重度肥胖手术治疗前后心血管风险。

IF 1.8
Lilian Cardia, Alexandre Viera Gadducci, Denis Pajecki, Marco Aurelio Santo, Roberto DE Cleva
{"title":"重度肥胖手术治疗前后心血管风险。","authors":"Lilian Cardia, Alexandre Viera Gadducci, Denis Pajecki, Marco Aurelio Santo, Roberto DE Cleva","doi":"10.1590/0102-6720202400066e1860","DOIUrl":null,"url":null,"abstract":"<p><strong>Background: </strong>Obesity is a predisposing factor for serious comorbidities, particularly those related to elevated cardiovascular mortality. The atherogenic index of plasma (AIP) has been shown to be a useful indicator of patients with insulin resistance.</p><p><strong>Aims: </strong>The aim of this study was to assess cardiovascular risk before and after surgical treatment of obesity.</p><p><strong>Methods: </strong>A total of 615 patients undergoing bariatric surgery between 2007 and 2012 were evaluated using the analysis of electronic records (triglyceride/high-density lipoprotein cholesterol) before and after surgery. The AIP levels >3.5 mg/dL for men and >2.5 mg/dL for women were insulin-resistant and predisposed to cardiovascular events.</p><p><strong>Results: </strong>A total of 117 men had an AIP >3.5 mg/dL during the preoperative period, 13.5% during the early postoperative period, 14.3% during the intermediate period, and 18.2% during the late postoperative period. Among 498 women, 56.2% had an AIP >2.5 mg/dL before surgery, 17.9% in early postoperative period, 13.5% in the intermediate period, and 11.4% in the late period.</p><p><strong>Conclusions: </strong>Bariatric surgery resulted in a significant effect on the AIP, insulin resistance, metabolic syndrome, and therefore, the risk of cardiovascular diseases.</p>","PeriodicalId":72298,"journal":{"name":"Arquivos brasileiros de cirurgia digestiva : ABCD = Brazilian archives of digestive surgery","volume":"37 ","pages":"e1860"},"PeriodicalIF":1.8000,"publicationDate":"2025-01-27","publicationTypes":"Journal Article","fieldsOfStudy":null,"isOpenAccess":false,"openAccessPdf":"https://www.ncbi.nlm.nih.gov/pmc/articles/PMC11774095/pdf/","citationCount":"0","resultStr":"{\"title\":\"CARDIOVASCULAR RISK BEFORE AND AFTER SURGICAL TREATMENT OF SEVERE OBESITY.\",\"authors\":\"Lilian Cardia, Alexandre Viera Gadducci, Denis Pajecki, Marco Aurelio Santo, Roberto DE Cleva\",\"doi\":\"10.1590/0102-6720202400066e1860\",\"DOIUrl\":null,\"url\":null,\"abstract\":\"<p><strong>Background: </strong>Obesity is a predisposing factor for serious comorbidities, particularly those related to elevated cardiovascular mortality. The atherogenic index of plasma (AIP) has been shown to be a useful indicator of patients with insulin resistance.</p><p><strong>Aims: </strong>The aim of this study was to assess cardiovascular risk before and after surgical treatment of obesity.</p><p><strong>Methods: </strong>A total of 615 patients undergoing bariatric surgery between 2007 and 2012 were evaluated using the analysis of electronic records (triglyceride/high-density lipoprotein cholesterol) before and after surgery. The AIP levels >3.5 mg/dL for men and >2.5 mg/dL for women were insulin-resistant and predisposed to cardiovascular events.</p><p><strong>Results: </strong>A total of 117 men had an AIP >3.5 mg/dL during the preoperative period, 13.5% during the early postoperative period, 14.3% during the intermediate period, and 18.2% during the late postoperative period. Among 498 women, 56.2% had an AIP >2.5 mg/dL before surgery, 17.9% in early postoperative period, 13.5% in the intermediate period, and 11.4% in the late period.</p><p><strong>Conclusions: </strong>Bariatric surgery resulted in a significant effect on the AIP, insulin resistance, metabolic syndrome, and therefore, the risk of cardiovascular diseases.</p>\",\"PeriodicalId\":72298,\"journal\":{\"name\":\"Arquivos brasileiros de cirurgia digestiva : ABCD = Brazilian archives of digestive surgery\",\"volume\":\"37 \",\"pages\":\"e1860\"},\"PeriodicalIF\":1.8000,\"publicationDate\":\"2025-01-27\",\"publicationTypes\":\"Journal Article\",\"fieldsOfStudy\":null,\"isOpenAccess\":false,\"openAccessPdf\":\"https://www.ncbi.nlm.nih.gov/pmc/articles/PMC11774095/pdf/\",\"citationCount\":\"0\",\"resultStr\":null,\"platform\":\"Semanticscholar\",\"paperid\":null,\"PeriodicalName\":\"Arquivos brasileiros de cirurgia digestiva : ABCD = Brazilian archives of digestive surgery\",\"FirstCategoryId\":\"1085\",\"ListUrlMain\":\"https://doi.org/10.1590/0102-6720202400066e1860\",\"RegionNum\":0,\"RegionCategory\":null,\"ArticlePicture\":[],\"TitleCN\":null,\"AbstractTextCN\":null,\"PMCID\":null,\"EPubDate\":\"2025/1/1 0:00:00\",\"PubModel\":\"eCollection\",\"JCR\":\"\",\"JCRName\":\"\",\"Score\":null,\"Total\":0}","platform":"Semanticscholar","paperid":null,"PeriodicalName":"Arquivos brasileiros de cirurgia digestiva : ABCD = Brazilian archives of digestive surgery","FirstCategoryId":"1085","ListUrlMain":"https://doi.org/10.1590/0102-6720202400066e1860","RegionNum":0,"RegionCategory":null,"ArticlePicture":[],"TitleCN":null,"AbstractTextCN":null,"PMCID":null,"EPubDate":"2025/1/1 0:00:00","PubModel":"eCollection","JCR":"","JCRName":"","Score":null,"Total":0}
引用次数: 0

摘要

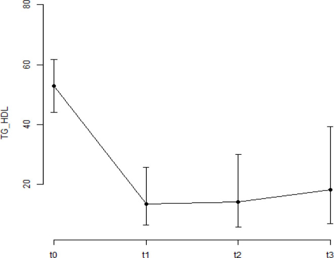
背景:肥胖是严重合并症的诱发因素,特别是与心血管死亡率升高有关的合并症。血浆动脉粥样硬化指数(AIP)已被证明是胰岛素抵抗患者的有用指标。目的:本研究的目的是评估肥胖手术治疗前后的心血管风险。方法:采用电子记录(甘油三酯/高密度脂蛋白胆固醇)分析对2007 - 2012年间接受减肥手术的615例患者术前、术后进行评估。男性的AIP水平为3.5 mg/dL,女性的AIP水平为2.5 mg/dL,为胰岛素抵抗,易发生心血管事件。结果:117例患者术前AIP为3.5 mg/dL,术后早期为13.5%,中期为14.3%,术后晚期为18.2%。498例患者中,术前AIP为2.5 mg/dL的占56.2%,术后早期为17.9%,中期为13.5%,晚期为11.4%。结论:减肥手术对AIP、胰岛素抵抗、代谢综合征有显著影响,从而降低了心血管疾病的风险。
本文章由计算机程序翻译,如有差异,请以英文原文为准。

CARDIOVASCULAR RISK BEFORE AND AFTER SURGICAL TREATMENT OF SEVERE OBESITY.

CARDIOVASCULAR RISK BEFORE AND AFTER SURGICAL TREATMENT OF SEVERE OBESITY.

CARDIOVASCULAR RISK BEFORE AND AFTER SURGICAL TREATMENT OF SEVERE OBESITY.

Background: Obesity is a predisposing factor for serious comorbidities, particularly those related to elevated cardiovascular mortality. The atherogenic index of plasma (AIP) has been shown to be a useful indicator of patients with insulin resistance.

Aims: The aim of this study was to assess cardiovascular risk before and after surgical treatment of obesity.

Methods: A total of 615 patients undergoing bariatric surgery between 2007 and 2012 were evaluated using the analysis of electronic records (triglyceride/high-density lipoprotein cholesterol) before and after surgery. The AIP levels >3.5 mg/dL for men and >2.5 mg/dL for women were insulin-resistant and predisposed to cardiovascular events.

Results: A total of 117 men had an AIP >3.5 mg/dL during the preoperative period, 13.5% during the early postoperative period, 14.3% during the intermediate period, and 18.2% during the late postoperative period. Among 498 women, 56.2% had an AIP >2.5 mg/dL before surgery, 17.9% in early postoperative period, 13.5% in the intermediate period, and 11.4% in the late period.

Conclusions: Bariatric surgery resulted in a significant effect on the AIP, insulin resistance, metabolic syndrome, and therefore, the risk of cardiovascular diseases.

求助全文
通过发布文献求助,成功后即可免费获取论文全文。 去求助
来源期刊
自引率
0.00%
发文量
0
×
引用
GB/T 7714-2015
复制
MLA
复制
APA
复制
导出至
BibTeX EndNote RefMan NoteFirst NoteExpress
×
提示
您的信息不完整,为了账户安全,请先补充。
现在去补充
×
提示
您因"违规操作"
具体请查看互助需知
我知道了
×
提示
确定
请完成安全验证×
copy
已复制链接
快去分享给好友吧!
我知道了
右上角分享
点击右上角分享
0
联系我们:info@booksci.cn Book学术提供免费学术资源搜索服务,方便国内外学者检索中英文文献。致力于提供最便捷和优质的服务体验。 Copyright © 2023 布克学术 All rights reserved.
京ICP备2023020795号-1
ghs 京公网安备 11010802042870号
Book学术文献互助
Book学术文献互助群
群 号:604180095
Book学术官方微信