 5.8 2区 医学 Q1 PSYCHIATRY
Jmir Mental Health Pub Date : 2025-02-07 DOI:10.2196/64396
Marcin Rządeczka, Anna Sterna, Julia Stolińska, Paulina Kaczyńska, Marcin Moskalewicz
{"title":"会话式人工智能在纠正心智理论和自主性偏差方面的效果:比较分析。","authors":"Marcin Rządeczka, Anna Sterna, Julia Stolińska, Paulina Kaczyńska, Marcin Moskalewicz","doi":"10.2196/64396","DOIUrl":null,"url":null,"abstract":"<p><strong>Background: </strong>The increasing deployment of conversational artificial intelligence (AI) in mental health interventions necessitates an evaluation of their efficacy in rectifying cognitive biases and recognizing affect in human-AI interactions. These biases are particularly relevant in mental health contexts as they can exacerbate conditions such as depression and anxiety by reinforcing maladaptive thought patterns or unrealistic expectations in human-AI interactions.</p><p><strong>Objective: </strong>This study aimed to assess the effectiveness of therapeutic chatbots (Wysa and Youper) versus general-purpose language models (GPT-3.5, GPT-4, and Gemini Pro) in identifying and rectifying cognitive biases and recognizing affect in user interactions.</p><p><strong>Methods: </strong>This study used constructed case scenarios simulating typical user-bot interactions to examine how effectively chatbots address selected cognitive biases. The cognitive biases assessed included theory-of-mind biases (anthropomorphism, overtrust, and attribution) and autonomy biases (illusion of control, fundamental attribution error, and just-world hypothesis). Each chatbot response was evaluated based on accuracy, therapeutic quality, and adherence to cognitive behavioral therapy principles using an ordinal scale to ensure consistency in scoring. To enhance reliability, responses underwent a double review process by 2 cognitive scientists, followed by a secondary review by a clinical psychologist specializing in cognitive behavioral therapy, ensuring a robust assessment across interdisciplinary perspectives.</p><p><strong>Results: </strong>This study revealed that general-purpose chatbots outperformed therapeutic chatbots in rectifying cognitive biases, particularly in overtrust bias, fundamental attribution error, and just-world hypothesis. GPT-4 achieved the highest scores across all biases, whereas the therapeutic bot Wysa scored the lowest. Notably, general-purpose bots showed more consistent accuracy and adaptability in recognizing and addressing bias-related cues across different contexts, suggesting a broader flexibility in handling complex cognitive patterns. In addition, in affect recognition tasks, general-purpose chatbots not only excelled but also demonstrated quicker adaptation to subtle emotional nuances, outperforming therapeutic bots in 67% (4/6) of the tested biases.</p><p><strong>Conclusions: </strong>This study shows that, while therapeutic chatbots hold promise for mental health support and cognitive bias intervention, their current capabilities are limited. Addressing cognitive biases in AI-human interactions requires systems that can both rectify and analyze biases as integral to human cognition, promoting precision and simulating empathy. The findings reveal the need for improved simulated emotional intelligence in chatbot design to provide adaptive, personalized responses that reduce overreliance and encourage independent coping skills. Future research should focus on enhancing affective response mechanisms and addressing ethical concerns such as bias mitigation and data privacy to ensure safe, effective AI-based mental health support.</p>","PeriodicalId":48616,"journal":{"name":"Jmir Mental Health","volume":"12 ","pages":"e64396"},"PeriodicalIF":5.8000,"publicationDate":"2025-02-07","publicationTypes":"Journal Article","fieldsOfStudy":null,"isOpenAccess":false,"openAccessPdf":"https://www.ncbi.nlm.nih.gov/pmc/articles/PMC11845887/pdf/","citationCount":"0","resultStr":"{\"title\":\"The Efficacy of Conversational AI in Rectifying the Theory-of-Mind and Autonomy Biases: Comparative Analysis.\",\"authors\":\"Marcin Rządeczka, Anna Sterna, Julia Stolińska, Paulina Kaczyńska, Marcin Moskalewicz\",\"doi\":\"10.2196/64396\",\"DOIUrl\":null,\"url\":null,\"abstract\":\"<p><strong>Background: </strong>The increasing deployment of conversational artificial intelligence (AI) in mental health interventions necessitates an evaluation of their efficacy in rectifying cognitive biases and recognizing affect in human-AI interactions. These biases are particularly relevant in mental health contexts as they can exacerbate conditions such as depression and anxiety by reinforcing maladaptive thought patterns or unrealistic expectations in human-AI interactions.</p><p><strong>Objective: </strong>This study aimed to assess the effectiveness of therapeutic chatbots (Wysa and Youper) versus general-purpose language models (GPT-3.5, GPT-4, and Gemini Pro) in identifying and rectifying cognitive biases and recognizing affect in user interactions.</p><p><strong>Methods: </strong>This study used constructed case scenarios simulating typical user-bot interactions to examine how effectively chatbots address selected cognitive biases. The cognitive biases assessed included theory-of-mind biases (anthropomorphism, overtrust, and attribution) and autonomy biases (illusion of control, fundamental attribution error, and just-world hypothesis). Each chatbot response was evaluated based on accuracy, therapeutic quality, and adherence to cognitive behavioral therapy principles using an ordinal scale to ensure consistency in scoring. To enhance reliability, responses underwent a double review process by 2 cognitive scientists, followed by a secondary review by a clinical psychologist specializing in cognitive behavioral therapy, ensuring a robust assessment across interdisciplinary perspectives.</p><p><strong>Results: </strong>This study revealed that general-purpose chatbots outperformed therapeutic chatbots in rectifying cognitive biases, particularly in overtrust bias, fundamental attribution error, and just-world hypothesis. GPT-4 achieved the highest scores across all biases, whereas the therapeutic bot Wysa scored the lowest. Notably, general-purpose bots showed more consistent accuracy and adaptability in recognizing and addressing bias-related cues across different contexts, suggesting a broader flexibility in handling complex cognitive patterns. In addition, in affect recognition tasks, general-purpose chatbots not only excelled but also demonstrated quicker adaptation to subtle emotional nuances, outperforming therapeutic bots in 67% (4/6) of the tested biases.</p><p><strong>Conclusions: </strong>This study shows that, while therapeutic chatbots hold promise for mental health support and cognitive bias intervention, their current capabilities are limited. Addressing cognitive biases in AI-human interactions requires systems that can both rectify and analyze biases as integral to human cognition, promoting precision and simulating empathy. The findings reveal the need for improved simulated emotional intelligence in chatbot design to provide adaptive, personalized responses that reduce overreliance and encourage independent coping skills. Future research should focus on enhancing affective response mechanisms and addressing ethical concerns such as bias mitigation and data privacy to ensure safe, effective AI-based mental health support.</p>\",\"PeriodicalId\":48616,\"journal\":{\"name\":\"Jmir Mental Health\",\"volume\":\"12 \",\"pages\":\"e64396\"},\"PeriodicalIF\":5.8000,\"publicationDate\":\"2025-02-07\",\"publicationTypes\":\"Journal Article\",\"fieldsOfStudy\":null,\"isOpenAccess\":false,\"openAccessPdf\":\"https://www.ncbi.nlm.nih.gov/pmc/articles/PMC11845887/pdf/\",\"citationCount\":\"0\",\"resultStr\":null,\"platform\":\"Semanticscholar\",\"paperid\":null,\"PeriodicalName\":\"Jmir Mental Health\",\"FirstCategoryId\":\"3\",\"ListUrlMain\":\"https://doi.org/10.2196/64396\",\"RegionNum\":2,\"RegionCategory\":\"医学\",\"ArticlePicture\":[],\"TitleCN\":null,\"AbstractTextCN\":null,\"PMCID\":null,\"EPubDate\":\"\",\"PubModel\":\"\",\"JCR\":\"Q1\",\"JCRName\":\"PSYCHIATRY\",\"Score\":null,\"Total\":0}","platform":"Semanticscholar","paperid":null,"PeriodicalName":"Jmir Mental Health","FirstCategoryId":"3","ListUrlMain":"https://doi.org/10.2196/64396","RegionNum":2,"RegionCategory":"医学","ArticlePicture":[],"TitleCN":null,"AbstractTextCN":null,"PMCID":null,"EPubDate":"","PubModel":"","JCR":"Q1","JCRName":"PSYCHIATRY","Score":null,"Total":0}
引用次数: 0

摘要

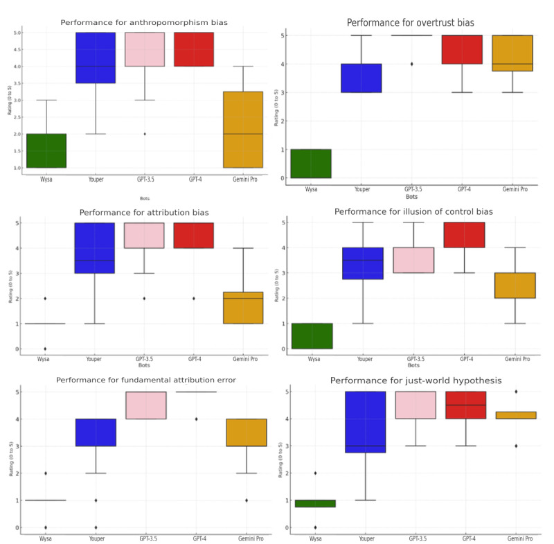
背景:会话人工智能(AI)在心理健康干预中的应用越来越多,需要评估其在纠正认知偏差和识别人类-AI交互中的影响方面的功效。这些偏见在心理健康环境中尤为重要,因为它们会强化人类与人工智能互动中的不适应思维模式或不切实际的期望,从而加剧抑郁和焦虑等状况。目的:本研究旨在评估治疗性聊天机器人(Wysa和Youper)与通用语言模型(GPT-3.5、GPT-4和Gemini Pro)在识别和纠正用户交互中的认知偏差和识别影响方面的有效性。方法:本研究使用构建的案例场景来模拟典型的用户-机器人交互,以检验聊天机器人如何有效地解决选定的认知偏见。评估的认知偏差包括心理理论偏差(拟人化、过度信任和归因)和自主性偏差(控制幻觉、基本归因错误和公正世界假说)。每个聊天机器人的反应都是根据准确性、治疗质量和对认知行为治疗原则的依从性进行评估的,使用顺序量表来确保评分的一致性。为了提高可靠性,回答经过了2名认知科学家的双重审查过程,随后由一名专门从事认知行为治疗的临床心理学家进行了二次审查,以确保跨学科观点的可靠评估。结果:本研究表明,通用型聊天机器人在纠正认知偏差方面优于治疗型聊天机器人,尤其是在过度信任偏差、基本归因错误和公正世界假设方面。GPT-4在所有偏差中得分最高,而治疗机器人Wysa得分最低。值得注意的是,通用机器人在识别和处理不同背景下与偏见相关的线索方面表现出更一致的准确性和适应性,这表明它们在处理复杂的认知模式方面具有更大的灵活性。此外,在情感识别任务中,通用聊天机器人不仅表现出色,而且对微妙的情感细微差别也表现出更快的适应能力,在67%(4/6)的测试偏差中表现优于治疗机器人。结论:这项研究表明,虽然治疗性聊天机器人在心理健康支持和认知偏见干预方面有希望,但它们目前的能力有限。解决人工智能与人类互动中的认知偏见,需要能够纠正和分析偏见的系统,将其作为人类认知的一部分,提高准确性并模拟同理心。研究结果表明,在聊天机器人的设计中,需要改进模拟情商,以提供自适应、个性化的反应,减少过度依赖,鼓励独立应对技能。未来的研究应侧重于加强情感反应机制,解决诸如减轻偏见和数据隐私等伦理问题,以确保安全、有效的基于人工智能的心理健康支持。
本文章由计算机程序翻译,如有差异,请以英文原文为准。

The Efficacy of Conversational AI in Rectifying the Theory-of-Mind and Autonomy Biases: Comparative Analysis.

The Efficacy of Conversational AI in Rectifying the Theory-of-Mind and Autonomy Biases: Comparative Analysis.

The Efficacy of Conversational AI in Rectifying the Theory-of-Mind and Autonomy Biases: Comparative Analysis.

The Efficacy of Conversational AI in Rectifying the Theory-of-Mind and Autonomy Biases: Comparative Analysis.

Background: The increasing deployment of conversational artificial intelligence (AI) in mental health interventions necessitates an evaluation of their efficacy in rectifying cognitive biases and recognizing affect in human-AI interactions. These biases are particularly relevant in mental health contexts as they can exacerbate conditions such as depression and anxiety by reinforcing maladaptive thought patterns or unrealistic expectations in human-AI interactions.

Objective: This study aimed to assess the effectiveness of therapeutic chatbots (Wysa and Youper) versus general-purpose language models (GPT-3.5, GPT-4, and Gemini Pro) in identifying and rectifying cognitive biases and recognizing affect in user interactions.

Methods: This study used constructed case scenarios simulating typical user-bot interactions to examine how effectively chatbots address selected cognitive biases. The cognitive biases assessed included theory-of-mind biases (anthropomorphism, overtrust, and attribution) and autonomy biases (illusion of control, fundamental attribution error, and just-world hypothesis). Each chatbot response was evaluated based on accuracy, therapeutic quality, and adherence to cognitive behavioral therapy principles using an ordinal scale to ensure consistency in scoring. To enhance reliability, responses underwent a double review process by 2 cognitive scientists, followed by a secondary review by a clinical psychologist specializing in cognitive behavioral therapy, ensuring a robust assessment across interdisciplinary perspectives.

Results: This study revealed that general-purpose chatbots outperformed therapeutic chatbots in rectifying cognitive biases, particularly in overtrust bias, fundamental attribution error, and just-world hypothesis. GPT-4 achieved the highest scores across all biases, whereas the therapeutic bot Wysa scored the lowest. Notably, general-purpose bots showed more consistent accuracy and adaptability in recognizing and addressing bias-related cues across different contexts, suggesting a broader flexibility in handling complex cognitive patterns. In addition, in affect recognition tasks, general-purpose chatbots not only excelled but also demonstrated quicker adaptation to subtle emotional nuances, outperforming therapeutic bots in 67% (4/6) of the tested biases.

Conclusions: This study shows that, while therapeutic chatbots hold promise for mental health support and cognitive bias intervention, their current capabilities are limited. Addressing cognitive biases in AI-human interactions requires systems that can both rectify and analyze biases as integral to human cognition, promoting precision and simulating empathy. The findings reveal the need for improved simulated emotional intelligence in chatbot design to provide adaptive, personalized responses that reduce overreliance and encourage independent coping skills. Future research should focus on enhancing affective response mechanisms and addressing ethical concerns such as bias mitigation and data privacy to ensure safe, effective AI-based mental health support.

求助全文
通过发布文献求助,成功后即可免费获取论文全文。 去求助
来源期刊
Jmir Mental Health
Jmir Mental Health Medicine-Psychiatry and Mental Health
CiteScore
10.80
自引率
3.80%
发文量
104
审稿时长
16 weeks
期刊介绍: JMIR Mental Health (JMH, ISSN 2368-7959) is a PubMed-indexed, peer-reviewed sister journal of JMIR, the leading eHealth journal (Impact Factor 2016: 5.175). JMIR Mental Health focusses on digital health and Internet interventions, technologies and electronic innovations (software and hardware) for mental health, addictions, online counselling and behaviour change. This includes formative evaluation and system descriptions, theoretical papers, review papers, viewpoint/vision papers, and rigorous evaluations.
×
引用
GB/T 7714-2015
复制
MLA
复制
APA
复制
导出至
BibTeX EndNote RefMan NoteFirst NoteExpress
×
提示
您的信息不完整,为了账户安全,请先补充。
现在去补充
×
提示
您因"违规操作"
具体请查看互助需知
我知道了
×
提示
确定
请完成安全验证×
copy
已复制链接
快去分享给好友吧!
我知道了
右上角分享
点击右上角分享
0
联系我们:info@booksci.cn Book学术提供免费学术资源搜索服务,方便国内外学者检索中英文文献。致力于提供最便捷和优质的服务体验。 Copyright © 2023 布克学术 All rights reserved.
京ICP备2023020795号-1
ghs 京公网安备 11010802042870号
Book学术文献互助
Book学术文献互助群
群 号:604180095
Book学术官方微信