ASCEND-D试验中达制片司他在腹膜透析患者中的有效性和安全性。

IF 5.6 2区 医学 Q1 TRANSPLANTATION
Indranil Dasgupta, Amy M Meadowcroft, Purav R Bhatt, Anjali Acharya, Michael Aarup, Ricardo Correa-Rotter, Shruti Gupta, Vijay K Kher, Osvaldo M Viera Neto, Anjay Rastogi, Mai Ots-Rosenberg, Brian Rayner, Muh Geot Wong, Sunay Shah, Lin Taft, Ajay K Singh
{"title":"ASCEND-D试验中达制片司他在腹膜透析患者中的有效性和安全性。","authors":"Indranil Dasgupta, Amy M Meadowcroft, Purav R Bhatt, Anjali Acharya, Michael Aarup, Ricardo Correa-Rotter, Shruti Gupta, Vijay K Kher, Osvaldo M Viera Neto, Anjay Rastogi, Mai Ots-Rosenberg, Brian Rayner, Muh Geot Wong, Sunay Shah, Lin Taft, Ajay K Singh","doi":"10.1093/ndt/gfae273","DOIUrl":null,"url":null,"abstract":"<p><strong>Background and hypothesis: </strong>Daprodustat, an oral hypoxia-inducible factor prolyl hydroxylase inhibitor, is approved for treatment of anemia in dialysis patients with CKD in some parts of the world. This subgroup analysis examined the efficacy and safety of daprodustat versus darbepoetin alfa in patients with anemia of CKD undergoing peritoneal dialysis (PD).</p><p><strong>Methods: </strong>ASCEND-D (NCT02879305) was an open-label, Phase 3 trial; patients with CKD were randomized to daprodustat daily and epoetin alfa (HD patients) or darbepoetin alfa (PD patients). In PD patients, prespecified analyses of the co-primary endpoints of mean change in hemoglobin from baseline to Weeks 28-52 using an ANOVA model and first occurrence of a major cardiovascular event (MACE) using a Cox proportional hazards model were conducted. The secondary endpoints were average monthly intravenous iron dose to Week 52 and treatment-emergent adverse events. Additional post hoc analyses were conducted.</p><p><strong>Results: </strong>Overall, 340 PD patients (daprodustat n = 171, darbepoetin alfa n = 169) were randomized. Mean age was 53.6 years (±14 SD), 55% male, 56% White. For daprodustat and darbepoetin alfa groups respectively, mean change in hemoglobin was 0.38 and 0.23 g/dL [adjusted mean difference 0.15, 95% confidence interval (CI), -0.04, 0.34], and first occurrence of adjudicated MACE occurred in 40 (23.4%) and 46 (27.2%) patients (HR 0.84; 95% CI, 0.55-1.28). No heterogeneity was observed between PD and HD patients for these endpoints in ASCEND-D. Serum hepcidin was lower with daprodustat; there was no difference in other iron parameters, intravenous iron usage, transfusion requirement, blood pressure, or quality of life. There were no differences in adverse events or incidence of peritonitis between the groups.</p><p><strong>Conclusions: </strong>This subgroup analysis of the ASCEND-D trial demonstrated comparable efficacy and safety of daprodustat versus darbepoetin alfa in PD patients, supporting its use in the treatment of anemia in these patients.</p>","PeriodicalId":19078,"journal":{"name":"Nephrology Dialysis Transplantation","volume":" ","pages":"1332-1341"},"PeriodicalIF":5.6000,"publicationDate":"2025-06-30","publicationTypes":"Journal Article","fieldsOfStudy":null,"isOpenAccess":false,"openAccessPdf":"https://www.ncbi.nlm.nih.gov/pmc/articles/PMC12207604/pdf/","citationCount":"0","resultStr":"{\"title\":\"Efficacy and safety of daprodustat in patients on peritoneal dialysis in the ASCEND-D trial.\",\"authors\":\"Indranil Dasgupta, Amy M Meadowcroft, Purav R Bhatt, Anjali Acharya, Michael Aarup, Ricardo Correa-Rotter, Shruti Gupta, Vijay K Kher, Osvaldo M Viera Neto, Anjay Rastogi, Mai Ots-Rosenberg, Brian Rayner, Muh Geot Wong, Sunay Shah, Lin Taft, Ajay K Singh\",\"doi\":\"10.1093/ndt/gfae273\",\"DOIUrl\":null,\"url\":null,\"abstract\":\"<p><strong>Background and hypothesis: </strong>Daprodustat, an oral hypoxia-inducible factor prolyl hydroxylase inhibitor, is approved for treatment of anemia in dialysis patients with CKD in some parts of the world. This subgroup analysis examined the efficacy and safety of daprodustat versus darbepoetin alfa in patients with anemia of CKD undergoing peritoneal dialysis (PD).</p><p><strong>Methods: </strong>ASCEND-D (NCT02879305) was an open-label, Phase 3 trial; patients with CKD were randomized to daprodustat daily and epoetin alfa (HD patients) or darbepoetin alfa (PD patients). In PD patients, prespecified analyses of the co-primary endpoints of mean change in hemoglobin from baseline to Weeks 28-52 using an ANOVA model and first occurrence of a major cardiovascular event (MACE) using a Cox proportional hazards model were conducted. The secondary endpoints were average monthly intravenous iron dose to Week 52 and treatment-emergent adverse events. Additional post hoc analyses were conducted.</p><p><strong>Results: </strong>Overall, 340 PD patients (daprodustat n = 171, darbepoetin alfa n = 169) were randomized. Mean age was 53.6 years (±14 SD), 55% male, 56% White. For daprodustat and darbepoetin alfa groups respectively, mean change in hemoglobin was 0.38 and 0.23 g/dL [adjusted mean difference 0.15, 95% confidence interval (CI), -0.04, 0.34], and first occurrence of adjudicated MACE occurred in 40 (23.4%) and 46 (27.2%) patients (HR 0.84; 95% CI, 0.55-1.28). No heterogeneity was observed between PD and HD patients for these endpoints in ASCEND-D. Serum hepcidin was lower with daprodustat; there was no difference in other iron parameters, intravenous iron usage, transfusion requirement, blood pressure, or quality of life. There were no differences in adverse events or incidence of peritonitis between the groups.</p><p><strong>Conclusions: </strong>This subgroup analysis of the ASCEND-D trial demonstrated comparable efficacy and safety of daprodustat versus darbepoetin alfa in PD patients, supporting its use in the treatment of anemia in these patients.</p>\",\"PeriodicalId\":19078,\"journal\":{\"name\":\"Nephrology Dialysis Transplantation\",\"volume\":\" \",\"pages\":\"1332-1341\"},\"PeriodicalIF\":5.6000,\"publicationDate\":\"2025-06-30\",\"publicationTypes\":\"Journal Article\",\"fieldsOfStudy\":null,\"isOpenAccess\":false,\"openAccessPdf\":\"https://www.ncbi.nlm.nih.gov/pmc/articles/PMC12207604/pdf/\",\"citationCount\":\"0\",\"resultStr\":null,\"platform\":\"Semanticscholar\",\"paperid\":null,\"PeriodicalName\":\"Nephrology Dialysis Transplantation\",\"FirstCategoryId\":\"3\",\"ListUrlMain\":\"https://doi.org/10.1093/ndt/gfae273\",\"RegionNum\":2,\"RegionCategory\":\"医学\",\"ArticlePicture\":[],\"TitleCN\":null,\"AbstractTextCN\":null,\"PMCID\":null,\"EPubDate\":\"\",\"PubModel\":\"\",\"JCR\":\"Q1\",\"JCRName\":\"TRANSPLANTATION\",\"Score\":null,\"Total\":0}","platform":"Semanticscholar","paperid":null,"PeriodicalName":"Nephrology Dialysis Transplantation","FirstCategoryId":"3","ListUrlMain":"https://doi.org/10.1093/ndt/gfae273","RegionNum":2,"RegionCategory":"医学","ArticlePicture":[],"TitleCN":null,"AbstractTextCN":null,"PMCID":null,"EPubDate":"","PubModel":"","JCR":"Q1","JCRName":"TRANSPLANTATION","Score":null,"Total":0}
引用次数: 0

摘要

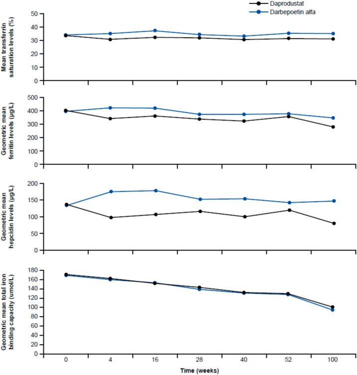
背景和假设:达普司他是一种口服缺氧诱导因子脯氨酰羟化酶抑制剂,在世界一些地区被批准用于治疗CKD透析患者的贫血。该亚组分析检验了达伐他汀与达贝泊汀在接受腹膜透析(PD)的CKD贫血患者中的疗效和安全性。方法:ASCEND-D (NCT02879305)是一项开放标签的3期临床试验;CKD患者每天随机服用达匹达司他和依培培汀(HD患者)或达培培汀(PD患者)。在PD患者中,使用ANOVA模型对血红蛋白从基线到第28-52周的平均变化进行了预先指定的分析,并使用Cox比例风险模型对首次发生主要心血管事件(MACE)进行了分析。次要终点是到第52周的平均每月静脉注射铁剂量和治疗后出现的不良事件。还进行了额外的事后分析。结果:总体而言,340名PD患者(达伐他汀n = 171,达伐他汀n = 169)被随机分组。平均年龄53.6岁(±14 SD),男性55%,白人56%。达伐他汀组和达贝泊汀组的血红蛋白平均变化分别为0.38和0.23 g/dL[校正后平均差为0.15,95%可信区间(CI), -0.04, 0.34], 40例(23.4%)和46例(27.2%)患者首次出现确诊的MACE (HR 0.84;95% ci, 0.55-1.28)。在ASCEND-D研究中,PD和HD患者在这些终点上没有发现异质性。daprodustat组血清hepcidin降低;其他铁参数、静脉铁用量、输血需求、血压或生活质量没有差异。两组之间的不良事件或腹膜炎发生率没有差异。结论:ASCEND-D试验的亚组分析显示,在PD患者中,达生产他特与达贝泊汀的疗效和安全性相当,支持其用于治疗这些患者的贫血。
本文章由计算机程序翻译,如有差异,请以英文原文为准。

Efficacy and safety of daprodustat in patients on peritoneal dialysis in the ASCEND-D trial.

Efficacy and safety of daprodustat in patients on peritoneal dialysis in the ASCEND-D trial.

Efficacy and safety of daprodustat in patients on peritoneal dialysis in the ASCEND-D trial.

Efficacy and safety of daprodustat in patients on peritoneal dialysis in the ASCEND-D trial.

Background and hypothesis: Daprodustat, an oral hypoxia-inducible factor prolyl hydroxylase inhibitor, is approved for treatment of anemia in dialysis patients with CKD in some parts of the world. This subgroup analysis examined the efficacy and safety of daprodustat versus darbepoetin alfa in patients with anemia of CKD undergoing peritoneal dialysis (PD).

Methods: ASCEND-D (NCT02879305) was an open-label, Phase 3 trial; patients with CKD were randomized to daprodustat daily and epoetin alfa (HD patients) or darbepoetin alfa (PD patients). In PD patients, prespecified analyses of the co-primary endpoints of mean change in hemoglobin from baseline to Weeks 28-52 using an ANOVA model and first occurrence of a major cardiovascular event (MACE) using a Cox proportional hazards model were conducted. The secondary endpoints were average monthly intravenous iron dose to Week 52 and treatment-emergent adverse events. Additional post hoc analyses were conducted.

Results: Overall, 340 PD patients (daprodustat n = 171, darbepoetin alfa n = 169) were randomized. Mean age was 53.6 years (±14 SD), 55% male, 56% White. For daprodustat and darbepoetin alfa groups respectively, mean change in hemoglobin was 0.38 and 0.23 g/dL [adjusted mean difference 0.15, 95% confidence interval (CI), -0.04, 0.34], and first occurrence of adjudicated MACE occurred in 40 (23.4%) and 46 (27.2%) patients (HR 0.84; 95% CI, 0.55-1.28). No heterogeneity was observed between PD and HD patients for these endpoints in ASCEND-D. Serum hepcidin was lower with daprodustat; there was no difference in other iron parameters, intravenous iron usage, transfusion requirement, blood pressure, or quality of life. There were no differences in adverse events or incidence of peritonitis between the groups.

Conclusions: This subgroup analysis of the ASCEND-D trial demonstrated comparable efficacy and safety of daprodustat versus darbepoetin alfa in PD patients, supporting its use in the treatment of anemia in these patients.

求助全文
通过发布文献求助,成功后即可免费获取论文全文。 去求助
来源期刊
Nephrology Dialysis Transplantation
Nephrology Dialysis Transplantation 医学-泌尿学与肾脏学
CiteScore
10.10
自引率
4.90%
发文量
1431
审稿时长
1.7 months
期刊介绍: Nephrology Dialysis Transplantation (ndt) is the leading nephrology journal in Europe and renowned worldwide, devoted to original clinical and laboratory research in nephrology, dialysis and transplantation. ndt is an official journal of the [ERA-EDTA](http://www.era-edta.org/) (European Renal Association-European Dialysis and Transplant Association). Published monthly, the journal provides an essential resource for researchers and clinicians throughout the world. All research articles in this journal have undergone peer review. Print ISSN: 0931-0509.
×
引用
GB/T 7714-2015
复制
MLA
复制
APA
复制
导出至
BibTeX EndNote RefMan NoteFirst NoteExpress
×
提示
您的信息不完整,为了账户安全,请先补充。
现在去补充
×
提示
您因"违规操作"
具体请查看互助需知
我知道了
×
提示
确定
请完成安全验证×
copy
已复制链接
快去分享给好友吧!
我知道了
右上角分享
点击右上角分享
0
联系我们:info@booksci.cn Book学术提供免费学术资源搜索服务,方便国内外学者检索中英文文献。致力于提供最便捷和优质的服务体验。 Copyright © 2023 布克学术 All rights reserved.
京ICP备2023020795号-1
ghs 京公网安备 11010802042870号
Book学术文献互助
Book学术文献互助群
群 号:604180095
Book学术官方微信