基于混合现实的5G网络远程监督超声教育平台与直接监督的比较:前瞻性随机试点试验。

IF 4.1 2区 医学 Q1 HEALTH CARE SCIENCES & SERVICES
JMIR Serious Games Pub Date : 2025-01-16 DOI:10.2196/63448
Minha Kim, Meong Hi Son, Suhyeon Moon, Won Chul Cha, Ik Joon Jo, Hee Yoon
{"title":"基于混合现实的5G网络远程监督超声教育平台与直接监督的比较:前瞻性随机试点试验。","authors":"Minha Kim, Meong Hi Son, Suhyeon Moon, Won Chul Cha, Ik Joon Jo, Hee Yoon","doi":"10.2196/63448","DOIUrl":null,"url":null,"abstract":"<p><strong>Background: </strong>Ultrasound education is transitioning from in-person training to remote methods using mixed reality (MR) and 5G networks. Previous studies are mainly experimental, lacking randomized controlled trials in direct training scenarios.</p><p><strong>Objective: </strong>This study aimed to compare an MR-based telesupervised ultrasound education platform on private 5G networks with traditional in-person training for novice doctors.</p><p><strong>Methods: </strong>Conducted at a tertiary academic hospital from November to December 2023, the prospective unblinded randomized controlled pilot study assigned doctors without prior abdominal ultrasound education experience to either the telesupervision group (TG; n=20) or direct supervision group (DG; n=20). Participants received a 15-minute video lecture, conducted ultrasound on a phantom, and had 18 images scored by 2 blinded experts. Additionally, the TG received 5 minutes of training on the basic operation of a head-mounted display. Communication between doctors in the TG and supervisors was facilitated through a head-mounted display, whereas those in the DG interacted directly with supervisors. Primary outcomes were image quality scores, while secondary outcomes included procedure time, number of supervisor interventions, user experience using National Aeronautics and Space Administration-Task Load Index (NASA-TLX), System Usability Scale (SUS), and self-confidence through pre- and postsurveys.</p><p><strong>Results: </strong>Image quality scores and procedure times showed no significant differences between the groups (TG: 66.8 [SD 10.3] vs DG: 66.8 [SD 10.4], P=.84; TG: 23.8 [SD 8.0] min vs DG: 24.0 [SD 8.1] min, P=.95, respectively). However, the TG engaged in more educational interventions (TG: 4.0 [SD 2.5] vs DG: 0.8 [SD 1.1], P<.001), reflecting a more interactive training environment. TG participants reported lower NASA-TLX scores for mental demand (43.8 [SD 24.8] vs 60.6 [SD 22.4], P=.03), effort (43.1 [SD 22.9] vs 67.9 [SD 17], P<.001), and frustration (26.9 [SD 20.3] vs 45.2 [SD 27.8], P=.02), indicating a reduced cognitive load compared to the DG. The mean SUS score was also higher in the TG (66.6 [SD 9.1] vs 60.2 [SD 10.4], P=.046), suggesting better usability. Both groups showed significant improvements in confidence, with the TG showing notably greater improvement in abdominal ultrasound proficiency (pre-education TG: 1.6 [SD 0.9] vs DG: 1.7 [SD 0.9], P=.73; post-education TG: 3.8 [SD 0.9] vs DG: 2.8 [SD 1.0], P=.006).</p><p><strong>Conclusions: </strong>Although no significant differences in image quality scores were observed between groups, considerable differences in positive educational interactions, workload, and usability were evident. These findings emphasize the platform's potential to enhance the ultrasound training experience, suggesting more interactive and efficient learning.</p>","PeriodicalId":14795,"journal":{"name":"JMIR Serious Games","volume":"13 ","pages":"e63448"},"PeriodicalIF":4.1000,"publicationDate":"2025-01-16","publicationTypes":"Journal Article","fieldsOfStudy":null,"isOpenAccess":false,"openAccessPdf":"https://www.ncbi.nlm.nih.gov/pmc/articles/PMC11788937/pdf/","citationCount":"0","resultStr":"{\"title\":\"A Mixed Reality-Based Telesupervised Ultrasound Education Platform on 5G Network Compared to Direct Supervision: Prospective Randomized Pilot Trial.\",\"authors\":\"Minha Kim, Meong Hi Son, Suhyeon Moon, Won Chul Cha, Ik Joon Jo, Hee Yoon\",\"doi\":\"10.2196/63448\",\"DOIUrl\":null,\"url\":null,\"abstract\":\"<p><strong>Background: </strong>Ultrasound education is transitioning from in-person training to remote methods using mixed reality (MR) and 5G networks. Previous studies are mainly experimental, lacking randomized controlled trials in direct training scenarios.</p><p><strong>Objective: </strong>This study aimed to compare an MR-based telesupervised ultrasound education platform on private 5G networks with traditional in-person training for novice doctors.</p><p><strong>Methods: </strong>Conducted at a tertiary academic hospital from November to December 2023, the prospective unblinded randomized controlled pilot study assigned doctors without prior abdominal ultrasound education experience to either the telesupervision group (TG; n=20) or direct supervision group (DG; n=20). Participants received a 15-minute video lecture, conducted ultrasound on a phantom, and had 18 images scored by 2 blinded experts. Additionally, the TG received 5 minutes of training on the basic operation of a head-mounted display. Communication between doctors in the TG and supervisors was facilitated through a head-mounted display, whereas those in the DG interacted directly with supervisors. Primary outcomes were image quality scores, while secondary outcomes included procedure time, number of supervisor interventions, user experience using National Aeronautics and Space Administration-Task Load Index (NASA-TLX), System Usability Scale (SUS), and self-confidence through pre- and postsurveys.</p><p><strong>Results: </strong>Image quality scores and procedure times showed no significant differences between the groups (TG: 66.8 [SD 10.3] vs DG: 66.8 [SD 10.4], P=.84; TG: 23.8 [SD 8.0] min vs DG: 24.0 [SD 8.1] min, P=.95, respectively). However, the TG engaged in more educational interventions (TG: 4.0 [SD 2.5] vs DG: 0.8 [SD 1.1], P<.001), reflecting a more interactive training environment. TG participants reported lower NASA-TLX scores for mental demand (43.8 [SD 24.8] vs 60.6 [SD 22.4], P=.03), effort (43.1 [SD 22.9] vs 67.9 [SD 17], P<.001), and frustration (26.9 [SD 20.3] vs 45.2 [SD 27.8], P=.02), indicating a reduced cognitive load compared to the DG. The mean SUS score was also higher in the TG (66.6 [SD 9.1] vs 60.2 [SD 10.4], P=.046), suggesting better usability. Both groups showed significant improvements in confidence, with the TG showing notably greater improvement in abdominal ultrasound proficiency (pre-education TG: 1.6 [SD 0.9] vs DG: 1.7 [SD 0.9], P=.73; post-education TG: 3.8 [SD 0.9] vs DG: 2.8 [SD 1.0], P=.006).</p><p><strong>Conclusions: </strong>Although no significant differences in image quality scores were observed between groups, considerable differences in positive educational interactions, workload, and usability were evident. These findings emphasize the platform's potential to enhance the ultrasound training experience, suggesting more interactive and efficient learning.</p>\",\"PeriodicalId\":14795,\"journal\":{\"name\":\"JMIR Serious Games\",\"volume\":\"13 \",\"pages\":\"e63448\"},\"PeriodicalIF\":4.1000,\"publicationDate\":\"2025-01-16\",\"publicationTypes\":\"Journal Article\",\"fieldsOfStudy\":null,\"isOpenAccess\":false,\"openAccessPdf\":\"https://www.ncbi.nlm.nih.gov/pmc/articles/PMC11788937/pdf/\",\"citationCount\":\"0\",\"resultStr\":null,\"platform\":\"Semanticscholar\",\"paperid\":null,\"PeriodicalName\":\"JMIR Serious Games\",\"FirstCategoryId\":\"3\",\"ListUrlMain\":\"https://doi.org/10.2196/63448\",\"RegionNum\":2,\"RegionCategory\":\"医学\",\"ArticlePicture\":[],\"TitleCN\":null,\"AbstractTextCN\":null,\"PMCID\":null,\"EPubDate\":\"\",\"PubModel\":\"\",\"JCR\":\"Q1\",\"JCRName\":\"HEALTH CARE SCIENCES & SERVICES\",\"Score\":null,\"Total\":0}","platform":"Semanticscholar","paperid":null,"PeriodicalName":"JMIR Serious Games","FirstCategoryId":"3","ListUrlMain":"https://doi.org/10.2196/63448","RegionNum":2,"RegionCategory":"医学","ArticlePicture":[],"TitleCN":null,"AbstractTextCN":null,"PMCID":null,"EPubDate":"","PubModel":"","JCR":"Q1","JCRName":"HEALTH CARE SCIENCES & SERVICES","Score":null,"Total":0}
引用次数: 0

摘要

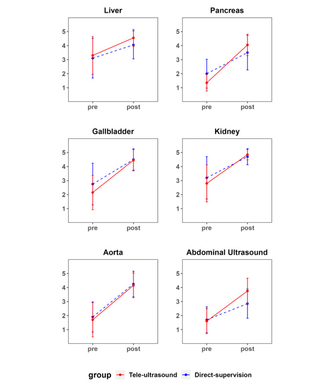
背景:超声教育正在从现场培训过渡到使用混合现实(MR)和5G网络的远程方法。以往的研究以实验为主,缺乏直接训练场景下的随机对照试验。目的:比较基于专用5G网络的核磁共振远程监督超声教育平台与传统的现场培训新医生。方法:该前瞻性非盲随机对照试验于2023年11月至12月在某三级专科医院进行,将无腹部超声教育经验的医生分为远程监护组(TG;n=20)或直接监督组(DG;n = 20)。参与者接受15分钟的视频讲座,对一个幻影进行超声检查,并由2名盲法专家对18幅图像进行评分。此外,TG接受了5分钟关于头戴式显示器基本操作的培训。TG的医生通过头戴式显示器与主管沟通,而DG的医生则直接与主管互动。主要结果是图像质量得分,次要结果包括程序时间,主管干预次数,使用美国国家航空航天局任务负荷指数(NASA-TLX)的用户体验,系统可用性量表(SUS),以及通过前后调查的自信心。结果:图像质量评分和手术时间组间差异无统计学意义(TG: 66.8 [SD 10.3] vs DG: 66.8 [SD 10.4], P= 0.84;TG: 23.8 [SD 8.0] min vs DG: 24.0 [SD 8.1] min, P=。95年,分别)。然而,TG参与了更多的教育干预(TG: 4.0 [SD 2.5] vs DG: 0.8 [SD 1.1])。结论:尽管两组之间在图像质量得分上没有显著差异,但在积极的教育互动、工作量和可用性方面存在明显差异。这些发现强调了该平台在增强超声训练体验方面的潜力,表明学习更具互动性和效率。
本文章由计算机程序翻译,如有差异,请以英文原文为准。

A Mixed Reality-Based Telesupervised Ultrasound Education Platform on 5G Network Compared to Direct Supervision: Prospective Randomized Pilot Trial.

A Mixed Reality-Based Telesupervised Ultrasound Education Platform on 5G Network Compared to Direct Supervision: Prospective Randomized Pilot Trial.

A Mixed Reality-Based Telesupervised Ultrasound Education Platform on 5G Network Compared to Direct Supervision: Prospective Randomized Pilot Trial.

A Mixed Reality-Based Telesupervised Ultrasound Education Platform on 5G Network Compared to Direct Supervision: Prospective Randomized Pilot Trial.

Background: Ultrasound education is transitioning from in-person training to remote methods using mixed reality (MR) and 5G networks. Previous studies are mainly experimental, lacking randomized controlled trials in direct training scenarios.

Objective: This study aimed to compare an MR-based telesupervised ultrasound education platform on private 5G networks with traditional in-person training for novice doctors.

Methods: Conducted at a tertiary academic hospital from November to December 2023, the prospective unblinded randomized controlled pilot study assigned doctors without prior abdominal ultrasound education experience to either the telesupervision group (TG; n=20) or direct supervision group (DG; n=20). Participants received a 15-minute video lecture, conducted ultrasound on a phantom, and had 18 images scored by 2 blinded experts. Additionally, the TG received 5 minutes of training on the basic operation of a head-mounted display. Communication between doctors in the TG and supervisors was facilitated through a head-mounted display, whereas those in the DG interacted directly with supervisors. Primary outcomes were image quality scores, while secondary outcomes included procedure time, number of supervisor interventions, user experience using National Aeronautics and Space Administration-Task Load Index (NASA-TLX), System Usability Scale (SUS), and self-confidence through pre- and postsurveys.

Results: Image quality scores and procedure times showed no significant differences between the groups (TG: 66.8 [SD 10.3] vs DG: 66.8 [SD 10.4], P=.84; TG: 23.8 [SD 8.0] min vs DG: 24.0 [SD 8.1] min, P=.95, respectively). However, the TG engaged in more educational interventions (TG: 4.0 [SD 2.5] vs DG: 0.8 [SD 1.1], P<.001), reflecting a more interactive training environment. TG participants reported lower NASA-TLX scores for mental demand (43.8 [SD 24.8] vs 60.6 [SD 22.4], P=.03), effort (43.1 [SD 22.9] vs 67.9 [SD 17], P<.001), and frustration (26.9 [SD 20.3] vs 45.2 [SD 27.8], P=.02), indicating a reduced cognitive load compared to the DG. The mean SUS score was also higher in the TG (66.6 [SD 9.1] vs 60.2 [SD 10.4], P=.046), suggesting better usability. Both groups showed significant improvements in confidence, with the TG showing notably greater improvement in abdominal ultrasound proficiency (pre-education TG: 1.6 [SD 0.9] vs DG: 1.7 [SD 0.9], P=.73; post-education TG: 3.8 [SD 0.9] vs DG: 2.8 [SD 1.0], P=.006).

Conclusions: Although no significant differences in image quality scores were observed between groups, considerable differences in positive educational interactions, workload, and usability were evident. These findings emphasize the platform's potential to enhance the ultrasound training experience, suggesting more interactive and efficient learning.

求助全文
通过发布文献求助,成功后即可免费获取论文全文。 去求助
来源期刊
JMIR Serious Games
JMIR Serious Games Medicine-Rehabilitation
CiteScore
7.30
自引率
10.00%
发文量
91
审稿时长
12 weeks
期刊介绍: JMIR Serious Games (JSG, ISSN 2291-9279) is a sister journal of the Journal of Medical Internet Research (JMIR), one of the most cited journals in health informatics (Impact Factor 2016: 5.175). JSG has a projected impact factor (2016) of 3.32. JSG is a multidisciplinary journal devoted to computer/web/mobile applications that incorporate elements of gaming to solve serious problems such as health education/promotion, teaching and education, or social change.The journal also considers commentary and research in the fields of video games violence and video games addiction.
×
引用
GB/T 7714-2015
复制
MLA
复制
APA
复制
导出至
BibTeX EndNote RefMan NoteFirst NoteExpress
×
提示
您的信息不完整,为了账户安全,请先补充。
现在去补充
×
提示
您因"违规操作"
具体请查看互助需知
我知道了
×
提示
确定
请完成安全验证×
copy
已复制链接
快去分享给好友吧!
我知道了
右上角分享
点击右上角分享
0
联系我们:info@booksci.cn Book学术提供免费学术资源搜索服务,方便国内外学者检索中英文文献。致力于提供最便捷和优质的服务体验。 Copyright © 2023 布克学术 All rights reserved.
京ICP备2023020795号-1
ghs 京公网安备 11010802042870号
Book学术文献互助
Book学术文献互助群
群 号:604180095
Book学术官方微信