接受CT引导骨活检的乳腺癌患者的CT结构分析:与组织病理学的相关性。

IF 1.9 Q3 ONCOLOGY
Breast Cancer : Basic and Clinical Research Pub Date : 2025-01-29 eCollection Date: 2025-01-01 DOI:10.1177/11782234241305886
Silvio Wermelskirchen, Jakob Leonhardi, Anne-Kathrin Höhn, Georg Osterhoff, Nikolas Schopow, Susanne Briest, Timm Denecke, Hans-Jonas Meyer
{"title":"接受CT引导骨活检的乳腺癌患者的CT结构分析:与组织病理学的相关性。","authors":"Silvio Wermelskirchen, Jakob Leonhardi, Anne-Kathrin Höhn, Georg Osterhoff, Nikolas Schopow, Susanne Briest, Timm Denecke, Hans-Jonas Meyer","doi":"10.1177/11782234241305886","DOIUrl":null,"url":null,"abstract":"<p><strong>Background: </strong>Texture analysis has the potential to deliver quantitative imaging markers. Patients receiving computed tomography (CT)-guided percutaneous bone biopsies could be characterized using texture analysis derived from CT. Especially for breast cancer (BC) patients, it could be crucial to better predict the outcome of the biopsy to better reflect the immunohistochemistry status of the tumor.</p><p><strong>Objectives: </strong>The present study examined the relationship between texture features and outcomes in patients with BC receiving CT-guided bone biopsies.</p><p><strong>Design: </strong>This study is based on a retrospective analysis.</p><p><strong>Methods: </strong>The present study included a total of 66 patients. All patients proceeded to undergo a CT-guided percutaneous bone biopsy, using an 11-gauge coaxial needle. Clinical and imaging characteristics as well as CT texture analysis were included in the analysis. Logistic regression analysis was performed to predict negative biopsy results.</p><p><strong>Results: </strong>Overall, 33 patients had osteolytic metastases (50%) and 33 had osteoblastic metastases (50%). The overall positivity rate for the biopsy was 75%. The clinical model exhibited a predictive accuracy for a positive biopsy result, as indicated by an area under the curve (AUC) of 0.73 [95% confidence interval (CI) = 0.63-0.83]. Several CT texture features were different between Luminal A and Luminal B cancers; the best discrimination was reached for \"WavEnHH_s-3\" with a <i>P</i>-value of .002. When comparing triple-negative to non-triple-negative cancers, several CT texture features were different, the best discrimination achieved \"S(5,5)SumVarnc\" with a <i>P</i>-value of .01. For the Her 2 discrimination, only 3 parameters reached statistical significance, \"S(4,-4)SumOfSqs\" with a <i>P</i>-value of .01.</p><p><strong>Conclusions: </strong>The utilization of CT texture features may facilitate a more accurate characterization of bone metastases in patients with BC. There is the potential to predict the immunohistochemical subtype with a high degree of accuracy. The identified parameters may prove useful in clinical decision-making and could help to identify patients at risk of a negative biopsy result.</p>","PeriodicalId":9163,"journal":{"name":"Breast Cancer : Basic and Clinical Research","volume":"19 ","pages":"11782234241305886"},"PeriodicalIF":1.9000,"publicationDate":"2025-01-29","publicationTypes":"Journal Article","fieldsOfStudy":null,"isOpenAccess":false,"openAccessPdf":"https://www.ncbi.nlm.nih.gov/pmc/articles/PMC11775983/pdf/","citationCount":"0","resultStr":"{\"title\":\"CT Texture Analysis in Breast Cancer Patients Undergoing CT-Guided Bone Biopsy: Correlations With Histopathology.\",\"authors\":\"Silvio Wermelskirchen, Jakob Leonhardi, Anne-Kathrin Höhn, Georg Osterhoff, Nikolas Schopow, Susanne Briest, Timm Denecke, Hans-Jonas Meyer\",\"doi\":\"10.1177/11782234241305886\",\"DOIUrl\":null,\"url\":null,\"abstract\":\"<p><strong>Background: </strong>Texture analysis has the potential to deliver quantitative imaging markers. Patients receiving computed tomography (CT)-guided percutaneous bone biopsies could be characterized using texture analysis derived from CT. Especially for breast cancer (BC) patients, it could be crucial to better predict the outcome of the biopsy to better reflect the immunohistochemistry status of the tumor.</p><p><strong>Objectives: </strong>The present study examined the relationship between texture features and outcomes in patients with BC receiving CT-guided bone biopsies.</p><p><strong>Design: </strong>This study is based on a retrospective analysis.</p><p><strong>Methods: </strong>The present study included a total of 66 patients. All patients proceeded to undergo a CT-guided percutaneous bone biopsy, using an 11-gauge coaxial needle. Clinical and imaging characteristics as well as CT texture analysis were included in the analysis. Logistic regression analysis was performed to predict negative biopsy results.</p><p><strong>Results: </strong>Overall, 33 patients had osteolytic metastases (50%) and 33 had osteoblastic metastases (50%). The overall positivity rate for the biopsy was 75%. The clinical model exhibited a predictive accuracy for a positive biopsy result, as indicated by an area under the curve (AUC) of 0.73 [95% confidence interval (CI) = 0.63-0.83]. Several CT texture features were different between Luminal A and Luminal B cancers; the best discrimination was reached for \\\"WavEnHH_s-3\\\" with a <i>P</i>-value of .002. When comparing triple-negative to non-triple-negative cancers, several CT texture features were different, the best discrimination achieved \\\"S(5,5)SumVarnc\\\" with a <i>P</i>-value of .01. For the Her 2 discrimination, only 3 parameters reached statistical significance, \\\"S(4,-4)SumOfSqs\\\" with a <i>P</i>-value of .01.</p><p><strong>Conclusions: </strong>The utilization of CT texture features may facilitate a more accurate characterization of bone metastases in patients with BC. There is the potential to predict the immunohistochemical subtype with a high degree of accuracy. The identified parameters may prove useful in clinical decision-making and could help to identify patients at risk of a negative biopsy result.</p>\",\"PeriodicalId\":9163,\"journal\":{\"name\":\"Breast Cancer : Basic and Clinical Research\",\"volume\":\"19 \",\"pages\":\"11782234241305886\"},\"PeriodicalIF\":1.9000,\"publicationDate\":\"2025-01-29\",\"publicationTypes\":\"Journal Article\",\"fieldsOfStudy\":null,\"isOpenAccess\":false,\"openAccessPdf\":\"https://www.ncbi.nlm.nih.gov/pmc/articles/PMC11775983/pdf/\",\"citationCount\":\"0\",\"resultStr\":null,\"platform\":\"Semanticscholar\",\"paperid\":null,\"PeriodicalName\":\"Breast Cancer : Basic and Clinical Research\",\"FirstCategoryId\":\"1085\",\"ListUrlMain\":\"https://doi.org/10.1177/11782234241305886\",\"RegionNum\":0,\"RegionCategory\":null,\"ArticlePicture\":[],\"TitleCN\":null,\"AbstractTextCN\":null,\"PMCID\":null,\"EPubDate\":\"2025/1/1 0:00:00\",\"PubModel\":\"eCollection\",\"JCR\":\"Q3\",\"JCRName\":\"ONCOLOGY\",\"Score\":null,\"Total\":0}","platform":"Semanticscholar","paperid":null,"PeriodicalName":"Breast Cancer : Basic and Clinical Research","FirstCategoryId":"1085","ListUrlMain":"https://doi.org/10.1177/11782234241305886","RegionNum":0,"RegionCategory":null,"ArticlePicture":[],"TitleCN":null,"AbstractTextCN":null,"PMCID":null,"EPubDate":"2025/1/1 0:00:00","PubModel":"eCollection","JCR":"Q3","JCRName":"ONCOLOGY","Score":null,"Total":0}
引用次数: 0

摘要

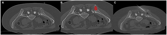
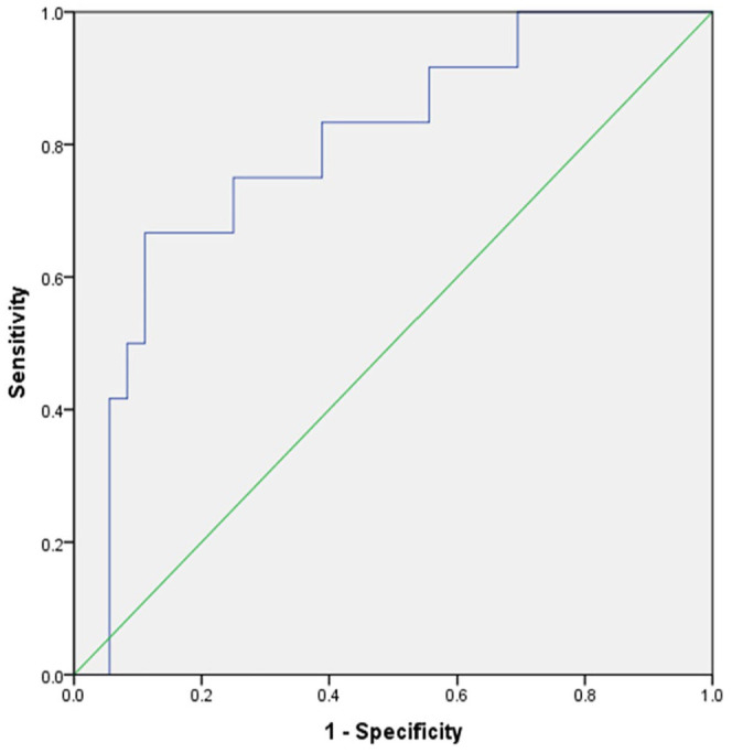
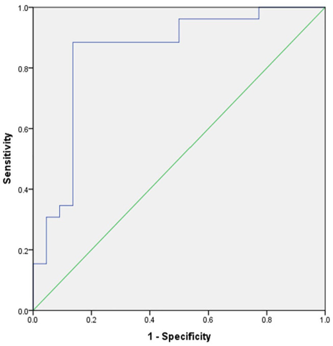
背景:纹理分析具有提供定量成像标记的潜力。接受计算机断层扫描(CT)引导下的经皮骨活检的患者可以使用来自CT的纹理分析来表征。特别是对于乳腺癌(BC)患者,更好地预测活检结果以更好地反映肿瘤的免疫组织化学状态可能至关重要。目的:本研究探讨了接受ct引导骨活检的BC患者的肌理特征与预后之间的关系。设计:本研究基于回顾性分析。方法:本研究共纳入66例患者。所有患者使用11号同轴针进行ct引导下的经皮骨活检。分析包括临床和影像学特征以及CT织构分析。采用Logistic回归分析预测活检阴性结果。结果:总体而言,33例患者发生溶骨转移(50%),33例发生成骨转移(50%)。活检总阳性率为75%。该临床模型对活检阳性结果的预测精度为0.73,曲线下面积(AUC)为0.73[95%置信区间(CI) = 0.63-0.83]。Luminal A癌和Luminal B癌的若干CT纹理特征不同;“WavEnHH_s-3”的识别效果最好,p值为0.002。对比三阴性与非三阴性肿瘤时,多个CT纹理特征存在差异,最佳判别达到“S(5,5)SumVarnc”,p值为0.01。在Her 2判别中,只有“S(4,-4)SumOfSqs”3个参数达到统计学意义,p值为0.01。结论:利用CT结构特征可能有助于更准确地表征BC患者的骨转移。有可能预测免疫组织化学亚型具有高度的准确性。确定的参数可能被证明对临床决策有用,并有助于识别有阴性活检结果风险的患者。
本文章由计算机程序翻译,如有差异,请以英文原文为准。

CT Texture Analysis in Breast Cancer Patients Undergoing CT-Guided Bone Biopsy: Correlations With Histopathology.

CT Texture Analysis in Breast Cancer Patients Undergoing CT-Guided Bone Biopsy: Correlations With Histopathology.

CT Texture Analysis in Breast Cancer Patients Undergoing CT-Guided Bone Biopsy: Correlations With Histopathology.

CT Texture Analysis in Breast Cancer Patients Undergoing CT-Guided Bone Biopsy: Correlations With Histopathology.

Background: Texture analysis has the potential to deliver quantitative imaging markers. Patients receiving computed tomography (CT)-guided percutaneous bone biopsies could be characterized using texture analysis derived from CT. Especially for breast cancer (BC) patients, it could be crucial to better predict the outcome of the biopsy to better reflect the immunohistochemistry status of the tumor.

Objectives: The present study examined the relationship between texture features and outcomes in patients with BC receiving CT-guided bone biopsies.

Design: This study is based on a retrospective analysis.

Methods: The present study included a total of 66 patients. All patients proceeded to undergo a CT-guided percutaneous bone biopsy, using an 11-gauge coaxial needle. Clinical and imaging characteristics as well as CT texture analysis were included in the analysis. Logistic regression analysis was performed to predict negative biopsy results.

Results: Overall, 33 patients had osteolytic metastases (50%) and 33 had osteoblastic metastases (50%). The overall positivity rate for the biopsy was 75%. The clinical model exhibited a predictive accuracy for a positive biopsy result, as indicated by an area under the curve (AUC) of 0.73 [95% confidence interval (CI) = 0.63-0.83]. Several CT texture features were different between Luminal A and Luminal B cancers; the best discrimination was reached for "WavEnHH_s-3" with a P-value of .002. When comparing triple-negative to non-triple-negative cancers, several CT texture features were different, the best discrimination achieved "S(5,5)SumVarnc" with a P-value of .01. For the Her 2 discrimination, only 3 parameters reached statistical significance, "S(4,-4)SumOfSqs" with a P-value of .01.

Conclusions: The utilization of CT texture features may facilitate a more accurate characterization of bone metastases in patients with BC. There is the potential to predict the immunohistochemical subtype with a high degree of accuracy. The identified parameters may prove useful in clinical decision-making and could help to identify patients at risk of a negative biopsy result.

求助全文
通过发布文献求助,成功后即可免费获取论文全文。 去求助
来源期刊
CiteScore
5.10
自引率
3.40%
发文量
22
审稿时长
8 weeks
期刊介绍: Breast Cancer: Basic and Clinical Research is an international, open access, peer-reviewed, journal which considers manuscripts on all areas of breast cancer research and treatment. We welcome original research, short notes, case studies and review articles related to breast cancer-related research. Specific areas of interest include, but are not limited to, breast cancer sub types, pathobiology, metastasis, genetics and epigenetics, mammary gland biology, breast cancer models, prevention, detection, therapy and clinical interventions, and epidemiology and population genetics.
×
引用
GB/T 7714-2015
复制
MLA
复制
APA
复制
导出至
BibTeX EndNote RefMan NoteFirst NoteExpress
×
提示
您的信息不完整,为了账户安全,请先补充。
现在去补充
×
提示
您因"违规操作"
具体请查看互助需知
我知道了
×
提示
确定
请完成安全验证×
copy
已复制链接
快去分享给好友吧!
我知道了
右上角分享
点击右上角分享
0
联系我们:info@booksci.cn Book学术提供免费学术资源搜索服务,方便国内外学者检索中英文文献。致力于提供最便捷和优质的服务体验。 Copyright © 2023 布克学术 All rights reserved.
京ICP备2023020795号-1
ghs 京公网安备 11010802042870号
Book学术文献互助
Book学术文献互助群
群 号:604180095
Book学术官方微信