一项评估富生长因子血浆(PRGF)治疗背痛疗效的长期回顾性观察性临床研究。

IF 3.3 2区 医学 Q1 CLINICAL NEUROLOGY
Pain and Therapy Pub Date : 2025-04-01 Epub Date: 2025-01-16 DOI:10.1007/s40122-024-00699-y
Eduardo Anitua, Isidro Milani, Àlex Martínez, Freddy Cabello, Roberto Prado, Sabino Padilla, Luis Sanado
{"title":"一项评估富生长因子血浆(PRGF)治疗背痛疗效的长期回顾性观察性临床研究。","authors":"Eduardo Anitua, Isidro Milani, Àlex Martínez, Freddy Cabello, Roberto Prado, Sabino Padilla, Luis Sanado","doi":"10.1007/s40122-024-00699-y","DOIUrl":null,"url":null,"abstract":"<p><strong>Introduction: </strong>Chronic back pain is a long-lasting disorder that is significantly associated with a reduction in the quality of life. Previously, the efficacy of intradiscal and epidural injections of plasma rich in growth factors (PRGF) was demonstrated at 6 months. The objective of this study was to retrospectively examine the medical records of these patients in order to determine whether the observed improvement at the 6-month follow-up was sustained over time.</p><p><strong>Methods: </strong>PRGF efficacy was evaluated using validated questionnaires: Core Outcome Measure Index (COMI) Pain score, COMI Disability score, COMI total score, and Oswestry Disability Index (ODI). Furthermore, an evaluation was conducted to determine whether the patients had undergone additional treatments.</p><p><strong>Results: </strong>the results demonstrated that 85.2% of the 27 patients who were enrolled exhibited sustained improvement across all scales over a median follow-up period of 24 months. The results of all questionnaires administered at 24 months exhibited statistically significant differences when compared to the baseline data (p < 0.01). Furthermore, there were no statistically significant differences between the results reported at 6 months and those at 24 months (p > 0.05).</p><p><strong>Conclusions: </strong>the results of this retrospective study demonstrate that treatment of chronic back pain with PRGF was effective in maintaining pain reduction and improving function for at least 24 months after the end of treatment.</p>","PeriodicalId":19908,"journal":{"name":"Pain and Therapy","volume":" ","pages":"675-690"},"PeriodicalIF":3.3000,"publicationDate":"2025-04-01","publicationTypes":"Journal Article","fieldsOfStudy":null,"isOpenAccess":false,"openAccessPdf":"https://www.ncbi.nlm.nih.gov/pmc/articles/PMC11914421/pdf/","citationCount":"0","resultStr":"{\"title\":\"A Long-Term Retrospective Observational Clinical Study Evaluating the Efficacy of Plasma Rich in Growth Factors (PRGF) in the Treatment of Back Pain.\",\"authors\":\"Eduardo Anitua, Isidro Milani, Àlex Martínez, Freddy Cabello, Roberto Prado, Sabino Padilla, Luis Sanado\",\"doi\":\"10.1007/s40122-024-00699-y\",\"DOIUrl\":null,\"url\":null,\"abstract\":\"<p><strong>Introduction: </strong>Chronic back pain is a long-lasting disorder that is significantly associated with a reduction in the quality of life. Previously, the efficacy of intradiscal and epidural injections of plasma rich in growth factors (PRGF) was demonstrated at 6 months. The objective of this study was to retrospectively examine the medical records of these patients in order to determine whether the observed improvement at the 6-month follow-up was sustained over time.</p><p><strong>Methods: </strong>PRGF efficacy was evaluated using validated questionnaires: Core Outcome Measure Index (COMI) Pain score, COMI Disability score, COMI total score, and Oswestry Disability Index (ODI). Furthermore, an evaluation was conducted to determine whether the patients had undergone additional treatments.</p><p><strong>Results: </strong>the results demonstrated that 85.2% of the 27 patients who were enrolled exhibited sustained improvement across all scales over a median follow-up period of 24 months. The results of all questionnaires administered at 24 months exhibited statistically significant differences when compared to the baseline data (p < 0.01). Furthermore, there were no statistically significant differences between the results reported at 6 months and those at 24 months (p > 0.05).</p><p><strong>Conclusions: </strong>the results of this retrospective study demonstrate that treatment of chronic back pain with PRGF was effective in maintaining pain reduction and improving function for at least 24 months after the end of treatment.</p>\",\"PeriodicalId\":19908,\"journal\":{\"name\":\"Pain and Therapy\",\"volume\":\" \",\"pages\":\"675-690\"},\"PeriodicalIF\":3.3000,\"publicationDate\":\"2025-04-01\",\"publicationTypes\":\"Journal Article\",\"fieldsOfStudy\":null,\"isOpenAccess\":false,\"openAccessPdf\":\"https://www.ncbi.nlm.nih.gov/pmc/articles/PMC11914421/pdf/\",\"citationCount\":\"0\",\"resultStr\":null,\"platform\":\"Semanticscholar\",\"paperid\":null,\"PeriodicalName\":\"Pain and Therapy\",\"FirstCategoryId\":\"3\",\"ListUrlMain\":\"https://doi.org/10.1007/s40122-024-00699-y\",\"RegionNum\":2,\"RegionCategory\":\"医学\",\"ArticlePicture\":[],\"TitleCN\":null,\"AbstractTextCN\":null,\"PMCID\":null,\"EPubDate\":\"2025/1/16 0:00:00\",\"PubModel\":\"Epub\",\"JCR\":\"Q1\",\"JCRName\":\"CLINICAL NEUROLOGY\",\"Score\":null,\"Total\":0}","platform":"Semanticscholar","paperid":null,"PeriodicalName":"Pain and Therapy","FirstCategoryId":"3","ListUrlMain":"https://doi.org/10.1007/s40122-024-00699-y","RegionNum":2,"RegionCategory":"医学","ArticlePicture":[],"TitleCN":null,"AbstractTextCN":null,"PMCID":null,"EPubDate":"2025/1/16 0:00:00","PubModel":"Epub","JCR":"Q1","JCRName":"CLINICAL NEUROLOGY","Score":null,"Total":0}
引用次数: 0

摘要

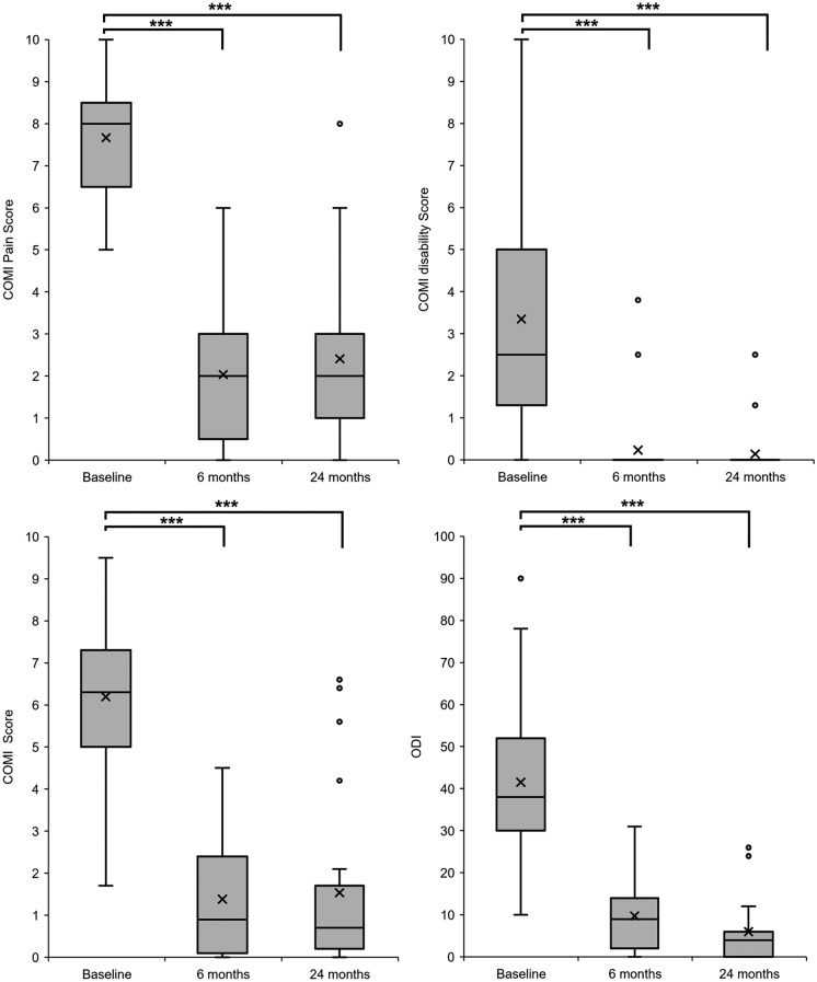
慢性背痛是一种与生活质量下降显著相关的长期疾病。在此之前,在6个月时证实了硬膜内和硬膜外注射富含生长因子(PRGF)的血浆的疗效。本研究的目的是回顾性检查这些患者的医疗记录,以确定在6个月的随访中观察到的改善是否持续。方法:采用有效问卷评估PRGF的疗效:核心结局测量指数(COMI)疼痛评分、COMI残疾评分、COMI总分和Oswestry残疾指数(ODI)。此外,还进行了评估以确定患者是否接受了额外的治疗。结果:结果表明,在中位随访24个月期间,入组的27例患者中有85.2%在所有量表中表现出持续的改善。与基线数据相比,24个月时进行的所有问卷调查结果具有统计学意义(p 0.05)。结论:这项回顾性研究的结果表明,使用PRGF治疗慢性背痛在治疗结束后至少24个月内有效地保持疼痛减轻和功能改善。
本文章由计算机程序翻译,如有差异,请以英文原文为准。

A Long-Term Retrospective Observational Clinical Study Evaluating the Efficacy of Plasma Rich in Growth Factors (PRGF) in the Treatment of Back Pain.

A Long-Term Retrospective Observational Clinical Study Evaluating the Efficacy of Plasma Rich in Growth Factors (PRGF) in the Treatment of Back Pain.

A Long-Term Retrospective Observational Clinical Study Evaluating the Efficacy of Plasma Rich in Growth Factors (PRGF) in the Treatment of Back Pain.

A Long-Term Retrospective Observational Clinical Study Evaluating the Efficacy of Plasma Rich in Growth Factors (PRGF) in the Treatment of Back Pain.

Introduction: Chronic back pain is a long-lasting disorder that is significantly associated with a reduction in the quality of life. Previously, the efficacy of intradiscal and epidural injections of plasma rich in growth factors (PRGF) was demonstrated at 6 months. The objective of this study was to retrospectively examine the medical records of these patients in order to determine whether the observed improvement at the 6-month follow-up was sustained over time.

Methods: PRGF efficacy was evaluated using validated questionnaires: Core Outcome Measure Index (COMI) Pain score, COMI Disability score, COMI total score, and Oswestry Disability Index (ODI). Furthermore, an evaluation was conducted to determine whether the patients had undergone additional treatments.

Results: the results demonstrated that 85.2% of the 27 patients who were enrolled exhibited sustained improvement across all scales over a median follow-up period of 24 months. The results of all questionnaires administered at 24 months exhibited statistically significant differences when compared to the baseline data (p < 0.01). Furthermore, there were no statistically significant differences between the results reported at 6 months and those at 24 months (p > 0.05).

Conclusions: the results of this retrospective study demonstrate that treatment of chronic back pain with PRGF was effective in maintaining pain reduction and improving function for at least 24 months after the end of treatment.

求助全文
通过发布文献求助,成功后即可免费获取论文全文。 去求助
来源期刊
Pain and Therapy
Pain and Therapy CLINICAL NEUROLOGY-
CiteScore
6.60
自引率
5.00%
发文量
110
审稿时长
6 weeks
期刊介绍: Pain and Therapy is an international, open access, peer-reviewed, rapid publication journal dedicated to the publication of high-quality clinical (all phases), observational, real-world, and health outcomes research around the discovery, development, and use of pain therapies and pain-related devices. Studies relating to diagnosis, pharmacoeconomics, public health, quality of life, and patient care, management, and education are also encouraged. Areas of focus include, but are not limited to, acute pain, cancer pain, chronic pain, headache and migraine, neuropathic pain, opioids, palliative care and pain ethics, peri- and post-operative pain as well as rheumatic pain and fibromyalgia. The journal is of interest to a broad audience of pharmaceutical and healthcare professionals and publishes original research, reviews, case reports, trial protocols, short communications such as commentaries and editorials, and letters. The journal is read by a global audience and receives submissions from around the world. Pain and Therapy will consider all scientifically sound research be it positive, confirmatory or negative data. Submissions are welcomed whether they relate to an international and/or a country-specific audience, something that is crucially important when researchers are trying to target more specific patient populations. This inclusive approach allows the journal to assist in the dissemination of all scientifically and ethically sound research.
×
引用
GB/T 7714-2015
复制
MLA
复制
APA
复制
导出至
BibTeX EndNote RefMan NoteFirst NoteExpress
×
提示
您的信息不完整,为了账户安全,请先补充。
现在去补充
×
提示
您因"违规操作"
具体请查看互助需知
我知道了
×
提示
确定
请完成安全验证×
copy
已复制链接
快去分享给好友吧!
我知道了
右上角分享
点击右上角分享
0
联系我们:info@booksci.cn Book学术提供免费学术资源搜索服务,方便国内外学者检索中英文文献。致力于提供最便捷和优质的服务体验。 Copyright © 2023 布克学术 All rights reserved.
京ICP备2023020795号-1
ghs 京公网安备 11010802042870号
Book学术文献互助
Book学术文献互助群
群 号:604180095
Book学术官方微信