自闭症谱系障碍中人类肠道微生物组的弹性:使用刚度网络分析测量。

IF 3.8 2区 生物学 Q2 MICROBIOLOGY
Microbiology spectrum Pub Date : 2025-03-04 Epub Date: 2025-02-04 DOI:10.1128/spectrum.01078-24
Hongju Daisy Chen, Bin Yi, Zhanshan Sam Ma
{"title":"自闭症谱系障碍中人类肠道微生物组的弹性:使用刚度网络分析测量。","authors":"Hongju Daisy Chen, Bin Yi, Zhanshan Sam Ma","doi":"10.1128/spectrum.01078-24","DOIUrl":null,"url":null,"abstract":"<p><p>Autism spectrum disorder (ASD) affects an estimated 1%-2% of children worldwide, but its specific etiology remains unclear. In recent years, the gut microbiome's role in ASD pathogenesis has garnered increasing attention. However, the exact relationship between microbiota and ASD-such as which microbial species significantly impact disease onset and progression-remains unresolved, and effective methods to measure microbial interactions are still lacking. In this study, we introduce an innovative stiffness network analysis (SNA) method to quantify changes in microbial network structure and identify disease-specific microbial bacteria theoretically. The SNA method was applied to reanalyze eight ASD gut microbiome data sets, encompassing 898 ASD samples and 467 healthy control (HC) samples from 16S-rRNA sequencing data. Key findings include the following: (i) an \"allies\" biomarker subgroup consisting of <i>Bacteroides plebeius</i>, <i>Sutterella</i>, <i>Lachnospira</i>, and <i>Prevotella copri</i> was identified; (ii) a profile monitoring score of 0.72 for the biomarker subgroup, indicating significant relationship changes between HC and ASD states, and (iii) a P/N ratio of biomarker subgroup in ASD-associated gut bacteria that was three times higher than that of HC microbiomes. Additionally, we discuss the non-monotonic relationship alterations within microbial sub-communities in the ASD gut microbiome.IMPORTANCEIt is crucial to assess alterations in network structure in different biological states in order to promote health. The stiffness network allows for the exploration of species interactions and the measurement of resilience in complex microbial networks. The objective of this study was to develop a stiffness network analysis (SNA) method for evaluating the contribution of microbial bacteria in differentiating disease samples from healthy control samples by examining changes in network stiffness parameters. Furthermore, the SNA method was employed on both simulated and real autism spectrum disorder gut microbiome data sets to identify potential microbial biomarker subgroups, with a particular focus on the relationship alterations within microbial networks.</p>","PeriodicalId":18670,"journal":{"name":"Microbiology spectrum","volume":" ","pages":"e0107824"},"PeriodicalIF":3.8000,"publicationDate":"2025-03-04","publicationTypes":"Journal Article","fieldsOfStudy":null,"isOpenAccess":false,"openAccessPdf":"https://www.ncbi.nlm.nih.gov/pmc/articles/PMC11878074/pdf/","citationCount":"0","resultStr":"{\"title\":\"Resilience of human gut microbiomes in autism spectrum disorder: measured using stiffness network analysis.\",\"authors\":\"Hongju Daisy Chen, Bin Yi, Zhanshan Sam Ma\",\"doi\":\"10.1128/spectrum.01078-24\",\"DOIUrl\":null,\"url\":null,\"abstract\":\"<p><p>Autism spectrum disorder (ASD) affects an estimated 1%-2% of children worldwide, but its specific etiology remains unclear. In recent years, the gut microbiome's role in ASD pathogenesis has garnered increasing attention. However, the exact relationship between microbiota and ASD-such as which microbial species significantly impact disease onset and progression-remains unresolved, and effective methods to measure microbial interactions are still lacking. In this study, we introduce an innovative stiffness network analysis (SNA) method to quantify changes in microbial network structure and identify disease-specific microbial bacteria theoretically. The SNA method was applied to reanalyze eight ASD gut microbiome data sets, encompassing 898 ASD samples and 467 healthy control (HC) samples from 16S-rRNA sequencing data. Key findings include the following: (i) an \\\"allies\\\" biomarker subgroup consisting of <i>Bacteroides plebeius</i>, <i>Sutterella</i>, <i>Lachnospira</i>, and <i>Prevotella copri</i> was identified; (ii) a profile monitoring score of 0.72 for the biomarker subgroup, indicating significant relationship changes between HC and ASD states, and (iii) a P/N ratio of biomarker subgroup in ASD-associated gut bacteria that was three times higher than that of HC microbiomes. Additionally, we discuss the non-monotonic relationship alterations within microbial sub-communities in the ASD gut microbiome.IMPORTANCEIt is crucial to assess alterations in network structure in different biological states in order to promote health. The stiffness network allows for the exploration of species interactions and the measurement of resilience in complex microbial networks. The objective of this study was to develop a stiffness network analysis (SNA) method for evaluating the contribution of microbial bacteria in differentiating disease samples from healthy control samples by examining changes in network stiffness parameters. Furthermore, the SNA method was employed on both simulated and real autism spectrum disorder gut microbiome data sets to identify potential microbial biomarker subgroups, with a particular focus on the relationship alterations within microbial networks.</p>\",\"PeriodicalId\":18670,\"journal\":{\"name\":\"Microbiology spectrum\",\"volume\":\" \",\"pages\":\"e0107824\"},\"PeriodicalIF\":3.8000,\"publicationDate\":\"2025-03-04\",\"publicationTypes\":\"Journal Article\",\"fieldsOfStudy\":null,\"isOpenAccess\":false,\"openAccessPdf\":\"https://www.ncbi.nlm.nih.gov/pmc/articles/PMC11878074/pdf/\",\"citationCount\":\"0\",\"resultStr\":null,\"platform\":\"Semanticscholar\",\"paperid\":null,\"PeriodicalName\":\"Microbiology spectrum\",\"FirstCategoryId\":\"99\",\"ListUrlMain\":\"https://doi.org/10.1128/spectrum.01078-24\",\"RegionNum\":2,\"RegionCategory\":\"生物学\",\"ArticlePicture\":[],\"TitleCN\":null,\"AbstractTextCN\":null,\"PMCID\":null,\"EPubDate\":\"2025/2/4 0:00:00\",\"PubModel\":\"Epub\",\"JCR\":\"Q2\",\"JCRName\":\"MICROBIOLOGY\",\"Score\":null,\"Total\":0}","platform":"Semanticscholar","paperid":null,"PeriodicalName":"Microbiology spectrum","FirstCategoryId":"99","ListUrlMain":"https://doi.org/10.1128/spectrum.01078-24","RegionNum":2,"RegionCategory":"生物学","ArticlePicture":[],"TitleCN":null,"AbstractTextCN":null,"PMCID":null,"EPubDate":"2025/2/4 0:00:00","PubModel":"Epub","JCR":"Q2","JCRName":"MICROBIOLOGY","Score":null,"Total":0}
引用次数: 0

摘要

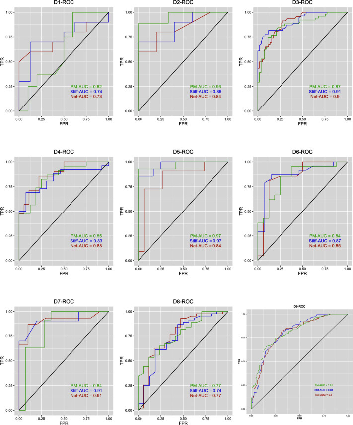
自闭症谱系障碍(ASD)影响全球约1%-2%的儿童,但其具体病因尚不清楚。近年来,肠道微生物组在ASD发病机制中的作用越来越受到关注。然而,微生物群与自闭症之间的确切关系(例如哪些微生物物种会显著影响疾病的发生和进展)仍未得到解决,并且仍然缺乏测量微生物相互作用的有效方法。在这项研究中,我们引入了一种创新的刚度网络分析(SNA)方法来量化微生物网络结构的变化,并从理论上识别疾病特异性微生物细菌。应用SNA方法重新分析8个ASD肠道微生物组数据集,包括来自16S-rRNA测序数据的898个ASD样本和467个健康对照(HC)样本。主要发现如下:(i)鉴定出由plebeibacteroides、Sutterella、Lachnospira和copri Prevotella组成的“盟友”生物标志物亚群;(ii)生物标志物亚组的概况监测得分为0.72,表明HC和ASD状态之间存在显著的关系变化;(iii) ASD相关肠道细菌中生物标志物亚组的P/N比HC微生物组高3倍。此外,我们还讨论了ASD肠道微生物群中微生物亚群落的非单调关系变化。重要性评估不同生物状态下网络结构的变化对促进健康至关重要。刚度网络允许物种相互作用的探索和弹性的测量在复杂的微生物网络。本研究的目的是开发一种刚度网络分析(SNA)方法,通过检查网络刚度参数的变化来评估微生物细菌在区分疾病样本和健康对照样本中的贡献。此外,SNA方法被用于模拟和真实的自闭症谱系障碍肠道微生物组数据集,以识别潜在的微生物生物标志物亚群,特别关注微生物网络内的关系变化。
本文章由计算机程序翻译,如有差异,请以英文原文为准。

Resilience of human gut microbiomes in autism spectrum disorder: measured using stiffness network analysis.

Resilience of human gut microbiomes in autism spectrum disorder: measured using stiffness network analysis.

Resilience of human gut microbiomes in autism spectrum disorder: measured using stiffness network analysis.

Resilience of human gut microbiomes in autism spectrum disorder: measured using stiffness network analysis.

Autism spectrum disorder (ASD) affects an estimated 1%-2% of children worldwide, but its specific etiology remains unclear. In recent years, the gut microbiome's role in ASD pathogenesis has garnered increasing attention. However, the exact relationship between microbiota and ASD-such as which microbial species significantly impact disease onset and progression-remains unresolved, and effective methods to measure microbial interactions are still lacking. In this study, we introduce an innovative stiffness network analysis (SNA) method to quantify changes in microbial network structure and identify disease-specific microbial bacteria theoretically. The SNA method was applied to reanalyze eight ASD gut microbiome data sets, encompassing 898 ASD samples and 467 healthy control (HC) samples from 16S-rRNA sequencing data. Key findings include the following: (i) an "allies" biomarker subgroup consisting of Bacteroides plebeius, Sutterella, Lachnospira, and Prevotella copri was identified; (ii) a profile monitoring score of 0.72 for the biomarker subgroup, indicating significant relationship changes between HC and ASD states, and (iii) a P/N ratio of biomarker subgroup in ASD-associated gut bacteria that was three times higher than that of HC microbiomes. Additionally, we discuss the non-monotonic relationship alterations within microbial sub-communities in the ASD gut microbiome.IMPORTANCEIt is crucial to assess alterations in network structure in different biological states in order to promote health. The stiffness network allows for the exploration of species interactions and the measurement of resilience in complex microbial networks. The objective of this study was to develop a stiffness network analysis (SNA) method for evaluating the contribution of microbial bacteria in differentiating disease samples from healthy control samples by examining changes in network stiffness parameters. Furthermore, the SNA method was employed on both simulated and real autism spectrum disorder gut microbiome data sets to identify potential microbial biomarker subgroups, with a particular focus on the relationship alterations within microbial networks.

求助全文
通过发布文献求助,成功后即可免费获取论文全文。 去求助
来源期刊
Microbiology spectrum
Microbiology spectrum Biochemistry, Genetics and Molecular Biology-Genetics
CiteScore
3.20
自引率
5.40%
发文量
1800
期刊介绍: Microbiology Spectrum publishes commissioned review articles on topics in microbiology representing ten content areas: Archaea; Food Microbiology; Bacterial Genetics, Cell Biology, and Physiology; Clinical Microbiology; Environmental Microbiology and Ecology; Eukaryotic Microbes; Genomics, Computational, and Synthetic Microbiology; Immunology; Pathogenesis; and Virology. Reviews are interrelated, with each review linking to other related content. A large board of Microbiology Spectrum editors aids in the development of topics for potential reviews and in the identification of an editor, or editors, who shepherd each collection.
×
引用
GB/T 7714-2015
复制
MLA
复制
APA
复制
导出至
BibTeX EndNote RefMan NoteFirst NoteExpress
×
提示
您的信息不完整,为了账户安全,请先补充。
现在去补充
×
提示
您因"违规操作"
具体请查看互助需知
我知道了
×
提示
确定
请完成安全验证×
copy
已复制链接
快去分享给好友吧!
我知道了
右上角分享
点击右上角分享
0
联系我们:info@booksci.cn Book学术提供免费学术资源搜索服务,方便国内外学者检索中英文文献。致力于提供最便捷和优质的服务体验。 Copyright © 2023 布克学术 All rights reserved.
京ICP备2023020795号-1
ghs 京公网安备 11010802042870号
Book学术文献互助
Book学术文献互助群
群 号:604180095
Book学术官方微信