在BRAF v600突变的转移性黑色素瘤患者中,达非尼加曲美替尼诱导的发热与年龄的关系:对真实世界ELDERLYMEL研究的事后分析

IF 1.9 4区 医学 Q3 DERMATOLOGY
Melanoma Research Pub Date : 2025-06-01 Epub Date: 2025-02-07 DOI:10.1097/CMR.0000000000001020
Inés González-Barrallo, Victoria Eugenia Castellón Rubio, Javier Medina, Sofia España Fernández, Karmele Mujika, Margarita Majem, Carlos Aguado, Miguel Ángel Cabrera Suárez, Isabel Palacio, Lisa Osterloh, Alejandro Martínez-Fernández, Almudena García-Castaño
{"title":"在BRAF v600突变的转移性黑色素瘤患者中,达非尼加曲美替尼诱导的发热与年龄的关系:对真实世界ELDERLYMEL研究的事后分析","authors":"Inés González-Barrallo, Victoria Eugenia Castellón Rubio, Javier Medina, Sofia España Fernández, Karmele Mujika, Margarita Majem, Carlos Aguado, Miguel Ángel Cabrera Suárez, Isabel Palacio, Lisa Osterloh, Alejandro Martínez-Fernández, Almudena García-Castaño","doi":"10.1097/CMR.0000000000001020","DOIUrl":null,"url":null,"abstract":"<p><p>Pyrexia is the most common adverse event in patients treated with dabrafenib plus trametinib. However, the pathogenesis of pyrexia and factors to identify patients at higher risk of developing pyrexia remain unknown. The ELDERLYMEL study was a multicenter, noninterventional, retrospective, real-world study comparing the effectiveness and safety of dabrafenib plus trametinib between elderly (≥75 years, n  = 29) and younger (<75 years, n  = 130) advanced melanoma BRAF V600-mutated patients in Spain. Surprisingly, pyrexia was significantly less frequent in elderly patients (13.8%) than in younger (42.3%). The post hoc analysis presented here aimed to investigate the relationship between age and pyrexia, applying logistic regression models. Patients <75 years had 4.59 more possibilities to develop pyrexia than elderly patients. The possibility of developing pyrexia increased by 1.03 as age decreased by 1 year. Receiver operating characteristics curves identified 61.5 years as the optimal cutoff value to predict the onset of pyrexia. The age-adjusted regression model revealed that patients <61.5 years had 2.53 more possibilities to develop pyrexia than those ≥61.5. This study demonstrates, for the first time, that age significantly influences the development of pyrexia in patients with BRAF V600-mutated advanced melanoma receiving dabrafenib plus trametinib. Age should be considered in the management and follow-up of these patients but should not limit treatment decisions. These findings provide important insights for clinical practice and contribute to a better understanding of pyrexia in elderly patients. The constructed nomogram based on age could serve as a useful tool for estimating the risk of pyrexia in patients receiving this treatment.</p>","PeriodicalId":18550,"journal":{"name":"Melanoma Research","volume":" ","pages":"170-175"},"PeriodicalIF":1.9000,"publicationDate":"2025-06-01","publicationTypes":"Journal Article","fieldsOfStudy":null,"isOpenAccess":false,"openAccessPdf":"https://www.ncbi.nlm.nih.gov/pmc/articles/PMC12043263/pdf/","citationCount":"0","resultStr":"{\"title\":\"Relation between dabrafenib plus trametinib-induced pyrexia and age in BRAF V600-mutated metastatic melanoma patients: A post hoc analysis of the real-world ELDERLYMEL study.\",\"authors\":\"Inés González-Barrallo, Victoria Eugenia Castellón Rubio, Javier Medina, Sofia España Fernández, Karmele Mujika, Margarita Majem, Carlos Aguado, Miguel Ángel Cabrera Suárez, Isabel Palacio, Lisa Osterloh, Alejandro Martínez-Fernández, Almudena García-Castaño\",\"doi\":\"10.1097/CMR.0000000000001020\",\"DOIUrl\":null,\"url\":null,\"abstract\":\"<p><p>Pyrexia is the most common adverse event in patients treated with dabrafenib plus trametinib. However, the pathogenesis of pyrexia and factors to identify patients at higher risk of developing pyrexia remain unknown. The ELDERLYMEL study was a multicenter, noninterventional, retrospective, real-world study comparing the effectiveness and safety of dabrafenib plus trametinib between elderly (≥75 years, n  = 29) and younger (<75 years, n  = 130) advanced melanoma BRAF V600-mutated patients in Spain. Surprisingly, pyrexia was significantly less frequent in elderly patients (13.8%) than in younger (42.3%). The post hoc analysis presented here aimed to investigate the relationship between age and pyrexia, applying logistic regression models. Patients <75 years had 4.59 more possibilities to develop pyrexia than elderly patients. The possibility of developing pyrexia increased by 1.03 as age decreased by 1 year. Receiver operating characteristics curves identified 61.5 years as the optimal cutoff value to predict the onset of pyrexia. The age-adjusted regression model revealed that patients <61.5 years had 2.53 more possibilities to develop pyrexia than those ≥61.5. This study demonstrates, for the first time, that age significantly influences the development of pyrexia in patients with BRAF V600-mutated advanced melanoma receiving dabrafenib plus trametinib. Age should be considered in the management and follow-up of these patients but should not limit treatment decisions. These findings provide important insights for clinical practice and contribute to a better understanding of pyrexia in elderly patients. The constructed nomogram based on age could serve as a useful tool for estimating the risk of pyrexia in patients receiving this treatment.</p>\",\"PeriodicalId\":18550,\"journal\":{\"name\":\"Melanoma Research\",\"volume\":\" \",\"pages\":\"170-175\"},\"PeriodicalIF\":1.9000,\"publicationDate\":\"2025-06-01\",\"publicationTypes\":\"Journal Article\",\"fieldsOfStudy\":null,\"isOpenAccess\":false,\"openAccessPdf\":\"https://www.ncbi.nlm.nih.gov/pmc/articles/PMC12043263/pdf/\",\"citationCount\":\"0\",\"resultStr\":null,\"platform\":\"Semanticscholar\",\"paperid\":null,\"PeriodicalName\":\"Melanoma Research\",\"FirstCategoryId\":\"3\",\"ListUrlMain\":\"https://doi.org/10.1097/CMR.0000000000001020\",\"RegionNum\":4,\"RegionCategory\":\"医学\",\"ArticlePicture\":[],\"TitleCN\":null,\"AbstractTextCN\":null,\"PMCID\":null,\"EPubDate\":\"2025/2/7 0:00:00\",\"PubModel\":\"Epub\",\"JCR\":\"Q3\",\"JCRName\":\"DERMATOLOGY\",\"Score\":null,\"Total\":0}","platform":"Semanticscholar","paperid":null,"PeriodicalName":"Melanoma Research","FirstCategoryId":"3","ListUrlMain":"https://doi.org/10.1097/CMR.0000000000001020","RegionNum":4,"RegionCategory":"医学","ArticlePicture":[],"TitleCN":null,"AbstractTextCN":null,"PMCID":null,"EPubDate":"2025/2/7 0:00:00","PubModel":"Epub","JCR":"Q3","JCRName":"DERMATOLOGY","Score":null,"Total":0}
引用次数: 0

摘要

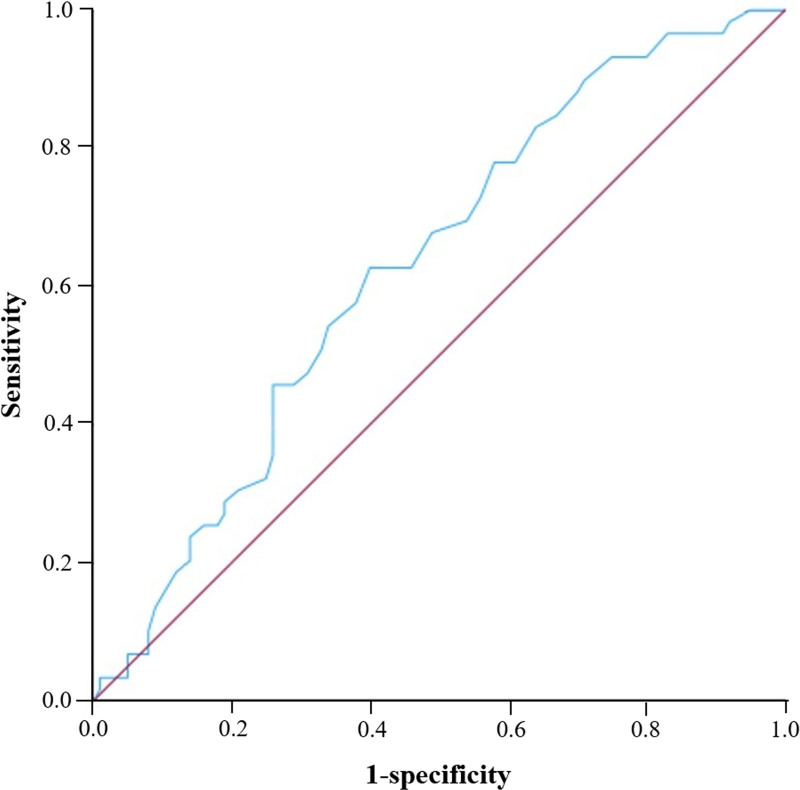
发热是使用达非尼加曲美替尼治疗的患者最常见的不良事件。然而,发热的发病机制和识别高危患者的因素仍不清楚。ELDERLYMEL研究是一项多中心、非介入、回顾性、真实世界的研究,比较了老年人(≥75岁,n = 29)和年轻人(≥75岁)使用达非尼加曲美替尼的有效性和安全性。
本文章由计算机程序翻译,如有差异,请以英文原文为准。

Relation between dabrafenib plus trametinib-induced pyrexia and age in BRAF V600-mutated metastatic melanoma patients: A post hoc analysis of the real-world ELDERLYMEL study.

Relation between dabrafenib plus trametinib-induced pyrexia and age in BRAF V600-mutated metastatic melanoma patients: A post hoc analysis of the real-world ELDERLYMEL study.

Relation between dabrafenib plus trametinib-induced pyrexia and age in BRAF V600-mutated metastatic melanoma patients: A post hoc analysis of the real-world ELDERLYMEL study.

Relation between dabrafenib plus trametinib-induced pyrexia and age in BRAF V600-mutated metastatic melanoma patients: A post hoc analysis of the real-world ELDERLYMEL study.

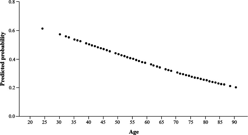
Pyrexia is the most common adverse event in patients treated with dabrafenib plus trametinib. However, the pathogenesis of pyrexia and factors to identify patients at higher risk of developing pyrexia remain unknown. The ELDERLYMEL study was a multicenter, noninterventional, retrospective, real-world study comparing the effectiveness and safety of dabrafenib plus trametinib between elderly (≥75 years, n  = 29) and younger (<75 years, n  = 130) advanced melanoma BRAF V600-mutated patients in Spain. Surprisingly, pyrexia was significantly less frequent in elderly patients (13.8%) than in younger (42.3%). The post hoc analysis presented here aimed to investigate the relationship between age and pyrexia, applying logistic regression models. Patients <75 years had 4.59 more possibilities to develop pyrexia than elderly patients. The possibility of developing pyrexia increased by 1.03 as age decreased by 1 year. Receiver operating characteristics curves identified 61.5 years as the optimal cutoff value to predict the onset of pyrexia. The age-adjusted regression model revealed that patients <61.5 years had 2.53 more possibilities to develop pyrexia than those ≥61.5. This study demonstrates, for the first time, that age significantly influences the development of pyrexia in patients with BRAF V600-mutated advanced melanoma receiving dabrafenib plus trametinib. Age should be considered in the management and follow-up of these patients but should not limit treatment decisions. These findings provide important insights for clinical practice and contribute to a better understanding of pyrexia in elderly patients. The constructed nomogram based on age could serve as a useful tool for estimating the risk of pyrexia in patients receiving this treatment.

求助全文
通过发布文献求助,成功后即可免费获取论文全文。 去求助
来源期刊
Melanoma Research
Melanoma Research 医学-皮肤病学
CiteScore
3.40
自引率
4.50%
发文量
139
审稿时长
6-12 weeks
期刊介绍: ​​​​​​Melanoma Research is a well established international forum for the dissemination of new findings relating to melanoma. The aim of the Journal is to promote the level of informational exchange between those engaged in the field. Melanoma Research aims to encourage an informed and balanced view of experimental and clinical research and extend and stimulate communication and exchange of knowledge between investigators with differing areas of expertise. This will foster the development of translational research. The reporting of new clinical results and the effect and toxicity of new therapeutic agents and immunotherapy will be given emphasis by rapid publication of Short Communications. ​Thus, Melanoma Research seeks to present a coherent and up-to-date account of all aspects of investigations pertinent to melanoma. Consequently the scope of the Journal is broad, embracing the entire range of studies from fundamental and applied research in such subject areas as genetics, molecular biology, biochemistry, cell biology, photobiology, pathology, immunology, and advances in clinical oncology influencing the prevention, diagnosis and treatment of melanoma.
×
引用
GB/T 7714-2015
复制
MLA
复制
APA
复制
导出至
BibTeX EndNote RefMan NoteFirst NoteExpress
×
提示
您的信息不完整,为了账户安全,请先补充。
现在去补充
×
提示
您因"违规操作"
具体请查看互助需知
我知道了
×
提示
确定
请完成安全验证×
copy
已复制链接
快去分享给好友吧!
我知道了
右上角分享
点击右上角分享
0
联系我们:info@booksci.cn Book学术提供免费学术资源搜索服务,方便国内外学者检索中英文文献。致力于提供最便捷和优质的服务体验。 Copyright © 2023 布克学术 All rights reserved.
京ICP备2023020795号-1
ghs 京公网安备 11010802042870号
Book学术文献互助
Book学术文献互助群
群 号:604180095
Book学术官方微信