环境因素对口腔放线菌和沙氏菌硝酸盐和亚硝酸盐代谢的影响。

IF 2.9 3区 医学 Q1 DENTISTRY, ORAL SURGERY & MEDICINE
Molecular Oral Microbiology Pub Date : 2025-04-01 Epub Date: 2025-02-06 DOI:10.1111/omi.12492
Tomona Otake, Jumpei Washio, Kazuko Ezoe, Satoko Sato, Yuki Abiko, Kaoru Igarashi, Nobuhiro Takahashi
{"title":"环境因素对口腔放线菌和沙氏菌硝酸盐和亚硝酸盐代谢的影响。","authors":"Tomona Otake, Jumpei Washio, Kazuko Ezoe, Satoko Sato, Yuki Abiko, Kaoru Igarashi, Nobuhiro Takahashi","doi":"10.1111/omi.12492","DOIUrl":null,"url":null,"abstract":"<p><p>Actinomyces naeslundii and Schaalia odontolytica belong to the most predominant nitrite-producing bacteria in the oral microbiome. Nitrite has antibacterial and vasodilatory effects that may contribute to maintaining oral and systemic health. We have previously elucidated the metabolic characteristics of the nitrite-producing activity of oral Veillonella species and the effects of oral environmental factors. However, this is still unknown for Actinomyces and Schaalia species. Furthermore, these bacteria are thought to degrade nitrite. Therefore, this study aimed to comprehensively elucidate the effects of environmental factors (pH, oxygen concentration, glucose, lactate, and the presence of nitrate/nitrite during growth) on nitrate and nitrite metabolism of these bacterial species using the type strains. Nitrite was quantified by Griess reagent, and final metabolites were analyzed by high-performance liquid chromatography (HPLC). The nitrite-producing activity of A. naeslundii and S. odontolytica was affected variously by environmental factors. Especially in A. naeslundii, under anaerobic conditions, the activity increased in a concentration-dependent manner with the addition of glucose or lactate and was higher at lower pH when lactate was added. The nitrite-degrading activity of both bacteria was lower than the nitrite-producing activity and was less affected by environmental factors. Metabolites from glucose by A. naeslundii were different with and without nitrate, suggesting that nitrate altered metabolic pathways. The growth was inhibited under anaerobic conditions but promoted under aerobic conditions. These results indicate that the nitrite-producing capacity of the oral microflora must take into account not only the composition and abundance of bacteria but also the variation in metabolic activity due to various environmental factors.</p>","PeriodicalId":18815,"journal":{"name":"Molecular Oral Microbiology","volume":" ","pages":"104-115"},"PeriodicalIF":2.9000,"publicationDate":"2025-04-01","publicationTypes":"Journal Article","fieldsOfStudy":null,"isOpenAccess":false,"openAccessPdf":"https://www.ncbi.nlm.nih.gov/pmc/articles/PMC11904265/pdf/","citationCount":"0","resultStr":"{\"title\":\"The Effect of Environmental Factors on the Nitrate and Nitrite Metabolism of Oral Actinomyces and Schaalia Species.\",\"authors\":\"Tomona Otake, Jumpei Washio, Kazuko Ezoe, Satoko Sato, Yuki Abiko, Kaoru Igarashi, Nobuhiro Takahashi\",\"doi\":\"10.1111/omi.12492\",\"DOIUrl\":null,\"url\":null,\"abstract\":\"<p><p>Actinomyces naeslundii and Schaalia odontolytica belong to the most predominant nitrite-producing bacteria in the oral microbiome. Nitrite has antibacterial and vasodilatory effects that may contribute to maintaining oral and systemic health. We have previously elucidated the metabolic characteristics of the nitrite-producing activity of oral Veillonella species and the effects of oral environmental factors. However, this is still unknown for Actinomyces and Schaalia species. Furthermore, these bacteria are thought to degrade nitrite. Therefore, this study aimed to comprehensively elucidate the effects of environmental factors (pH, oxygen concentration, glucose, lactate, and the presence of nitrate/nitrite during growth) on nitrate and nitrite metabolism of these bacterial species using the type strains. Nitrite was quantified by Griess reagent, and final metabolites were analyzed by high-performance liquid chromatography (HPLC). The nitrite-producing activity of A. naeslundii and S. odontolytica was affected variously by environmental factors. Especially in A. naeslundii, under anaerobic conditions, the activity increased in a concentration-dependent manner with the addition of glucose or lactate and was higher at lower pH when lactate was added. The nitrite-degrading activity of both bacteria was lower than the nitrite-producing activity and was less affected by environmental factors. Metabolites from glucose by A. naeslundii were different with and without nitrate, suggesting that nitrate altered metabolic pathways. The growth was inhibited under anaerobic conditions but promoted under aerobic conditions. These results indicate that the nitrite-producing capacity of the oral microflora must take into account not only the composition and abundance of bacteria but also the variation in metabolic activity due to various environmental factors.</p>\",\"PeriodicalId\":18815,\"journal\":{\"name\":\"Molecular Oral Microbiology\",\"volume\":\" \",\"pages\":\"104-115\"},\"PeriodicalIF\":2.9000,\"publicationDate\":\"2025-04-01\",\"publicationTypes\":\"Journal Article\",\"fieldsOfStudy\":null,\"isOpenAccess\":false,\"openAccessPdf\":\"https://www.ncbi.nlm.nih.gov/pmc/articles/PMC11904265/pdf/\",\"citationCount\":\"0\",\"resultStr\":null,\"platform\":\"Semanticscholar\",\"paperid\":null,\"PeriodicalName\":\"Molecular Oral Microbiology\",\"FirstCategoryId\":\"3\",\"ListUrlMain\":\"https://doi.org/10.1111/omi.12492\",\"RegionNum\":3,\"RegionCategory\":\"医学\",\"ArticlePicture\":[],\"TitleCN\":null,\"AbstractTextCN\":null,\"PMCID\":null,\"EPubDate\":\"2025/2/6 0:00:00\",\"PubModel\":\"Epub\",\"JCR\":\"Q1\",\"JCRName\":\"DENTISTRY, ORAL SURGERY & MEDICINE\",\"Score\":null,\"Total\":0}","platform":"Semanticscholar","paperid":null,"PeriodicalName":"Molecular Oral Microbiology","FirstCategoryId":"3","ListUrlMain":"https://doi.org/10.1111/omi.12492","RegionNum":3,"RegionCategory":"医学","ArticlePicture":[],"TitleCN":null,"AbstractTextCN":null,"PMCID":null,"EPubDate":"2025/2/6 0:00:00","PubModel":"Epub","JCR":"Q1","JCRName":"DENTISTRY, ORAL SURGERY & MEDICINE","Score":null,"Total":0}
引用次数: 0

摘要

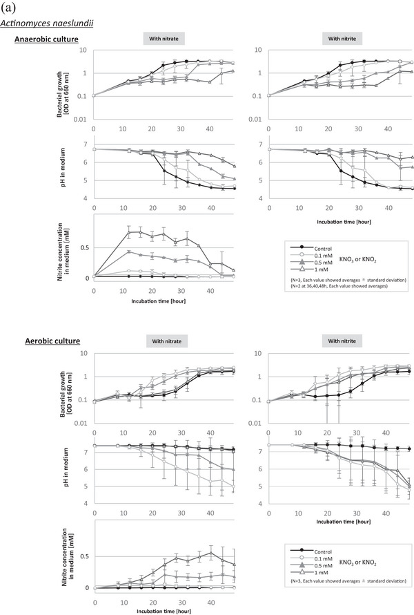
纳氏放线菌和溶牙沙利亚菌是口腔微生物群中最主要的产生亚硝酸盐的细菌。亚硝酸盐具有抗菌和血管扩张作用,可能有助于维持口腔和全身健康。我们之前已经阐明了口腔微孔菌亚硝酸盐产生活性的代谢特征以及口腔环境因素的影响。然而,对于放线菌和沙利亚菌来说,这仍然是未知的。此外,这些细菌被认为可以降解亚硝酸盐。因此,本研究旨在利用型菌株全面阐明环境因素(pH、氧浓度、葡萄糖、乳酸以及生长过程中硝酸盐/亚硝酸盐的存在)对这些细菌硝酸盐和亚硝酸盐代谢的影响。采用Griess试剂定量亚硝酸盐,高效液相色谱法分析终代谢产物。naeslundii和S. dodonlitica的产亚硝酸盐活性受环境因素的不同影响。特别是在厌氧条件下,在添加葡萄糖或乳酸的情况下,naeslundii的活性呈浓度依赖性增加,当添加乳酸时,在较低的pH下活性更高。两种细菌的亚硝酸盐降解活性均低于产生亚硝酸盐的活性,受环境因素的影响较小。含硝酸盐和不含硝酸盐的拟南芥葡萄糖代谢产物不同,表明硝酸盐改变了其代谢途径。厌氧条件下抑制生长,好氧条件下促进生长。这些结果表明,口腔菌群产生亚硝酸盐的能力不仅要考虑细菌的组成和丰度,还要考虑各种环境因素引起的代谢活性的变化。
本文章由计算机程序翻译,如有差异,请以英文原文为准。

The Effect of Environmental Factors on the Nitrate and Nitrite Metabolism of Oral Actinomyces and Schaalia Species.

The Effect of Environmental Factors on the Nitrate and Nitrite Metabolism of Oral Actinomyces and Schaalia Species.

The Effect of Environmental Factors on the Nitrate and Nitrite Metabolism of Oral Actinomyces and Schaalia Species.

The Effect of Environmental Factors on the Nitrate and Nitrite Metabolism of Oral Actinomyces and Schaalia Species.

Actinomyces naeslundii and Schaalia odontolytica belong to the most predominant nitrite-producing bacteria in the oral microbiome. Nitrite has antibacterial and vasodilatory effects that may contribute to maintaining oral and systemic health. We have previously elucidated the metabolic characteristics of the nitrite-producing activity of oral Veillonella species and the effects of oral environmental factors. However, this is still unknown for Actinomyces and Schaalia species. Furthermore, these bacteria are thought to degrade nitrite. Therefore, this study aimed to comprehensively elucidate the effects of environmental factors (pH, oxygen concentration, glucose, lactate, and the presence of nitrate/nitrite during growth) on nitrate and nitrite metabolism of these bacterial species using the type strains. Nitrite was quantified by Griess reagent, and final metabolites were analyzed by high-performance liquid chromatography (HPLC). The nitrite-producing activity of A. naeslundii and S. odontolytica was affected variously by environmental factors. Especially in A. naeslundii, under anaerobic conditions, the activity increased in a concentration-dependent manner with the addition of glucose or lactate and was higher at lower pH when lactate was added. The nitrite-degrading activity of both bacteria was lower than the nitrite-producing activity and was less affected by environmental factors. Metabolites from glucose by A. naeslundii were different with and without nitrate, suggesting that nitrate altered metabolic pathways. The growth was inhibited under anaerobic conditions but promoted under aerobic conditions. These results indicate that the nitrite-producing capacity of the oral microflora must take into account not only the composition and abundance of bacteria but also the variation in metabolic activity due to various environmental factors.

求助全文
通过发布文献求助,成功后即可免费获取论文全文。 去求助
来源期刊
Molecular Oral Microbiology
Molecular Oral Microbiology DENTISTRY, ORAL SURGERY & MEDICINE-MICROBIOLOGY
CiteScore
6.50
自引率
5.40%
发文量
46
审稿时长
>12 weeks
期刊介绍: Molecular Oral Microbiology publishes high quality research papers and reviews on fundamental or applied molecular studies of microorganisms of the oral cavity and respiratory tract, host-microbe interactions, cellular microbiology, molecular ecology, and immunological studies of oral and respiratory tract infections. Papers describing work in virology, or in immunology unrelated to microbial colonization or infection, will not be acceptable. Studies of the prevalence of organisms or of antimicrobials agents also are not within the scope of the journal. The journal does not publish Short Communications or Letters to the Editor. Molecular Oral Microbiology is published bimonthly.
×
引用
GB/T 7714-2015
复制
MLA
复制
APA
复制
导出至
BibTeX EndNote RefMan NoteFirst NoteExpress
×
提示
您的信息不完整,为了账户安全,请先补充。
现在去补充
×
提示
您因"违规操作"
具体请查看互助需知
我知道了
×
提示
确定
请完成安全验证×
copy
已复制链接
快去分享给好友吧!
我知道了
右上角分享
点击右上角分享
0
联系我们:info@booksci.cn Book学术提供免费学术资源搜索服务,方便国内外学者检索中英文文献。致力于提供最便捷和优质的服务体验。 Copyright © 2023 布克学术 All rights reserved.
京ICP备2023020795号-1
ghs 京公网安备 11010802042870号
Book学术文献互助
Book学术文献互助群
群 号:604180095
Book学术官方微信