妊娠后期感知压力与1个月婴儿身体组成的关系。

IF 3.1 Q2 ENDOCRINOLOGY & METABOLISM
Journal of the Endocrine Society Pub Date : 2025-01-28 eCollection Date: 2025-01-06 DOI:10.1210/jendso/bvae222
Xiaoran Yang, Sandrah P Eckel, Luis E Maldonado, Tingyu Yang, Xinci Chen, Mario Vigil, Claudia M Toledo-Corral, Genevieve F Dunton, Brendan H Grubbs, Laila Al-Marayati, Deborah Lerner, Nathana Lurvey, Rima Habre, Shohreh F Farzan, Theresa M Bastain, Carrie Breton
{"title":"妊娠后期感知压力与1个月婴儿身体组成的关系。","authors":"Xiaoran Yang, Sandrah P Eckel, Luis E Maldonado, Tingyu Yang, Xinci Chen, Mario Vigil, Claudia M Toledo-Corral, Genevieve F Dunton, Brendan H Grubbs, Laila Al-Marayati, Deborah Lerner, Nathana Lurvey, Rima Habre, Shohreh F Farzan, Theresa M Bastain, Carrie Breton","doi":"10.1210/jendso/bvae222","DOIUrl":null,"url":null,"abstract":"<p><strong>Context: </strong>Worldwide, obesity remains one of the most challenging crises with children being one of the most susceptible populations. The effect of maternal stress during pregnancy on newborn body composition, measured by fat mass and lean mass has, not been extensively studied.</p><p><strong>Objectives: </strong>We evaluated the association between perceived stress during late pregnancy and infant adiposity at 1 month and assessed effect modification by infant sex and preterm birth.</p><p><strong>Methods: </strong>Mother-infant dyads (N = 138) were included from the ongoing MADRES cohort. Maternal perceived stress during late pregnancy was measured by the 10-item Perceived Stress Scale (PSS), as a cumulative score, during the third trimester. Infant adiposity measures, collected at 1 month by EchoMRI, included weight, fat mass (FM), and lean mass with FM-related ratios derived. Multivariable linear regression models with interaction terms were performed.</p><p><strong>Results: </strong>Most mothers reported low to moderate stress (mean ± SD PSS: 13.2 ± 5.6) during late pregnancy. A 1-SD higher PSS was associated with higher FM% (FM (g)/weight (g): β = 0.78%; 95% CI, 0.13-1.44) but we did not find significant associations for the other adiposity measures. Statistically significant effects of perceived stress on FM-related measures were observed in male infants and preterm infants (both <i>P</i> for interaction <.05) but were null among female infants or term infants.</p><p><strong>Conclusion: </strong>In this predominately low-income Hispanic population, perceived stress during late pregnancy was associated with higher FM-related body composition measures during early infancy; this association was stronger among male and preterm infants compared to the overall population and other subgroups.</p>","PeriodicalId":17334,"journal":{"name":"Journal of the Endocrine Society","volume":"9 2","pages":"bvae222"},"PeriodicalIF":3.1000,"publicationDate":"2025-01-28","publicationTypes":"Journal Article","fieldsOfStudy":null,"isOpenAccess":false,"openAccessPdf":"https://www.ncbi.nlm.nih.gov/pmc/articles/PMC11772522/pdf/","citationCount":"0","resultStr":"{\"title\":\"Perceived Stress During Late Pregnancy and Infant Body Composition at 1 Month.\",\"authors\":\"Xiaoran Yang, Sandrah P Eckel, Luis E Maldonado, Tingyu Yang, Xinci Chen, Mario Vigil, Claudia M Toledo-Corral, Genevieve F Dunton, Brendan H Grubbs, Laila Al-Marayati, Deborah Lerner, Nathana Lurvey, Rima Habre, Shohreh F Farzan, Theresa M Bastain, Carrie Breton\",\"doi\":\"10.1210/jendso/bvae222\",\"DOIUrl\":null,\"url\":null,\"abstract\":\"<p><strong>Context: </strong>Worldwide, obesity remains one of the most challenging crises with children being one of the most susceptible populations. The effect of maternal stress during pregnancy on newborn body composition, measured by fat mass and lean mass has, not been extensively studied.</p><p><strong>Objectives: </strong>We evaluated the association between perceived stress during late pregnancy and infant adiposity at 1 month and assessed effect modification by infant sex and preterm birth.</p><p><strong>Methods: </strong>Mother-infant dyads (N = 138) were included from the ongoing MADRES cohort. Maternal perceived stress during late pregnancy was measured by the 10-item Perceived Stress Scale (PSS), as a cumulative score, during the third trimester. Infant adiposity measures, collected at 1 month by EchoMRI, included weight, fat mass (FM), and lean mass with FM-related ratios derived. Multivariable linear regression models with interaction terms were performed.</p><p><strong>Results: </strong>Most mothers reported low to moderate stress (mean ± SD PSS: 13.2 ± 5.6) during late pregnancy. A 1-SD higher PSS was associated with higher FM% (FM (g)/weight (g): β = 0.78%; 95% CI, 0.13-1.44) but we did not find significant associations for the other adiposity measures. Statistically significant effects of perceived stress on FM-related measures were observed in male infants and preterm infants (both <i>P</i> for interaction <.05) but were null among female infants or term infants.</p><p><strong>Conclusion: </strong>In this predominately low-income Hispanic population, perceived stress during late pregnancy was associated with higher FM-related body composition measures during early infancy; this association was stronger among male and preterm infants compared to the overall population and other subgroups.</p>\",\"PeriodicalId\":17334,\"journal\":{\"name\":\"Journal of the Endocrine Society\",\"volume\":\"9 2\",\"pages\":\"bvae222\"},\"PeriodicalIF\":3.1000,\"publicationDate\":\"2025-01-28\",\"publicationTypes\":\"Journal Article\",\"fieldsOfStudy\":null,\"isOpenAccess\":false,\"openAccessPdf\":\"https://www.ncbi.nlm.nih.gov/pmc/articles/PMC11772522/pdf/\",\"citationCount\":\"0\",\"resultStr\":null,\"platform\":\"Semanticscholar\",\"paperid\":null,\"PeriodicalName\":\"Journal of the Endocrine Society\",\"FirstCategoryId\":\"1085\",\"ListUrlMain\":\"https://doi.org/10.1210/jendso/bvae222\",\"RegionNum\":0,\"RegionCategory\":null,\"ArticlePicture\":[],\"TitleCN\":null,\"AbstractTextCN\":null,\"PMCID\":null,\"EPubDate\":\"2025/1/6 0:00:00\",\"PubModel\":\"eCollection\",\"JCR\":\"Q2\",\"JCRName\":\"ENDOCRINOLOGY & METABOLISM\",\"Score\":null,\"Total\":0}","platform":"Semanticscholar","paperid":null,"PeriodicalName":"Journal of the Endocrine Society","FirstCategoryId":"1085","ListUrlMain":"https://doi.org/10.1210/jendso/bvae222","RegionNum":0,"RegionCategory":null,"ArticlePicture":[],"TitleCN":null,"AbstractTextCN":null,"PMCID":null,"EPubDate":"2025/1/6 0:00:00","PubModel":"eCollection","JCR":"Q2","JCRName":"ENDOCRINOLOGY & METABOLISM","Score":null,"Total":0}
引用次数: 0

摘要

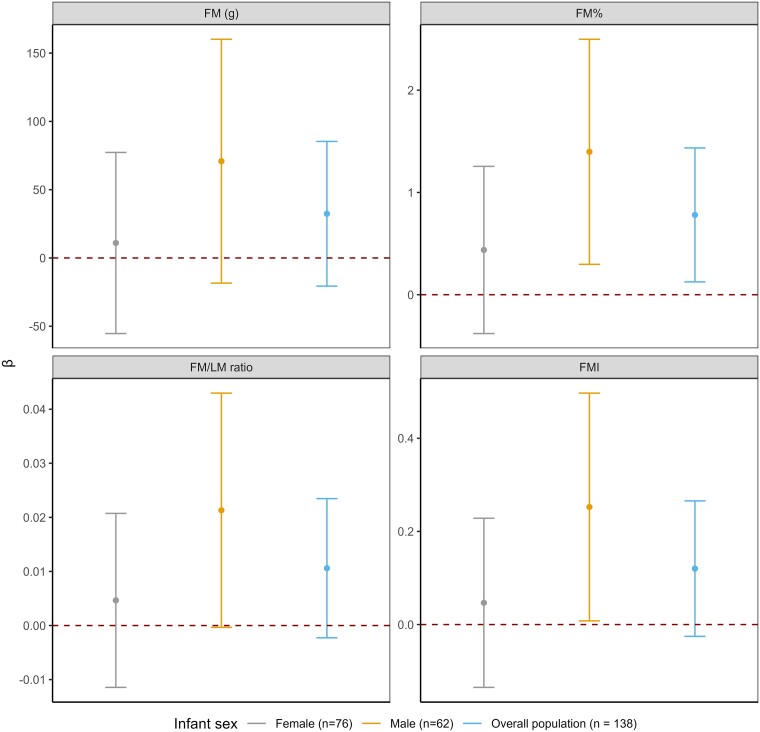
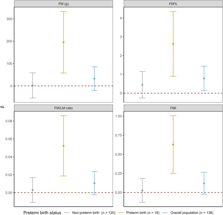
背景:在世界范围内,肥胖仍然是最具挑战性的危机之一,儿童是最易受影响的人群之一。怀孕期间母亲的压力对新生儿身体组成的影响(以脂肪量和瘦肉量衡量)尚未得到广泛研究。目的:我们评估妊娠后期感知压力与1月龄婴儿肥胖之间的关系,并评估婴儿性别和早产对效果的影响。方法:从正在进行的MADRES队列中纳入母婴双体(N = 138)。在妊娠晚期,母亲的感知压力是通过10项感知压力量表(PSS)来测量的,作为一个累积分数,在妊娠晚期。通过EchoMRI收集婴儿1个月时的肥胖测量,包括体重、脂肪质量(FM)和瘦质量,并得出与脂肪相关的比率。建立了具有交互项的多变量线性回归模型。结果:大多数母亲在妊娠后期报告低至中度压力(平均±SD PSS: 13.2±5.6)。1 sd高的PSS与高的FM% (FM (g)/weight (g))相关:β = 0.78%;95% CI, 0.13-1.44),但我们没有发现其他肥胖测量的显著关联。在男性婴儿和早产儿中观察到有统计学意义的感知压力对脂肪相关测量的影响(P均为相互作用)。结论:在这个主要是低收入西班牙裔人群中,怀孕后期的感知压力与婴儿早期较高的脂肪相关体成分测量相关;与总体人群和其他亚组相比,这种关联在男性和早产儿中更为明显。
本文章由计算机程序翻译,如有差异,请以英文原文为准。

Perceived Stress During Late Pregnancy and Infant Body Composition at 1 Month.

Perceived Stress During Late Pregnancy and Infant Body Composition at 1 Month.

Perceived Stress During Late Pregnancy and Infant Body Composition at 1 Month.

Perceived Stress During Late Pregnancy and Infant Body Composition at 1 Month.

Context: Worldwide, obesity remains one of the most challenging crises with children being one of the most susceptible populations. The effect of maternal stress during pregnancy on newborn body composition, measured by fat mass and lean mass has, not been extensively studied.

Objectives: We evaluated the association between perceived stress during late pregnancy and infant adiposity at 1 month and assessed effect modification by infant sex and preterm birth.

Methods: Mother-infant dyads (N = 138) were included from the ongoing MADRES cohort. Maternal perceived stress during late pregnancy was measured by the 10-item Perceived Stress Scale (PSS), as a cumulative score, during the third trimester. Infant adiposity measures, collected at 1 month by EchoMRI, included weight, fat mass (FM), and lean mass with FM-related ratios derived. Multivariable linear regression models with interaction terms were performed.

Results: Most mothers reported low to moderate stress (mean ± SD PSS: 13.2 ± 5.6) during late pregnancy. A 1-SD higher PSS was associated with higher FM% (FM (g)/weight (g): β = 0.78%; 95% CI, 0.13-1.44) but we did not find significant associations for the other adiposity measures. Statistically significant effects of perceived stress on FM-related measures were observed in male infants and preterm infants (both P for interaction <.05) but were null among female infants or term infants.

Conclusion: In this predominately low-income Hispanic population, perceived stress during late pregnancy was associated with higher FM-related body composition measures during early infancy; this association was stronger among male and preterm infants compared to the overall population and other subgroups.

求助全文
通过发布文献求助,成功后即可免费获取论文全文。 去求助
来源期刊
Journal of the Endocrine Society
Journal of the Endocrine Society Medicine-Endocrinology, Diabetes and Metabolism
CiteScore
5.50
自引率
0.00%
发文量
2039
审稿时长
9 weeks
×
引用
GB/T 7714-2015
复制
MLA
复制
APA
复制
导出至
BibTeX EndNote RefMan NoteFirst NoteExpress
×
提示
您的信息不完整,为了账户安全,请先补充。
现在去补充
×
提示
您因"违规操作"
具体请查看互助需知
我知道了
×
提示
确定
请完成安全验证×
copy
已复制链接
快去分享给好友吧!
我知道了
右上角分享
点击右上角分享
0
联系我们:info@booksci.cn Book学术提供免费学术资源搜索服务,方便国内外学者检索中英文文献。致力于提供最便捷和优质的服务体验。 Copyright © 2023 布克学术 All rights reserved.
京ICP备2023020795号-1
ghs 京公网安备 11010802042870号
Book学术文献互助
Book学术文献互助群
群 号:604180095
Book学术官方微信