马拉维获得初级保健的多病老年人的人口统计学和临床特征:一项横断面研究

IF 3
Journal of multimorbidity and comorbidity Pub Date : 2025-01-27 eCollection Date: 2025-01-01 DOI:10.1177/26335565251317380
Duncan Kwaitana, James Jafali, Maya Jane Bates, Dorothee van Breevoort, Thomas Mildestvedt, Eivind Meland, Eric Umar
{"title":"马拉维获得初级保健的多病老年人的人口统计学和临床特征:一项横断面研究","authors":"Duncan Kwaitana, James Jafali, Maya Jane Bates, Dorothee van Breevoort, Thomas Mildestvedt, Eivind Meland, Eric Umar","doi":"10.1177/26335565251317380","DOIUrl":null,"url":null,"abstract":"<p><strong>Background: </strong>Multimorbidity is a growing global concern, affecting patient outcomes and healthcare costs. In low- and middle-income countries, data on multimorbidity in primary care beyond prevalence is limited. Our study explored the demographic and clinical characteristics of multimorbidity among older people attending primary health care in Malawi.</p><p><strong>Methods: </strong>We conducted a cross-sectional analysis on medical records from 15,009 older patients aged ≥50 years across three hospitals in Malawi (one tertiary, two district). Data from 2019-2021 was analyzed using R statistical software to examine patterns of multimorbidity (two or more chronic conditions). Outcome estimates were adjusted for sex, age, location, and year of clinic visit.</p><p><strong>Results: </strong>The overall prevalence of multimorbidity, defined across 17 recorded chronic conditions, was 19.6%. Among the 2,941 cases of multimorbidity, 2,708 (92.0%) involved two chronic conditions, while 233 (8.0%) involved three. While most conditions increased steadily in prevalence with age, diabetes followed a different pattern, with higher prevalence among individuals aged 50-59 years (53.9%) and 60-69 years (52.4%) compared to those 70 years and older (40.3%). After adjusting for clinic visit year, gender, and study location, individuals aged 70 years and older were significantly less likely to have multimorbidity compared to those aged 50-59 years (AOR = 0.57, 95% CI: 0.52-0.62, p < 0.001).</p><p><strong>Conclusion: </strong>The study revealed a wide range of multimorbidity combinations among older people attending primary health care. Strategies to address multimorbidity in older people should include efforts to identify other, less common clusters of chronic conditions.</p>","PeriodicalId":73843,"journal":{"name":"Journal of multimorbidity and comorbidity","volume":"15 ","pages":"26335565251317380"},"PeriodicalIF":3.0000,"publicationDate":"2025-01-27","publicationTypes":"Journal Article","fieldsOfStudy":null,"isOpenAccess":false,"openAccessPdf":"https://www.ncbi.nlm.nih.gov/pmc/articles/PMC11773524/pdf/","citationCount":"0","resultStr":"{\"title\":\"Demographic and clinical characteristics of older people with multimorbidity accessing primary healthcare in Malawi: A cross-sectional study.\",\"authors\":\"Duncan Kwaitana, James Jafali, Maya Jane Bates, Dorothee van Breevoort, Thomas Mildestvedt, Eivind Meland, Eric Umar\",\"doi\":\"10.1177/26335565251317380\",\"DOIUrl\":null,\"url\":null,\"abstract\":\"<p><strong>Background: </strong>Multimorbidity is a growing global concern, affecting patient outcomes and healthcare costs. In low- and middle-income countries, data on multimorbidity in primary care beyond prevalence is limited. Our study explored the demographic and clinical characteristics of multimorbidity among older people attending primary health care in Malawi.</p><p><strong>Methods: </strong>We conducted a cross-sectional analysis on medical records from 15,009 older patients aged ≥50 years across three hospitals in Malawi (one tertiary, two district). Data from 2019-2021 was analyzed using R statistical software to examine patterns of multimorbidity (two or more chronic conditions). Outcome estimates were adjusted for sex, age, location, and year of clinic visit.</p><p><strong>Results: </strong>The overall prevalence of multimorbidity, defined across 17 recorded chronic conditions, was 19.6%. Among the 2,941 cases of multimorbidity, 2,708 (92.0%) involved two chronic conditions, while 233 (8.0%) involved three. While most conditions increased steadily in prevalence with age, diabetes followed a different pattern, with higher prevalence among individuals aged 50-59 years (53.9%) and 60-69 years (52.4%) compared to those 70 years and older (40.3%). After adjusting for clinic visit year, gender, and study location, individuals aged 70 years and older were significantly less likely to have multimorbidity compared to those aged 50-59 years (AOR = 0.57, 95% CI: 0.52-0.62, p < 0.001).</p><p><strong>Conclusion: </strong>The study revealed a wide range of multimorbidity combinations among older people attending primary health care. Strategies to address multimorbidity in older people should include efforts to identify other, less common clusters of chronic conditions.</p>\",\"PeriodicalId\":73843,\"journal\":{\"name\":\"Journal of multimorbidity and comorbidity\",\"volume\":\"15 \",\"pages\":\"26335565251317380\"},\"PeriodicalIF\":3.0000,\"publicationDate\":\"2025-01-27\",\"publicationTypes\":\"Journal Article\",\"fieldsOfStudy\":null,\"isOpenAccess\":false,\"openAccessPdf\":\"https://www.ncbi.nlm.nih.gov/pmc/articles/PMC11773524/pdf/\",\"citationCount\":\"0\",\"resultStr\":null,\"platform\":\"Semanticscholar\",\"paperid\":null,\"PeriodicalName\":\"Journal of multimorbidity and comorbidity\",\"FirstCategoryId\":\"1085\",\"ListUrlMain\":\"https://doi.org/10.1177/26335565251317380\",\"RegionNum\":0,\"RegionCategory\":null,\"ArticlePicture\":[],\"TitleCN\":null,\"AbstractTextCN\":null,\"PMCID\":null,\"EPubDate\":\"2025/1/1 0:00:00\",\"PubModel\":\"eCollection\",\"JCR\":\"\",\"JCRName\":\"\",\"Score\":null,\"Total\":0}","platform":"Semanticscholar","paperid":null,"PeriodicalName":"Journal of multimorbidity and comorbidity","FirstCategoryId":"1085","ListUrlMain":"https://doi.org/10.1177/26335565251317380","RegionNum":0,"RegionCategory":null,"ArticlePicture":[],"TitleCN":null,"AbstractTextCN":null,"PMCID":null,"EPubDate":"2025/1/1 0:00:00","PubModel":"eCollection","JCR":"","JCRName":"","Score":null,"Total":0}
引用次数: 0

摘要

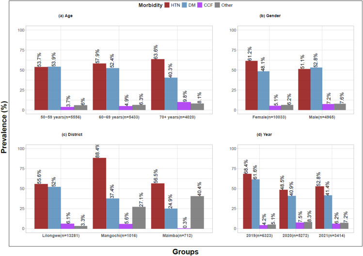
背景:多病是一个日益受到全球关注的问题,影响着患者的预后和医疗保健费用。在低收入和中等收入国家,关于初级保健中患病率以外的多病的数据有限。我们的研究探讨了马拉维参加初级卫生保健的老年人多病的人口统计学和临床特征。方法:我们对马拉维三家医院(一家三级医院,两个区医院)15,009名年龄≥50岁的老年患者的病历进行了横断面分析。使用R统计软件分析2019-2021年的数据,以检查多发病模式(两种或两种以上的慢性疾病)。结果估计根据性别、年龄、地点和就诊年份进行了调整。结果:在17种记录的慢性疾病中,多重疾病的总体患病率为19.6%。在2941例多病病例中,2708例(92.0%)涉及两种慢性疾病,233例(8.0%)涉及三种慢性疾病。虽然大多数疾病的患病率随着年龄的增长而稳步上升,但糖尿病的模式不同,50-59岁(53.9%)和60-69岁(52.4%)的患病率高于70岁及以上人群(40.3%)。在调整了就诊年份、性别和研究地点后,70岁及以上的个体与50-59岁的个体相比,多病发生率显著降低(AOR = 0.57, 95% CI: 0.52-0.62, p < 0.001)。结论:该研究揭示了在接受初级卫生保健的老年人中存在广泛的多病组合。解决老年人多病的战略应包括努力确定其他不太常见的慢性病群。
本文章由计算机程序翻译,如有差异,请以英文原文为准。

Demographic and clinical characteristics of older people with multimorbidity accessing primary healthcare in Malawi: A cross-sectional study.

Demographic and clinical characteristics of older people with multimorbidity accessing primary healthcare in Malawi: A cross-sectional study.

Demographic and clinical characteristics of older people with multimorbidity accessing primary healthcare in Malawi: A cross-sectional study.

Demographic and clinical characteristics of older people with multimorbidity accessing primary healthcare in Malawi: A cross-sectional study.

Background: Multimorbidity is a growing global concern, affecting patient outcomes and healthcare costs. In low- and middle-income countries, data on multimorbidity in primary care beyond prevalence is limited. Our study explored the demographic and clinical characteristics of multimorbidity among older people attending primary health care in Malawi.

Methods: We conducted a cross-sectional analysis on medical records from 15,009 older patients aged ≥50 years across three hospitals in Malawi (one tertiary, two district). Data from 2019-2021 was analyzed using R statistical software to examine patterns of multimorbidity (two or more chronic conditions). Outcome estimates were adjusted for sex, age, location, and year of clinic visit.

Results: The overall prevalence of multimorbidity, defined across 17 recorded chronic conditions, was 19.6%. Among the 2,941 cases of multimorbidity, 2,708 (92.0%) involved two chronic conditions, while 233 (8.0%) involved three. While most conditions increased steadily in prevalence with age, diabetes followed a different pattern, with higher prevalence among individuals aged 50-59 years (53.9%) and 60-69 years (52.4%) compared to those 70 years and older (40.3%). After adjusting for clinic visit year, gender, and study location, individuals aged 70 years and older were significantly less likely to have multimorbidity compared to those aged 50-59 years (AOR = 0.57, 95% CI: 0.52-0.62, p < 0.001).

Conclusion: The study revealed a wide range of multimorbidity combinations among older people attending primary health care. Strategies to address multimorbidity in older people should include efforts to identify other, less common clusters of chronic conditions.

求助全文
通过发布文献求助,成功后即可免费获取论文全文。 去求助
来源期刊
自引率
0.00%
发文量
0
×
引用
GB/T 7714-2015
复制
MLA
复制
APA
复制
导出至
BibTeX EndNote RefMan NoteFirst NoteExpress
×
提示
您的信息不完整,为了账户安全,请先补充。
现在去补充
×
提示
您因"违规操作"
具体请查看互助需知
我知道了
×
提示
确定
请完成安全验证×
copy
已复制链接
快去分享给好友吧!
我知道了
右上角分享
点击右上角分享
0
联系我们:info@booksci.cn Book学术提供免费学术资源搜索服务,方便国内外学者检索中英文文献。致力于提供最便捷和优质的服务体验。 Copyright © 2023 布克学术 All rights reserved.
京ICP备2023020795号-1
ghs 京公网安备 11010802042870号
Book学术文献互助
Book学术文献互助群
群 号:604180095
Book学术官方微信