线粒体-内质网接触位点和系链影响辅酶Q的生物合成和功能。

Contact (Thousand Oaks (Ventura County, Calif.)) Pub Date : 2025-02-03 eCollection Date: 2025-01-01 DOI:10.1177/25152564251316350
Noelle Alexa Novales, Hadar Meyer, Yeynit Asraf, Maya Schuldiner, Catherine F Clarke
{"title":"线粒体-内质网接触位点和系链影响辅酶Q的生物合成和功能。","authors":"Noelle Alexa Novales, Hadar Meyer, Yeynit Asraf, Maya Schuldiner, Catherine F Clarke","doi":"10.1177/25152564251316350","DOIUrl":null,"url":null,"abstract":"<p><p>Coenzyme Q (CoQ) is an essential redox-active lipid that plays a major role in the electron transport chain, driving mitochondrial ATP synthesis. In <i>Saccharomyces cerevisiae</i> (yeast), CoQ biosynthesis occurs exclusively in the mitochondrial matrix via a large protein-lipid complex, the CoQ synthome, comprised of CoQ itself, late-stage CoQ-intermediates, and the polypeptides Coq3-Coq9 and Coq11. Coq11 is suggested to act as a negative modulator of CoQ synthome assembly and CoQ synthesis, as its deletion enhances Coq polypeptide content, produces an enlarged CoQ synthome, and restores respiration in mutants lacking the CoQ chaperone polypeptide, Coq10. The CoQ synthome resides in specific niches within the inner mitochondrial membrane, termed CoQ domains, that are often located adjacent to the endoplasmic reticulum-mitochondria encounter structure (ERMES). Loss of ERMES destabilizes the CoQ synthome and renders CoQ biosynthesis less efficient. Here we show that deletion of <i>COQ11</i> suppresses the respiratory deficient phenotype of select <i>ERMES</i> mutants, results in repair and reorganization of the CoQ synthome, and enhances mitochondrial CoQ domains. Given that ER-mitochondrial contact sites coordinate CoQ biosynthesis, we used a Split-MAM (Mitochondrial Associated Membrane) artificial tether consisting of an ER-mitochondrial contact site reporter, to evaluate the effects of artificial membrane tethers on CoQ biosynthesis in both wild-type and <i>ERMES</i> mutant yeast strains. Overall, this work identifies the deletion of <i>COQ11</i> as a novel suppressor of phenotypes associated with <i>ERMES</i> deletion mutants and indicates that ER-mitochondria tethers influence CoQ content and turnover, highlighting the role of membrane contact sites in regulating mitochondrial respiratory homeostasis.</p>","PeriodicalId":101304,"journal":{"name":"Contact (Thousand Oaks (Ventura County, Calif.))","volume":"8 ","pages":"25152564251316350"},"PeriodicalIF":0.0000,"publicationDate":"2025-02-03","publicationTypes":"Journal Article","fieldsOfStudy":null,"isOpenAccess":false,"openAccessPdf":"https://www.ncbi.nlm.nih.gov/pmc/articles/PMC11792030/pdf/","citationCount":"0","resultStr":"{\"title\":\"Mitochondrial-ER Contact Sites and Tethers Influence the Biosynthesis and Function of Coenzyme Q.\",\"authors\":\"Noelle Alexa Novales, Hadar Meyer, Yeynit Asraf, Maya Schuldiner, Catherine F Clarke\",\"doi\":\"10.1177/25152564251316350\",\"DOIUrl\":null,\"url\":null,\"abstract\":\"<p><p>Coenzyme Q (CoQ) is an essential redox-active lipid that plays a major role in the electron transport chain, driving mitochondrial ATP synthesis. In <i>Saccharomyces cerevisiae</i> (yeast), CoQ biosynthesis occurs exclusively in the mitochondrial matrix via a large protein-lipid complex, the CoQ synthome, comprised of CoQ itself, late-stage CoQ-intermediates, and the polypeptides Coq3-Coq9 and Coq11. Coq11 is suggested to act as a negative modulator of CoQ synthome assembly and CoQ synthesis, as its deletion enhances Coq polypeptide content, produces an enlarged CoQ synthome, and restores respiration in mutants lacking the CoQ chaperone polypeptide, Coq10. The CoQ synthome resides in specific niches within the inner mitochondrial membrane, termed CoQ domains, that are often located adjacent to the endoplasmic reticulum-mitochondria encounter structure (ERMES). Loss of ERMES destabilizes the CoQ synthome and renders CoQ biosynthesis less efficient. Here we show that deletion of <i>COQ11</i> suppresses the respiratory deficient phenotype of select <i>ERMES</i> mutants, results in repair and reorganization of the CoQ synthome, and enhances mitochondrial CoQ domains. Given that ER-mitochondrial contact sites coordinate CoQ biosynthesis, we used a Split-MAM (Mitochondrial Associated Membrane) artificial tether consisting of an ER-mitochondrial contact site reporter, to evaluate the effects of artificial membrane tethers on CoQ biosynthesis in both wild-type and <i>ERMES</i> mutant yeast strains. Overall, this work identifies the deletion of <i>COQ11</i> as a novel suppressor of phenotypes associated with <i>ERMES</i> deletion mutants and indicates that ER-mitochondria tethers influence CoQ content and turnover, highlighting the role of membrane contact sites in regulating mitochondrial respiratory homeostasis.</p>\",\"PeriodicalId\":101304,\"journal\":{\"name\":\"Contact (Thousand Oaks (Ventura County, Calif.))\",\"volume\":\"8 \",\"pages\":\"25152564251316350\"},\"PeriodicalIF\":0.0000,\"publicationDate\":\"2025-02-03\",\"publicationTypes\":\"Journal Article\",\"fieldsOfStudy\":null,\"isOpenAccess\":false,\"openAccessPdf\":\"https://www.ncbi.nlm.nih.gov/pmc/articles/PMC11792030/pdf/\",\"citationCount\":\"0\",\"resultStr\":null,\"platform\":\"Semanticscholar\",\"paperid\":null,\"PeriodicalName\":\"Contact (Thousand Oaks (Ventura County, Calif.))\",\"FirstCategoryId\":\"1085\",\"ListUrlMain\":\"https://doi.org/10.1177/25152564251316350\",\"RegionNum\":0,\"RegionCategory\":null,\"ArticlePicture\":[],\"TitleCN\":null,\"AbstractTextCN\":null,\"PMCID\":null,\"EPubDate\":\"2025/1/1 0:00:00\",\"PubModel\":\"eCollection\",\"JCR\":\"\",\"JCRName\":\"\",\"Score\":null,\"Total\":0}","platform":"Semanticscholar","paperid":null,"PeriodicalName":"Contact (Thousand Oaks (Ventura County, Calif.))","FirstCategoryId":"1085","ListUrlMain":"https://doi.org/10.1177/25152564251316350","RegionNum":0,"RegionCategory":null,"ArticlePicture":[],"TitleCN":null,"AbstractTextCN":null,"PMCID":null,"EPubDate":"2025/1/1 0:00:00","PubModel":"eCollection","JCR":"","JCRName":"","Score":null,"Total":0}
引用次数: 0

摘要

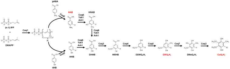
辅酶Q (CoQ)是一种必需的氧化还原活性脂质,在电子传递链中起主要作用,驱动线粒体ATP合成。在酿酒酵母中,CoQ的生物合成只发生在线粒体基质中,通过一个大的蛋白质-脂质复合物,即CoQ合成体,由CoQ本身、后期CoQ中间体以及多肽Coq3-Coq9和Coq11组成。Coq11被认为是CoQ合成和CoQ组装的负调节因子,因为它的缺失增加了CoQ多肽的含量,产生了一个增大的CoQ合成酶,并在缺乏CoQ伴侣多肽Coq10的突变体中恢复呼吸。CoQ合成酶位于线粒体内膜的特定壁龛中,称为CoQ结构域,通常位于内质网-线粒体相遇结构(ERMES)附近。ERMES的缺失破坏了CoQ合成的稳定性,降低了CoQ的生物合成效率。本研究表明,COQ11的缺失抑制了选择的ERMES突变体的呼吸缺陷表型,导致CoQ合成酶的修复和重组,并增强了线粒体CoQ结构域。考虑到er -线粒体接触位点协调CoQ的生物合成,我们使用由er -线粒体接触位点报告者组成的分裂- mam(线粒体相关膜)人工系绳来评估人工膜系绳对野生型和ERMES突变型酵母菌CoQ生物合成的影响。总的来说,这项工作确定了COQ11的缺失是与ERMES缺失突变相关的表型的新抑制因子,并表明er -线粒体系链影响CoQ含量和周转,强调了膜接触位点在调节线粒体呼吸稳态中的作用。
本文章由计算机程序翻译,如有差异,请以英文原文为准。

Mitochondrial-ER Contact Sites and Tethers Influence the Biosynthesis and Function of Coenzyme Q.

Mitochondrial-ER Contact Sites and Tethers Influence the Biosynthesis and Function of Coenzyme Q.

Mitochondrial-ER Contact Sites and Tethers Influence the Biosynthesis and Function of Coenzyme Q.

Mitochondrial-ER Contact Sites and Tethers Influence the Biosynthesis and Function of Coenzyme Q.

Coenzyme Q (CoQ) is an essential redox-active lipid that plays a major role in the electron transport chain, driving mitochondrial ATP synthesis. In Saccharomyces cerevisiae (yeast), CoQ biosynthesis occurs exclusively in the mitochondrial matrix via a large protein-lipid complex, the CoQ synthome, comprised of CoQ itself, late-stage CoQ-intermediates, and the polypeptides Coq3-Coq9 and Coq11. Coq11 is suggested to act as a negative modulator of CoQ synthome assembly and CoQ synthesis, as its deletion enhances Coq polypeptide content, produces an enlarged CoQ synthome, and restores respiration in mutants lacking the CoQ chaperone polypeptide, Coq10. The CoQ synthome resides in specific niches within the inner mitochondrial membrane, termed CoQ domains, that are often located adjacent to the endoplasmic reticulum-mitochondria encounter structure (ERMES). Loss of ERMES destabilizes the CoQ synthome and renders CoQ biosynthesis less efficient. Here we show that deletion of COQ11 suppresses the respiratory deficient phenotype of select ERMES mutants, results in repair and reorganization of the CoQ synthome, and enhances mitochondrial CoQ domains. Given that ER-mitochondrial contact sites coordinate CoQ biosynthesis, we used a Split-MAM (Mitochondrial Associated Membrane) artificial tether consisting of an ER-mitochondrial contact site reporter, to evaluate the effects of artificial membrane tethers on CoQ biosynthesis in both wild-type and ERMES mutant yeast strains. Overall, this work identifies the deletion of COQ11 as a novel suppressor of phenotypes associated with ERMES deletion mutants and indicates that ER-mitochondria tethers influence CoQ content and turnover, highlighting the role of membrane contact sites in regulating mitochondrial respiratory homeostasis.

求助全文
通过发布文献求助,成功后即可免费获取论文全文。 去求助
来源期刊
CiteScore
3.10
自引率
0.00%
发文量
0
×
引用
GB/T 7714-2015
复制
MLA
复制
APA
复制
导出至
BibTeX EndNote RefMan NoteFirst NoteExpress
×
提示
您的信息不完整,为了账户安全,请先补充。
现在去补充
×
提示
您因"违规操作"
具体请查看互助需知
我知道了
×
提示
确定
请完成安全验证×
copy
已复制链接
快去分享给好友吧!
我知道了
右上角分享
点击右上角分享
0
联系我们:info@booksci.cn Book学术提供免费学术资源搜索服务,方便国内外学者检索中英文文献。致力于提供最便捷和优质的服务体验。 Copyright © 2023 布克学术 All rights reserved.
京ICP备2023020795号-1
ghs 京公网安备 11010802042870号
Book学术文献互助
Book学术文献互助群
群 号:604180095
Book学术官方微信