国际标准化比率和活化部分凝血活酶时间不能预测肝移植血浆输注。

IF 1.8
David Silveira Marinho, Joel Avancini Rocha Filho, Estela Regina Ramos Figueira, Claudia Regina Fernandes, Rui Carlos Detsch Junior, José Huygens Parente Garcia, Wellington Andraus, Luiz Augusto Carneiro D'Albuquerque
{"title":"国际标准化比率和活化部分凝血活酶时间不能预测肝移植血浆输注。","authors":"David Silveira Marinho, Joel Avancini Rocha Filho, Estela Regina Ramos Figueira, Claudia Regina Fernandes, Rui Carlos Detsch Junior, José Huygens Parente Garcia, Wellington Andraus, Luiz Augusto Carneiro D'Albuquerque","doi":"10.1590/0102-6720202400061e1855","DOIUrl":null,"url":null,"abstract":"<p><strong>Background: </strong>Blood loss during liver transplantation (LT) remains a major concern associated with increased morbidity and reduced patient and graft survival. The high complexity of the procedure associated with the multifaceted origin of the bleeding urges early identification of high-risk patients and proper monitoring of hemostasis disorders in order to improve results. The accuracy of international normalized ratio (INR) and activated partial thromboplastin time (aPTT) to evaluate coagulation status in cirrhotic patients has been doubted.</p><p><strong>Aims: </strong>The aim of this study was to investigate the applicability of these coagulation tests to indicate fresh frozen plasma transfusion in LT.</p><p><strong>Methods: </strong>This retrospective cohort study analyzed 297 cirrhotic patients submitted to LT. INR and aPTT were measured preoperatively and in each surgical phase. Hemostatic blood components were transfused only for coagulopathy indication. Patients were divided according to intraoperative plasma transfusion into transfused and non-transfused groups. The accuracy of INR and aPTT to predict plasma transfusions was investigated. The alert values of INR and aPTT unassociated with coagulopathy in each phase of surgery were identified.</p><p><strong>Results: </strong>Multivariate analysis showed that preoperative hematocrit (odds ratio [OR]=0.90, p<0.001), preoperative fibrinogen (OR=0.99, p<0.001), and absence of hepatocellular carcinoma (OR=3.57, p=0.004) were significant predictors of plasma transfusions.</p><p><strong>Conclusions: </strong>INR and aPTT demonstrated poor accuracy in predicting plasma transfusions, irrespective of the cutoff adopted, highlighting the need for a more comprehensive approach to guide hemostatic therapy in LT to improve the outcome.</p>","PeriodicalId":72298,"journal":{"name":"Arquivos brasileiros de cirurgia digestiva : ABCD = Brazilian archives of digestive surgery","volume":"37 ","pages":"e1855"},"PeriodicalIF":1.8000,"publicationDate":"2025-01-13","publicationTypes":"Journal Article","fieldsOfStudy":null,"isOpenAccess":false,"openAccessPdf":"https://www.ncbi.nlm.nih.gov/pmc/articles/PMC11729538/pdf/","citationCount":"0","resultStr":"{\"title\":\"INTERNATIONAL NORMALIZED RATIO AND ACTIVATED PARTIAL THROMBOPLASTIN TIME DO NOT PREDICT PLASMA TRANSFUSION IN LIVER TRANSPLANTATION.\",\"authors\":\"David Silveira Marinho, Joel Avancini Rocha Filho, Estela Regina Ramos Figueira, Claudia Regina Fernandes, Rui Carlos Detsch Junior, José Huygens Parente Garcia, Wellington Andraus, Luiz Augusto Carneiro D'Albuquerque\",\"doi\":\"10.1590/0102-6720202400061e1855\",\"DOIUrl\":null,\"url\":null,\"abstract\":\"<p><strong>Background: </strong>Blood loss during liver transplantation (LT) remains a major concern associated with increased morbidity and reduced patient and graft survival. The high complexity of the procedure associated with the multifaceted origin of the bleeding urges early identification of high-risk patients and proper monitoring of hemostasis disorders in order to improve results. The accuracy of international normalized ratio (INR) and activated partial thromboplastin time (aPTT) to evaluate coagulation status in cirrhotic patients has been doubted.</p><p><strong>Aims: </strong>The aim of this study was to investigate the applicability of these coagulation tests to indicate fresh frozen plasma transfusion in LT.</p><p><strong>Methods: </strong>This retrospective cohort study analyzed 297 cirrhotic patients submitted to LT. INR and aPTT were measured preoperatively and in each surgical phase. Hemostatic blood components were transfused only for coagulopathy indication. Patients were divided according to intraoperative plasma transfusion into transfused and non-transfused groups. The accuracy of INR and aPTT to predict plasma transfusions was investigated. The alert values of INR and aPTT unassociated with coagulopathy in each phase of surgery were identified.</p><p><strong>Results: </strong>Multivariate analysis showed that preoperative hematocrit (odds ratio [OR]=0.90, p<0.001), preoperative fibrinogen (OR=0.99, p<0.001), and absence of hepatocellular carcinoma (OR=3.57, p=0.004) were significant predictors of plasma transfusions.</p><p><strong>Conclusions: </strong>INR and aPTT demonstrated poor accuracy in predicting plasma transfusions, irrespective of the cutoff adopted, highlighting the need for a more comprehensive approach to guide hemostatic therapy in LT to improve the outcome.</p>\",\"PeriodicalId\":72298,\"journal\":{\"name\":\"Arquivos brasileiros de cirurgia digestiva : ABCD = Brazilian archives of digestive surgery\",\"volume\":\"37 \",\"pages\":\"e1855\"},\"PeriodicalIF\":1.8000,\"publicationDate\":\"2025-01-13\",\"publicationTypes\":\"Journal Article\",\"fieldsOfStudy\":null,\"isOpenAccess\":false,\"openAccessPdf\":\"https://www.ncbi.nlm.nih.gov/pmc/articles/PMC11729538/pdf/\",\"citationCount\":\"0\",\"resultStr\":null,\"platform\":\"Semanticscholar\",\"paperid\":null,\"PeriodicalName\":\"Arquivos brasileiros de cirurgia digestiva : ABCD = Brazilian archives of digestive surgery\",\"FirstCategoryId\":\"1085\",\"ListUrlMain\":\"https://doi.org/10.1590/0102-6720202400061e1855\",\"RegionNum\":0,\"RegionCategory\":null,\"ArticlePicture\":[],\"TitleCN\":null,\"AbstractTextCN\":null,\"PMCID\":null,\"EPubDate\":\"2025/1/1 0:00:00\",\"PubModel\":\"eCollection\",\"JCR\":\"\",\"JCRName\":\"\",\"Score\":null,\"Total\":0}","platform":"Semanticscholar","paperid":null,"PeriodicalName":"Arquivos brasileiros de cirurgia digestiva : ABCD = Brazilian archives of digestive surgery","FirstCategoryId":"1085","ListUrlMain":"https://doi.org/10.1590/0102-6720202400061e1855","RegionNum":0,"RegionCategory":null,"ArticlePicture":[],"TitleCN":null,"AbstractTextCN":null,"PMCID":null,"EPubDate":"2025/1/1 0:00:00","PubModel":"eCollection","JCR":"","JCRName":"","Score":null,"Total":0}
引用次数: 0

摘要

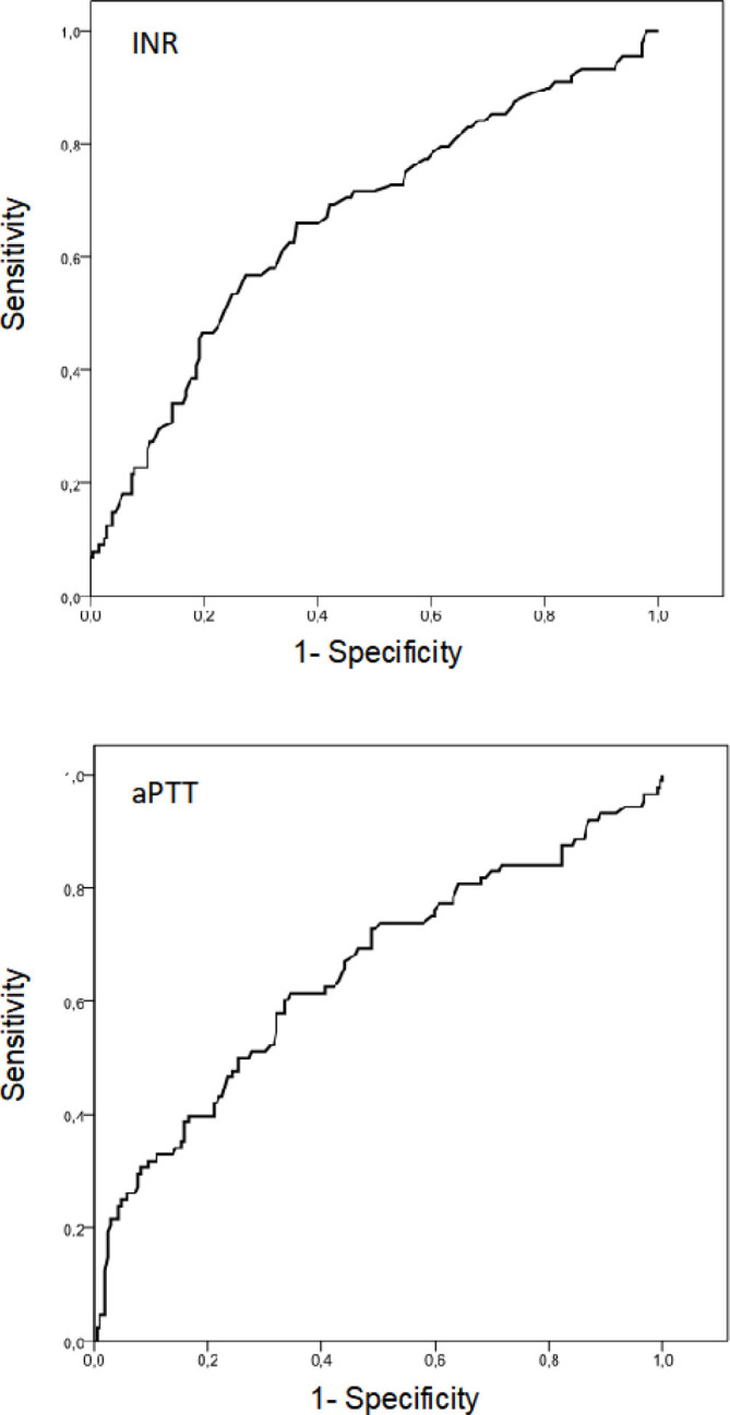
背景:肝移植(LT)期间的失血仍然是一个主要问题,与发病率增加和患者和移植物存活率降低有关。手术的高度复杂性与出血的多方面起源有关,促使早期识别高风险患者并适当监测止血障碍,以改善结果。国际标准化比值(INR)和活化部分凝血活素时间(aPTT)评估肝硬化患者凝血状态的准确性一直受到质疑。目的:本研究的目的是探讨凝血试验在肝移植中指示新鲜冷冻血浆输注的适用性。方法:本回顾性队列研究分析了297例接受肝移植的肝硬化患者。在术前和每个手术阶段测量INR和aPTT。只有在凝血病指征时才输注止血成分。根据术中血浆输注情况将患者分为输血组和非输血组。探讨INR和aPTT预测血浆输注的准确性。确定与凝血病无关的INR和aPTT在手术各阶段的警戒值。结果:多因素分析显示术前红细胞压积(比值比[OR]=0.90)。结论:无论采用何种截止值,INR和aPTT预测血浆输注的准确性都较差,这表明需要更全面的方法来指导肝移植止血治疗以改善预后。
本文章由计算机程序翻译,如有差异,请以英文原文为准。

INTERNATIONAL NORMALIZED RATIO AND ACTIVATED PARTIAL THROMBOPLASTIN TIME DO NOT PREDICT PLASMA TRANSFUSION IN LIVER TRANSPLANTATION.

INTERNATIONAL NORMALIZED RATIO AND ACTIVATED PARTIAL THROMBOPLASTIN TIME DO NOT PREDICT PLASMA TRANSFUSION IN LIVER TRANSPLANTATION.

INTERNATIONAL NORMALIZED RATIO AND ACTIVATED PARTIAL THROMBOPLASTIN TIME DO NOT PREDICT PLASMA TRANSFUSION IN LIVER TRANSPLANTATION.

INTERNATIONAL NORMALIZED RATIO AND ACTIVATED PARTIAL THROMBOPLASTIN TIME DO NOT PREDICT PLASMA TRANSFUSION IN LIVER TRANSPLANTATION.

Background: Blood loss during liver transplantation (LT) remains a major concern associated with increased morbidity and reduced patient and graft survival. The high complexity of the procedure associated with the multifaceted origin of the bleeding urges early identification of high-risk patients and proper monitoring of hemostasis disorders in order to improve results. The accuracy of international normalized ratio (INR) and activated partial thromboplastin time (aPTT) to evaluate coagulation status in cirrhotic patients has been doubted.

Aims: The aim of this study was to investigate the applicability of these coagulation tests to indicate fresh frozen plasma transfusion in LT.

Methods: This retrospective cohort study analyzed 297 cirrhotic patients submitted to LT. INR and aPTT were measured preoperatively and in each surgical phase. Hemostatic blood components were transfused only for coagulopathy indication. Patients were divided according to intraoperative plasma transfusion into transfused and non-transfused groups. The accuracy of INR and aPTT to predict plasma transfusions was investigated. The alert values of INR and aPTT unassociated with coagulopathy in each phase of surgery were identified.

Results: Multivariate analysis showed that preoperative hematocrit (odds ratio [OR]=0.90, p<0.001), preoperative fibrinogen (OR=0.99, p<0.001), and absence of hepatocellular carcinoma (OR=3.57, p=0.004) were significant predictors of plasma transfusions.

Conclusions: INR and aPTT demonstrated poor accuracy in predicting plasma transfusions, irrespective of the cutoff adopted, highlighting the need for a more comprehensive approach to guide hemostatic therapy in LT to improve the outcome.

求助全文
通过发布文献求助,成功后即可免费获取论文全文。 去求助
来源期刊
自引率
0.00%
发文量
0
×
引用
GB/T 7714-2015
复制
MLA
复制
APA
复制
导出至
BibTeX EndNote RefMan NoteFirst NoteExpress
×
提示
您的信息不完整,为了账户安全,请先补充。
现在去补充
×
提示
您因"违规操作"
具体请查看互助需知
我知道了
×
提示
确定
请完成安全验证×
copy
已复制链接
快去分享给好友吧!
我知道了
右上角分享
点击右上角分享
0
联系我们:info@booksci.cn Book学术提供免费学术资源搜索服务,方便国内外学者检索中英文文献。致力于提供最便捷和优质的服务体验。 Copyright © 2023 布克学术 All rights reserved.
京ICP备2023020795号-1
ghs 京公网安备 11010802042870号
Book学术文献互助
Book学术文献互助群
群 号:604180095
Book学术官方微信