基于生物信号和临床数据的急诊急性呼吸衰竭人工智能早期预测

IF 2.8 4区 医学 Q1 MEDICINE, GENERAL & INTERNAL
Changho Han, Yun Jung Jung, Ji Eun Park, Wou Young Chung, Dukyong Yoon
{"title":"基于生物信号和临床数据的急诊急性呼吸衰竭人工智能早期预测","authors":"Changho Han, Yun Jung Jung, Ji Eun Park, Wou Young Chung, Dukyong Yoon","doi":"10.3349/ymj.2024.0126","DOIUrl":null,"url":null,"abstract":"<p><strong>Purpose: </strong>Early identification of patients at risk for acute respiratory failure (ARF) could help clinicians devise preventive strategies. Analyzing biosignals with artificial intelligence (AI) can uncover hidden information and variability within time series. We aimed to develop and validate AI models to predict ARF within 72 h after emergency department admission, primarily using high-resolution biosignals collected within 4 h of arrival.</p><p><strong>Materials and methods: </strong>Our AI model, built on convolutional recurrent neural networks, combines biosignal feature extraction and sequence modeling. The model was developed and internally validated with data from 5284 admissions [1085 (20.5%) positive for ARF], and externally validated using data from 144 admissions [7 (4.9%) positive for ARF] from another institution. We defined ARF as the application of advanced respiratory support devices.</p><p><strong>Results: </strong>Our AI model performed well in predicting ARF, achieving area under the receiver operating characteristic curve (AUROC) of 0.840 and 0.743 in internal and external validations, respectively. It outperformed the Modified Early Warning Score (MEWS) and XGBoost models built only with clinical variables. High predictive ability for mortality was observed, with AUROC up to 0.809. A 10% increase in AI prediction scores was associated with 1.44-fold and 1.42-fold increases in ARF risk and mortality risk, respectively, even after adjusting for MEWS and demographic variables.</p><p><strong>Conclusion: </strong>Our AI model demonstrates high predictive accuracy and significant associations with clinical outcomes. Our AI model has the potential to promptly aid in triage decisions. Our study shows that using AI to analyze biosignals advances disease detection and prediction.</p>","PeriodicalId":23765,"journal":{"name":"Yonsei Medical Journal","volume":"66 2","pages":"121-130"},"PeriodicalIF":2.8000,"publicationDate":"2025-02-01","publicationTypes":"Journal Article","fieldsOfStudy":null,"isOpenAccess":false,"openAccessPdf":"https://www.ncbi.nlm.nih.gov/pmc/articles/PMC11790410/pdf/","citationCount":"0","resultStr":"{\"title\":\"Artificial Intelligence-Based Early Prediction of Acute Respiratory Failure in the Emergency Department Using Biosignal and Clinical Data.\",\"authors\":\"Changho Han, Yun Jung Jung, Ji Eun Park, Wou Young Chung, Dukyong Yoon\",\"doi\":\"10.3349/ymj.2024.0126\",\"DOIUrl\":null,\"url\":null,\"abstract\":\"<p><strong>Purpose: </strong>Early identification of patients at risk for acute respiratory failure (ARF) could help clinicians devise preventive strategies. Analyzing biosignals with artificial intelligence (AI) can uncover hidden information and variability within time series. We aimed to develop and validate AI models to predict ARF within 72 h after emergency department admission, primarily using high-resolution biosignals collected within 4 h of arrival.</p><p><strong>Materials and methods: </strong>Our AI model, built on convolutional recurrent neural networks, combines biosignal feature extraction and sequence modeling. The model was developed and internally validated with data from 5284 admissions [1085 (20.5%) positive for ARF], and externally validated using data from 144 admissions [7 (4.9%) positive for ARF] from another institution. We defined ARF as the application of advanced respiratory support devices.</p><p><strong>Results: </strong>Our AI model performed well in predicting ARF, achieving area under the receiver operating characteristic curve (AUROC) of 0.840 and 0.743 in internal and external validations, respectively. It outperformed the Modified Early Warning Score (MEWS) and XGBoost models built only with clinical variables. High predictive ability for mortality was observed, with AUROC up to 0.809. A 10% increase in AI prediction scores was associated with 1.44-fold and 1.42-fold increases in ARF risk and mortality risk, respectively, even after adjusting for MEWS and demographic variables.</p><p><strong>Conclusion: </strong>Our AI model demonstrates high predictive accuracy and significant associations with clinical outcomes. Our AI model has the potential to promptly aid in triage decisions. Our study shows that using AI to analyze biosignals advances disease detection and prediction.</p>\",\"PeriodicalId\":23765,\"journal\":{\"name\":\"Yonsei Medical Journal\",\"volume\":\"66 2\",\"pages\":\"121-130\"},\"PeriodicalIF\":2.8000,\"publicationDate\":\"2025-02-01\",\"publicationTypes\":\"Journal Article\",\"fieldsOfStudy\":null,\"isOpenAccess\":false,\"openAccessPdf\":\"https://www.ncbi.nlm.nih.gov/pmc/articles/PMC11790410/pdf/\",\"citationCount\":\"0\",\"resultStr\":null,\"platform\":\"Semanticscholar\",\"paperid\":null,\"PeriodicalName\":\"Yonsei Medical Journal\",\"FirstCategoryId\":\"3\",\"ListUrlMain\":\"https://doi.org/10.3349/ymj.2024.0126\",\"RegionNum\":4,\"RegionCategory\":\"医学\",\"ArticlePicture\":[],\"TitleCN\":null,\"AbstractTextCN\":null,\"PMCID\":null,\"EPubDate\":\"\",\"PubModel\":\"\",\"JCR\":\"Q1\",\"JCRName\":\"MEDICINE, GENERAL & INTERNAL\",\"Score\":null,\"Total\":0}","platform":"Semanticscholar","paperid":null,"PeriodicalName":"Yonsei Medical Journal","FirstCategoryId":"3","ListUrlMain":"https://doi.org/10.3349/ymj.2024.0126","RegionNum":4,"RegionCategory":"医学","ArticlePicture":[],"TitleCN":null,"AbstractTextCN":null,"PMCID":null,"EPubDate":"","PubModel":"","JCR":"Q1","JCRName":"MEDICINE, GENERAL & INTERNAL","Score":null,"Total":0}
引用次数: 0

摘要

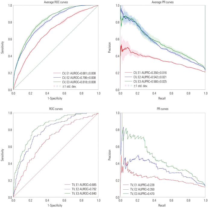
目的:早期识别有急性呼吸衰竭(ARF)风险的患者可以帮助临床医生制定预防策略。利用人工智能(AI)分析生物信号可以揭示时间序列中的隐藏信息和变异性。我们的目标是开发和验证人工智能模型,以预测急诊室入院后72小时内的ARF,主要使用到达后4小时内收集的高分辨率生物信号。材料和方法:我们的人工智能模型建立在卷积递归神经网络的基础上,结合了生物信号特征提取和序列建模。该模型的开发和内部验证使用了5284例入院患者[1085例(20.5%)ARF阳性]的数据,外部验证使用了另一所医院144例入院患者[7例(4.9%)ARF阳性]的数据。我们将ARF定义为先进呼吸支持设备的应用。结果:人工智能模型预测ARF效果良好,内外验证AUROC分别为0.840和0.743。它优于改良早期预警评分(MEWS)和仅使用临床变量构建的XGBoost模型。死亡率预测能力强,AUROC高达0.809。即使在调整了MEWS和人口统计变量之后,人工智能预测得分每增加10%,ARF风险和死亡风险分别增加1.44倍和1.42倍。结论:我们的人工智能模型具有较高的预测准确性,与临床结果有显著的相关性。我们的人工智能模型有可能迅速帮助做出分类决定。我们的研究表明,使用人工智能分析生物信号可以促进疾病的检测和预测。
本文章由计算机程序翻译,如有差异,请以英文原文为准。

Artificial Intelligence-Based Early Prediction of Acute Respiratory Failure in the Emergency Department Using Biosignal and Clinical Data.

Artificial Intelligence-Based Early Prediction of Acute Respiratory Failure in the Emergency Department Using Biosignal and Clinical Data.

Artificial Intelligence-Based Early Prediction of Acute Respiratory Failure in the Emergency Department Using Biosignal and Clinical Data.

Artificial Intelligence-Based Early Prediction of Acute Respiratory Failure in the Emergency Department Using Biosignal and Clinical Data.

Purpose: Early identification of patients at risk for acute respiratory failure (ARF) could help clinicians devise preventive strategies. Analyzing biosignals with artificial intelligence (AI) can uncover hidden information and variability within time series. We aimed to develop and validate AI models to predict ARF within 72 h after emergency department admission, primarily using high-resolution biosignals collected within 4 h of arrival.

Materials and methods: Our AI model, built on convolutional recurrent neural networks, combines biosignal feature extraction and sequence modeling. The model was developed and internally validated with data from 5284 admissions [1085 (20.5%) positive for ARF], and externally validated using data from 144 admissions [7 (4.9%) positive for ARF] from another institution. We defined ARF as the application of advanced respiratory support devices.

Results: Our AI model performed well in predicting ARF, achieving area under the receiver operating characteristic curve (AUROC) of 0.840 and 0.743 in internal and external validations, respectively. It outperformed the Modified Early Warning Score (MEWS) and XGBoost models built only with clinical variables. High predictive ability for mortality was observed, with AUROC up to 0.809. A 10% increase in AI prediction scores was associated with 1.44-fold and 1.42-fold increases in ARF risk and mortality risk, respectively, even after adjusting for MEWS and demographic variables.

Conclusion: Our AI model demonstrates high predictive accuracy and significant associations with clinical outcomes. Our AI model has the potential to promptly aid in triage decisions. Our study shows that using AI to analyze biosignals advances disease detection and prediction.

求助全文
通过发布文献求助,成功后即可免费获取论文全文。 去求助
来源期刊
Yonsei Medical Journal
Yonsei Medical Journal 医学-医学:内科
CiteScore
4.50
自引率
0.00%
发文量
167
审稿时长
3 months
期刊介绍: The goal of the Yonsei Medical Journal (YMJ) is to publish high quality manuscripts dedicated to clinical or basic research. Any authors affiliated with an accredited biomedical institution may submit manuscripts of original articles, review articles, case reports, brief communications, and letters to the Editor.
×
引用
GB/T 7714-2015
复制
MLA
复制
APA
复制
导出至
BibTeX EndNote RefMan NoteFirst NoteExpress
×
提示
您的信息不完整,为了账户安全,请先补充。
现在去补充
×
提示
您因"违规操作"
具体请查看互助需知
我知道了
×
提示
确定
请完成安全验证×
copy
已复制链接
快去分享给好友吧!
我知道了
右上角分享
点击右上角分享
0
联系我们:info@booksci.cn Book学术提供免费学术资源搜索服务,方便国内外学者检索中英文文献。致力于提供最便捷和优质的服务体验。 Copyright © 2023 布克学术 All rights reserved.
京ICP备2023020795号-1
ghs 京公网安备 11010802042870号
Book学术文献互助
Book学术文献互助群
群 号:604180095
Book学术官方微信