在加拿大衰老纵向研究中评估维生素c相关基因-环境和代谢-环境相互作用对眼压的影响

IF 2.5 Q3 GENETICS & HEREDITY
Rebecca Lelievre, Mohan Rakesh, Pirro G Hysi, Julian Little, Ellen E Freeman, Marie-Hélène Roy-Gagnon
{"title":"在加拿大衰老纵向研究中评估维生素c相关基因-环境和代谢-环境相互作用对眼压的影响","authors":"Rebecca Lelievre, Mohan Rakesh, Pirro G Hysi, Julian Little, Ellen E Freeman, Marie-Hélène Roy-Gagnon","doi":"10.1186/s12863-025-01301-w","DOIUrl":null,"url":null,"abstract":"<p><p>High intraocular pressure (IOP) is an important risk factor for glaucoma, which is influenced by genetic and environmental factors. However, the etiology of high IOP remains uncertain. Metabolites are compounds involved in metabolism which provide a link between the internal (genetic) and external environments. O-methylascorbate has been reported to be associated with IOP. In addition, researchers have identified several genetic variants which are associated with metabolite concentrations, including O-methylascorbate and another vitamin C related metabolite, ascorbic acid 2-sulfate. We aimed to understand how O-methylascorbate and ascorbic acid 2-sulfate, or genetic variants associated with these metabolites, modify the associations between dietary environmental variables and IOP. We used data from 8060 participants of the Canadian Longitudinal Study on Aging. Using linear models adjusted for relevant covariates, we tested for interactions between six genetic variants previously found to be associated with O-methylascorbate and ascorbic acid 2-sulfate and four environmental variables related to diet (alcohol consumption frequency, smoking status, fruit consumption, and vegetable consumption). We also tested for interactions between serum concentrations of O-methylascorbate and ascorbic acid 2-sulfate and these environmental factors. We used a False Discovery Rate approach to correct for the 32 interaction tests performed. One interaction was suggestively significant after multiple testing correction (adjusted P-value < 0.1): rs8050812 and alcohol consumption frequency. Understanding how genetic variants and metabolites interact with the environment could shed light on biological pathways controlling IOP and lead to improved prevention and treatment of glaucoma.</p>","PeriodicalId":72427,"journal":{"name":"BMC genomic data","volume":"26 1","pages":"10"},"PeriodicalIF":2.5000,"publicationDate":"2025-01-29","publicationTypes":"Journal Article","fieldsOfStudy":null,"isOpenAccess":false,"openAccessPdf":"https://www.ncbi.nlm.nih.gov/pmc/articles/PMC11776179/pdf/","citationCount":"0","resultStr":"{\"title\":\"Evaluating vitamin C-related gene-environment and metabolite-environment interaction effects on intraocular pressure in the Canadian Longitudinal Study on Aging.\",\"authors\":\"Rebecca Lelievre, Mohan Rakesh, Pirro G Hysi, Julian Little, Ellen E Freeman, Marie-Hélène Roy-Gagnon\",\"doi\":\"10.1186/s12863-025-01301-w\",\"DOIUrl\":null,\"url\":null,\"abstract\":\"<p><p>High intraocular pressure (IOP) is an important risk factor for glaucoma, which is influenced by genetic and environmental factors. However, the etiology of high IOP remains uncertain. Metabolites are compounds involved in metabolism which provide a link between the internal (genetic) and external environments. O-methylascorbate has been reported to be associated with IOP. In addition, researchers have identified several genetic variants which are associated with metabolite concentrations, including O-methylascorbate and another vitamin C related metabolite, ascorbic acid 2-sulfate. We aimed to understand how O-methylascorbate and ascorbic acid 2-sulfate, or genetic variants associated with these metabolites, modify the associations between dietary environmental variables and IOP. We used data from 8060 participants of the Canadian Longitudinal Study on Aging. Using linear models adjusted for relevant covariates, we tested for interactions between six genetic variants previously found to be associated with O-methylascorbate and ascorbic acid 2-sulfate and four environmental variables related to diet (alcohol consumption frequency, smoking status, fruit consumption, and vegetable consumption). We also tested for interactions between serum concentrations of O-methylascorbate and ascorbic acid 2-sulfate and these environmental factors. We used a False Discovery Rate approach to correct for the 32 interaction tests performed. One interaction was suggestively significant after multiple testing correction (adjusted P-value < 0.1): rs8050812 and alcohol consumption frequency. Understanding how genetic variants and metabolites interact with the environment could shed light on biological pathways controlling IOP and lead to improved prevention and treatment of glaucoma.</p>\",\"PeriodicalId\":72427,\"journal\":{\"name\":\"BMC genomic data\",\"volume\":\"26 1\",\"pages\":\"10\"},\"PeriodicalIF\":2.5000,\"publicationDate\":\"2025-01-29\",\"publicationTypes\":\"Journal Article\",\"fieldsOfStudy\":null,\"isOpenAccess\":false,\"openAccessPdf\":\"https://www.ncbi.nlm.nih.gov/pmc/articles/PMC11776179/pdf/\",\"citationCount\":\"0\",\"resultStr\":null,\"platform\":\"Semanticscholar\",\"paperid\":null,\"PeriodicalName\":\"BMC genomic data\",\"FirstCategoryId\":\"1085\",\"ListUrlMain\":\"https://doi.org/10.1186/s12863-025-01301-w\",\"RegionNum\":0,\"RegionCategory\":null,\"ArticlePicture\":[],\"TitleCN\":null,\"AbstractTextCN\":null,\"PMCID\":null,\"EPubDate\":\"\",\"PubModel\":\"\",\"JCR\":\"Q3\",\"JCRName\":\"GENETICS & HEREDITY\",\"Score\":null,\"Total\":0}","platform":"Semanticscholar","paperid":null,"PeriodicalName":"BMC genomic data","FirstCategoryId":"1085","ListUrlMain":"https://doi.org/10.1186/s12863-025-01301-w","RegionNum":0,"RegionCategory":null,"ArticlePicture":[],"TitleCN":null,"AbstractTextCN":null,"PMCID":null,"EPubDate":"","PubModel":"","JCR":"Q3","JCRName":"GENETICS & HEREDITY","Score":null,"Total":0}
引用次数: 0

摘要

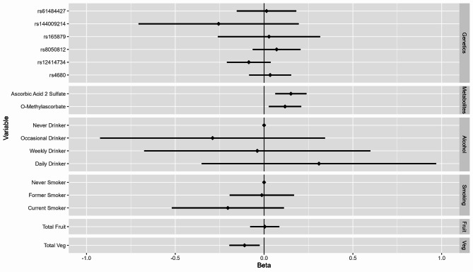
高眼压是青光眼的重要危险因素,受遗传和环境因素的影响。然而,高眼压的病因尚不清楚。代谢物是参与新陈代谢的化合物,它提供了内部(遗传)和外部环境之间的联系。据报道,o -甲基抗坏血酸酯与眼压有关。此外,研究人员已经确定了几种与代谢物浓度相关的遗传变异,包括o -甲基抗坏血酸和另一种与维生素C相关的代谢物抗坏血酸2-硫酸盐。我们的目的是了解o -甲基抗坏血酸和2-硫酸抗坏血酸,或与这些代谢物相关的遗传变异,如何改变饮食环境变量与眼压之间的关系。我们使用了8060名加拿大老龄化纵向研究参与者的数据。使用校正相关协变量的线性模型,我们测试了先前发现的与o -甲基抗坏血酸和2-硫酸抗坏血酸相关的六种遗传变异与饮食相关的四种环境变量(饮酒频率、吸烟状况、水果消费和蔬菜消费)之间的相互作用。我们还测试了o -甲基抗坏血酸和2-硫酸抗坏血酸的血清浓度与这些环境因素之间的相互作用。我们使用错误发现率方法来纠正执行的32个交互测试。经多次检验校正(调整p值),其中一个交互作用具有显著性
本文章由计算机程序翻译,如有差异,请以英文原文为准。

Evaluating vitamin C-related gene-environment and metabolite-environment interaction effects on intraocular pressure in the Canadian Longitudinal Study on Aging.

Evaluating vitamin C-related gene-environment and metabolite-environment interaction effects on intraocular pressure in the Canadian Longitudinal Study on Aging.

Evaluating vitamin C-related gene-environment and metabolite-environment interaction effects on intraocular pressure in the Canadian Longitudinal Study on Aging.

High intraocular pressure (IOP) is an important risk factor for glaucoma, which is influenced by genetic and environmental factors. However, the etiology of high IOP remains uncertain. Metabolites are compounds involved in metabolism which provide a link between the internal (genetic) and external environments. O-methylascorbate has been reported to be associated with IOP. In addition, researchers have identified several genetic variants which are associated with metabolite concentrations, including O-methylascorbate and another vitamin C related metabolite, ascorbic acid 2-sulfate. We aimed to understand how O-methylascorbate and ascorbic acid 2-sulfate, or genetic variants associated with these metabolites, modify the associations between dietary environmental variables and IOP. We used data from 8060 participants of the Canadian Longitudinal Study on Aging. Using linear models adjusted for relevant covariates, we tested for interactions between six genetic variants previously found to be associated with O-methylascorbate and ascorbic acid 2-sulfate and four environmental variables related to diet (alcohol consumption frequency, smoking status, fruit consumption, and vegetable consumption). We also tested for interactions between serum concentrations of O-methylascorbate and ascorbic acid 2-sulfate and these environmental factors. We used a False Discovery Rate approach to correct for the 32 interaction tests performed. One interaction was suggestively significant after multiple testing correction (adjusted P-value < 0.1): rs8050812 and alcohol consumption frequency. Understanding how genetic variants and metabolites interact with the environment could shed light on biological pathways controlling IOP and lead to improved prevention and treatment of glaucoma.

求助全文
通过发布文献求助,成功后即可免费获取论文全文。 去求助
来源期刊
CiteScore
4.90
自引率
0.00%
发文量
0
×
引用
GB/T 7714-2015
复制
MLA
复制
APA
复制
导出至
BibTeX EndNote RefMan NoteFirst NoteExpress
×
提示
您的信息不完整,为了账户安全,请先补充。
现在去补充
×
提示
您因"违规操作"
具体请查看互助需知
我知道了
×
提示
确定
请完成安全验证×
copy
已复制链接
快去分享给好友吧!
我知道了
右上角分享
点击右上角分享
0
联系我们:info@booksci.cn Book学术提供免费学术资源搜索服务,方便国内外学者检索中英文文献。致力于提供最便捷和优质的服务体验。 Copyright © 2023 布克学术 All rights reserved.
京ICP备2023020795号-1
ghs 京公网安备 11010802042870号
Book学术文献互助
Book学术文献互助群
群 号:604180095
Book学术官方微信