将视频会议治疗师指导整合到阶梯式护理互联网提供的儿童和青少年焦虑认知行为治疗:非劣效性随机对照试验。

IF 5.8 2区 医学 Q1 PSYCHIATRY
Jmir Mental Health Pub Date : 2025-01-22 DOI:10.2196/57405
Sonja March, Susan H Spence, Larry Myers, Martelle Ford, Genevieve Smith, Caroline L Donovan
{"title":"将视频会议治疗师指导整合到阶梯式护理互联网提供的儿童和青少年焦虑认知行为治疗:非劣效性随机对照试验。","authors":"Sonja March, Susan H Spence, Larry Myers, Martelle Ford, Genevieve Smith, Caroline L Donovan","doi":"10.2196/57405","DOIUrl":null,"url":null,"abstract":"<p><strong>Background: </strong>Self-guided internet-delivered cognitive behavioral therapy (ICBT) achieves greater reach than ICBT delivered with therapist guidance, but demonstrates poorer engagement and fewer clinical benefits. Alternative models of care are required that promote engagement and are effective, accessible, and scalable.</p><p><strong>Objective: </strong>This randomized trial evaluated whether a stepped care approach to ICBT using therapist guidance via videoconferencing for the step-up component (ICBT-SC[VC]) is noninferior to ICBT with full therapist delivery by videoconferencing (ICBT-TG[VC]) for child and adolescent anxiety.</p><p><strong>Methods: </strong>Participants included 137 Australian children and adolescents aged 7 to 17 years (male: n=61, 44.5%) with a primary anxiety disorder who were recruited from participants presenting to the BRAVE Online website. This noninferiority randomized trial compared ICBT-SC[VC] to an ICBT-TG[VC] program, with assessments conducted at baseline, 12 weeks, and 9 months after treatment commencement. All ICBT-TG[VC] participants received therapist guidance (videoconferencing) after each session for all 10 sessions. All ICBT-SC[VC] participants completed the first 5 sessions online without therapist guidance. If they demonstrated response to treatment after 5 sessions (defined as reductions in anxiety symptoms to the nonclinical range), they continued sessions without therapist guidance. If they did not respond, participants were stepped up to receive supplemental therapist guidance (videoconferencing) for the remaining sessions. The measures included a clinical diagnostic interview (Anxiety Disorders Interview Schedule) with clinician-rated severity rating as the primary outcome and parent- and child-reported web-based surveys assessing anxiety and anxiety-related interference (secondary outcomes).</p><p><strong>Results: </strong>Although there were no substantial differences between the treatment conditions on primary and most secondary outcome measures, the noninferiority of ICBT-SC[VC] compared to ICBT-TG[VC] could not be determined. Significant clinical benefits were evident for participants in both treatments, although this was significantly higher for the ICBT-TG[VC] participants. Of the 89 participants (38 in ICBT-SC[VC] and 51 in ICBT-TG[VC]) who remained in the study, 26 (68%) in ICBT-SC[VC] and 45 (88%) in ICBT-TG[VC] were free of their primary anxiety diagnosis by the 9-month follow-up. For the intention-to-treat sample (N=137), 41% (27/66) ICBT-SC[VC], and 69% (49/71) ICBT-TG[VC] participants were free of their primary anxiety diagnosis. Therapy compliance was lower for the ICBT-SC[VC] participants (mean 7.39, SD 3.44 sessions) than for the ICBT-TG[VC] participants (mean 8.73, SD 3.08 sessions), although treatment satisfaction was moderate to high in both conditions.</p><p><strong>Conclusions: </strong>This study provided further support for the benefits of low-intensity ICBT for children and adolescents with a primary anxiety disorder and highlighted the excellent treatment outcomes that can be achieved through therapist-guided ICBT delivered via videoconferencing. Although noninferiority of the stepped care adaptive approach could not be determined, it was acceptable to families, produced good outcomes, and could assist in increasing access to evidence-based care.</p><p><strong>Trial registration: </strong>Australian New Zealand Clinical Trials Registry (ANZCTR) ACTRN12618001418268; https://anzctr.org.au/Trial/Registration/TrialReview.aspx?ACTRN=12618001418268.</p>","PeriodicalId":48616,"journal":{"name":"Jmir Mental Health","volume":"12 ","pages":"e57405"},"PeriodicalIF":5.8000,"publicationDate":"2025-01-22","publicationTypes":"Journal Article","fieldsOfStudy":null,"isOpenAccess":false,"openAccessPdf":"https://www.ncbi.nlm.nih.gov/pmc/articles/PMC11799812/pdf/","citationCount":"0","resultStr":"{\"title\":\"Integrating Videoconferencing Therapist Guidance Into Stepped Care Internet-Delivered Cognitive Behavioral Therapy for Child and Adolescent Anxiety: Noninferiority Randomized Controlled Trial.\",\"authors\":\"Sonja March, Susan H Spence, Larry Myers, Martelle Ford, Genevieve Smith, Caroline L Donovan\",\"doi\":\"10.2196/57405\",\"DOIUrl\":null,\"url\":null,\"abstract\":\"<p><strong>Background: </strong>Self-guided internet-delivered cognitive behavioral therapy (ICBT) achieves greater reach than ICBT delivered with therapist guidance, but demonstrates poorer engagement and fewer clinical benefits. Alternative models of care are required that promote engagement and are effective, accessible, and scalable.</p><p><strong>Objective: </strong>This randomized trial evaluated whether a stepped care approach to ICBT using therapist guidance via videoconferencing for the step-up component (ICBT-SC[VC]) is noninferior to ICBT with full therapist delivery by videoconferencing (ICBT-TG[VC]) for child and adolescent anxiety.</p><p><strong>Methods: </strong>Participants included 137 Australian children and adolescents aged 7 to 17 years (male: n=61, 44.5%) with a primary anxiety disorder who were recruited from participants presenting to the BRAVE Online website. This noninferiority randomized trial compared ICBT-SC[VC] to an ICBT-TG[VC] program, with assessments conducted at baseline, 12 weeks, and 9 months after treatment commencement. All ICBT-TG[VC] participants received therapist guidance (videoconferencing) after each session for all 10 sessions. All ICBT-SC[VC] participants completed the first 5 sessions online without therapist guidance. If they demonstrated response to treatment after 5 sessions (defined as reductions in anxiety symptoms to the nonclinical range), they continued sessions without therapist guidance. If they did not respond, participants were stepped up to receive supplemental therapist guidance (videoconferencing) for the remaining sessions. The measures included a clinical diagnostic interview (Anxiety Disorders Interview Schedule) with clinician-rated severity rating as the primary outcome and parent- and child-reported web-based surveys assessing anxiety and anxiety-related interference (secondary outcomes).</p><p><strong>Results: </strong>Although there were no substantial differences between the treatment conditions on primary and most secondary outcome measures, the noninferiority of ICBT-SC[VC] compared to ICBT-TG[VC] could not be determined. Significant clinical benefits were evident for participants in both treatments, although this was significantly higher for the ICBT-TG[VC] participants. Of the 89 participants (38 in ICBT-SC[VC] and 51 in ICBT-TG[VC]) who remained in the study, 26 (68%) in ICBT-SC[VC] and 45 (88%) in ICBT-TG[VC] were free of their primary anxiety diagnosis by the 9-month follow-up. For the intention-to-treat sample (N=137), 41% (27/66) ICBT-SC[VC], and 69% (49/71) ICBT-TG[VC] participants were free of their primary anxiety diagnosis. Therapy compliance was lower for the ICBT-SC[VC] participants (mean 7.39, SD 3.44 sessions) than for the ICBT-TG[VC] participants (mean 8.73, SD 3.08 sessions), although treatment satisfaction was moderate to high in both conditions.</p><p><strong>Conclusions: </strong>This study provided further support for the benefits of low-intensity ICBT for children and adolescents with a primary anxiety disorder and highlighted the excellent treatment outcomes that can be achieved through therapist-guided ICBT delivered via videoconferencing. Although noninferiority of the stepped care adaptive approach could not be determined, it was acceptable to families, produced good outcomes, and could assist in increasing access to evidence-based care.</p><p><strong>Trial registration: </strong>Australian New Zealand Clinical Trials Registry (ANZCTR) ACTRN12618001418268; https://anzctr.org.au/Trial/Registration/TrialReview.aspx?ACTRN=12618001418268.</p>\",\"PeriodicalId\":48616,\"journal\":{\"name\":\"Jmir Mental Health\",\"volume\":\"12 \",\"pages\":\"e57405\"},\"PeriodicalIF\":5.8000,\"publicationDate\":\"2025-01-22\",\"publicationTypes\":\"Journal Article\",\"fieldsOfStudy\":null,\"isOpenAccess\":false,\"openAccessPdf\":\"https://www.ncbi.nlm.nih.gov/pmc/articles/PMC11799812/pdf/\",\"citationCount\":\"0\",\"resultStr\":null,\"platform\":\"Semanticscholar\",\"paperid\":null,\"PeriodicalName\":\"Jmir Mental Health\",\"FirstCategoryId\":\"3\",\"ListUrlMain\":\"https://doi.org/10.2196/57405\",\"RegionNum\":2,\"RegionCategory\":\"医学\",\"ArticlePicture\":[],\"TitleCN\":null,\"AbstractTextCN\":null,\"PMCID\":null,\"EPubDate\":\"\",\"PubModel\":\"\",\"JCR\":\"Q1\",\"JCRName\":\"PSYCHIATRY\",\"Score\":null,\"Total\":0}","platform":"Semanticscholar","paperid":null,"PeriodicalName":"Jmir Mental Health","FirstCategoryId":"3","ListUrlMain":"https://doi.org/10.2196/57405","RegionNum":2,"RegionCategory":"医学","ArticlePicture":[],"TitleCN":null,"AbstractTextCN":null,"PMCID":null,"EPubDate":"","PubModel":"","JCR":"Q1","JCRName":"PSYCHIATRY","Score":null,"Total":0}
引用次数: 0

摘要

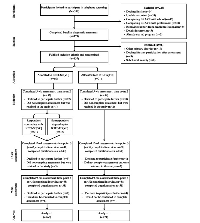
背景:自我引导的互联网认知行为治疗(ICBT)比治疗师指导下的ICBT达到了更大的范围,但表现出更差的参与度和更少的临床效益。需要替代的护理模式,以促进参与,有效、可获得和可扩展。目的:本随机试验评估了采用视频会议治疗师指导的ICBT阶梯式护理方法(ICBT- sc [VC])是否优于采用视频会议治疗师全程指导的ICBT (ICBT- tg [VC])治疗儿童和青少年焦虑。方法:参与者包括137名患有原发性焦虑症的澳大利亚儿童和青少年,年龄在7至17岁之间(男性:n=61, 44.5%),他们是从提交BRAVE在线网站的参与者中招募的。这项非劣效性随机试验比较了ICBT-SC[VC]和ICBT-TG[VC]方案,并在治疗开始后的基线、12周和9个月进行了评估。所有ICBT-TG[VC]参与者在10个疗程的每个疗程后都接受了治疗师的指导(视频会议)。所有ICBT-SC[VC]参与者在没有治疗师指导的情况下在线完成了前5个疗程。如果他们在5次治疗后表现出对治疗的反应(定义为焦虑症状减少到非临床范围),他们在没有治疗师指导的情况下继续治疗。如果他们没有回应,参与者将在剩余的疗程中接受治疗师的补充指导(视频会议)。这些措施包括临床诊断访谈(焦虑症访谈表),以临床医生评定的严重程度等级作为主要结果,以及父母和儿童报告的基于网络的评估焦虑和焦虑相关干扰的调查(次要结果)。结果:虽然治疗条件在主要和大多数次要结局指标上没有实质性差异,但与ICBT-SC[VC]相比,ICBT-TG[VC]的非劣效性尚无法确定。两种治疗的参与者都有明显的临床获益,尽管ICBT-TG[VC]参与者的临床获益明显更高。89名参与者(ICBT-SC[VC]组38名,ICBT-TG[VC]组51名)仍在研究中,截至9个月的随访,ICBT-SC[VC]组26名(68%),ICBT-TG[VC]组45名(88%)无原发性焦虑诊断。意向治疗样本(N=137)中,41%(27/66)的ICBT-SC[VC]参与者和69%(49/71)的ICBT-TG[VC]参与者不存在其原发性焦虑诊断。ICBT-SC[VC]参与者的治疗依从性(平均7.39,SD 3.44)低于ICBT-TG[VC]参与者(平均8.73,SD 3.08),尽管两种情况下的治疗满意度均为中至高。结论:本研究进一步支持了低强度ICBT对患有原发性焦虑症的儿童和青少年的益处,并强调了通过治疗师指导的ICBT可以通过视频会议实现的良好治疗效果。虽然不能确定阶梯式护理适应方法的非劣效性,但它为家庭所接受,产生了良好的结果,并有助于增加获得循证护理的机会。试验注册:澳大利亚新西兰临床试验注册中心(ANZCTR) ACTRN12618001418268;https://anzctr.org.au/Trial/Registration/TrialReview.aspx?ACTRN=12618001418268。
本文章由计算机程序翻译,如有差异,请以英文原文为准。

Integrating Videoconferencing Therapist Guidance Into Stepped Care Internet-Delivered Cognitive Behavioral Therapy for Child and Adolescent Anxiety: Noninferiority Randomized Controlled Trial.

Integrating Videoconferencing Therapist Guidance Into Stepped Care Internet-Delivered Cognitive Behavioral Therapy for Child and Adolescent Anxiety: Noninferiority Randomized Controlled Trial.

Integrating Videoconferencing Therapist Guidance Into Stepped Care Internet-Delivered Cognitive Behavioral Therapy for Child and Adolescent Anxiety: Noninferiority Randomized Controlled Trial.

Integrating Videoconferencing Therapist Guidance Into Stepped Care Internet-Delivered Cognitive Behavioral Therapy for Child and Adolescent Anxiety: Noninferiority Randomized Controlled Trial.

Background: Self-guided internet-delivered cognitive behavioral therapy (ICBT) achieves greater reach than ICBT delivered with therapist guidance, but demonstrates poorer engagement and fewer clinical benefits. Alternative models of care are required that promote engagement and are effective, accessible, and scalable.

Objective: This randomized trial evaluated whether a stepped care approach to ICBT using therapist guidance via videoconferencing for the step-up component (ICBT-SC[VC]) is noninferior to ICBT with full therapist delivery by videoconferencing (ICBT-TG[VC]) for child and adolescent anxiety.

Methods: Participants included 137 Australian children and adolescents aged 7 to 17 years (male: n=61, 44.5%) with a primary anxiety disorder who were recruited from participants presenting to the BRAVE Online website. This noninferiority randomized trial compared ICBT-SC[VC] to an ICBT-TG[VC] program, with assessments conducted at baseline, 12 weeks, and 9 months after treatment commencement. All ICBT-TG[VC] participants received therapist guidance (videoconferencing) after each session for all 10 sessions. All ICBT-SC[VC] participants completed the first 5 sessions online without therapist guidance. If they demonstrated response to treatment after 5 sessions (defined as reductions in anxiety symptoms to the nonclinical range), they continued sessions without therapist guidance. If they did not respond, participants were stepped up to receive supplemental therapist guidance (videoconferencing) for the remaining sessions. The measures included a clinical diagnostic interview (Anxiety Disorders Interview Schedule) with clinician-rated severity rating as the primary outcome and parent- and child-reported web-based surveys assessing anxiety and anxiety-related interference (secondary outcomes).

Results: Although there were no substantial differences between the treatment conditions on primary and most secondary outcome measures, the noninferiority of ICBT-SC[VC] compared to ICBT-TG[VC] could not be determined. Significant clinical benefits were evident for participants in both treatments, although this was significantly higher for the ICBT-TG[VC] participants. Of the 89 participants (38 in ICBT-SC[VC] and 51 in ICBT-TG[VC]) who remained in the study, 26 (68%) in ICBT-SC[VC] and 45 (88%) in ICBT-TG[VC] were free of their primary anxiety diagnosis by the 9-month follow-up. For the intention-to-treat sample (N=137), 41% (27/66) ICBT-SC[VC], and 69% (49/71) ICBT-TG[VC] participants were free of their primary anxiety diagnosis. Therapy compliance was lower for the ICBT-SC[VC] participants (mean 7.39, SD 3.44 sessions) than for the ICBT-TG[VC] participants (mean 8.73, SD 3.08 sessions), although treatment satisfaction was moderate to high in both conditions.

Conclusions: This study provided further support for the benefits of low-intensity ICBT for children and adolescents with a primary anxiety disorder and highlighted the excellent treatment outcomes that can be achieved through therapist-guided ICBT delivered via videoconferencing. Although noninferiority of the stepped care adaptive approach could not be determined, it was acceptable to families, produced good outcomes, and could assist in increasing access to evidence-based care.

Trial registration: Australian New Zealand Clinical Trials Registry (ANZCTR) ACTRN12618001418268; https://anzctr.org.au/Trial/Registration/TrialReview.aspx?ACTRN=12618001418268.

求助全文
通过发布文献求助,成功后即可免费获取论文全文。 去求助
来源期刊
Jmir Mental Health
Jmir Mental Health Medicine-Psychiatry and Mental Health
CiteScore
10.80
自引率
3.80%
发文量
104
审稿时长
16 weeks
期刊介绍: JMIR Mental Health (JMH, ISSN 2368-7959) is a PubMed-indexed, peer-reviewed sister journal of JMIR, the leading eHealth journal (Impact Factor 2016: 5.175). JMIR Mental Health focusses on digital health and Internet interventions, technologies and electronic innovations (software and hardware) for mental health, addictions, online counselling and behaviour change. This includes formative evaluation and system descriptions, theoretical papers, review papers, viewpoint/vision papers, and rigorous evaluations.
×
引用
GB/T 7714-2015
复制
MLA
复制
APA
复制
导出至
BibTeX EndNote RefMan NoteFirst NoteExpress
×
提示
您的信息不完整,为了账户安全,请先补充。
现在去补充
×
提示
您因"违规操作"
具体请查看互助需知
我知道了
×
提示
确定
请完成安全验证×
copy
已复制链接
快去分享给好友吧!
我知道了
右上角分享
点击右上角分享
0
联系我们:info@booksci.cn Book学术提供免费学术资源搜索服务,方便国内外学者检索中英文文献。致力于提供最便捷和优质的服务体验。 Copyright © 2023 布克学术 All rights reserved.
京ICP备2023020795号-1
ghs 京公网安备 11010802042870号
Book学术文献互助
Book学术文献互助群
群 号:604180095
Book学术官方微信