中国成年人的区域脂肪分布和代谢不健康表型:来自中国国民健康调查的证据

IF 2.5 3区 医学 Q1 PUBLIC, ENVIRONMENTAL & OCCUPATIONAL HEALTH
Binbin Lin, Yaoda Hu, Huijing He, Xingming Chen, Qiong Ou, Yawen Liu, Tan Xu, Ji Tu, Ang Li, Qihang Liu, Tianshu Xi, Zhiming Lu, Weihao Wang, Haibo Huang, Da Xu, Zhili Chen, Zichao Wang, Guangliang Shan
{"title":"中国成年人的区域脂肪分布和代谢不健康表型:来自中国国民健康调查的证据","authors":"Binbin Lin, Yaoda Hu, Huijing He, Xingming Chen, Qiong Ou, Yawen Liu, Tan Xu, Ji Tu, Ang Li, Qihang Liu, Tianshu Xi, Zhiming Lu, Weihao Wang, Haibo Huang, Da Xu, Zhili Chen, Zichao Wang, Guangliang Shan","doi":"10.1265/ehpm.24-00154","DOIUrl":null,"url":null,"abstract":"<p><strong>Background: </strong>The mechanisms distinguishing metabolically healthy from unhealthy phenotypes within the same BMI categories remain unclear. This study aimed to investigate the associations between regional fat distribution and metabolically unhealthy phenotypes in Chinese adults across different BMI categories.</p><p><strong>Methods: </strong>This cross-sectional study involving 11833 Chinese adults aged 20 years and older. Covariance analysis, adjusted for age, compared the percentage of regional fat (trunk, leg, or arm fat divided by whole-body fat) between metabolically healthy and unhealthy participants. Trends in regional fat percentage with the number of metabolic abnormalities were assessed by the Jonckheere-Terpstra test. Odds ratios (ORs) and their 95% confidence intervals (CIs) were estimated by logistic regression models. All analyses were performed separately by sex.</p><p><strong>Results: </strong>In non-obese individuals, metabolically unhealthy participants exhibited higher percent trunk fat and lower percent leg fat compared to healthy participants. Additionally, percent trunk fat increased and percent leg fat decreased with the number of metabolic abnormalities. After adjustment for demographic and lifestyle factors, as well as BMI, higher percent trunk fat was associated with increased odds of being metabolically unhealthy [highest vs. lowest quartile: ORs (95%CI) of 1.64 (1.35, 2.00) for men and 2.00 (1.63, 2.46) for women]. Conversely, compared with the lowest quartile, the ORs (95%CI) of metabolically unhealthy phenotype in the highest quartile for percent arm and leg fat were 0.64 (0.53, 0.78) and 0.60 (0.49, 0.74) for men, and 0.72 (0.56, 0.93) and 0.46 (0.36, 0.59) for women, respectively. Significant interactions between BMI and percentage of trunk and leg fat were observed in both sexes, with stronger associations found in individuals with normal weight and overweight.</p><p><strong>Conclusions: </strong>Trunk fat is associated with a higher risk of metabolically unhealthy phenotype, while leg and arm fat are protective factors. Regional fat distribution assessments are crucial for identifying metabolically unhealthy phenotypes, particularly in non-obese individuals.</p>","PeriodicalId":11707,"journal":{"name":"Environmental Health and Preventive Medicine","volume":"30 ","pages":"5"},"PeriodicalIF":2.5000,"publicationDate":"2025-01-01","publicationTypes":"Journal Article","fieldsOfStudy":null,"isOpenAccess":false,"openAccessPdf":"https://www.ncbi.nlm.nih.gov/pmc/articles/PMC11744028/pdf/","citationCount":"0","resultStr":"{\"title\":\"Regional adipose distribution and metabolically unhealthy phenotype in Chinese adults: evidence from China National Health Survey.\",\"authors\":\"Binbin Lin, Yaoda Hu, Huijing He, Xingming Chen, Qiong Ou, Yawen Liu, Tan Xu, Ji Tu, Ang Li, Qihang Liu, Tianshu Xi, Zhiming Lu, Weihao Wang, Haibo Huang, Da Xu, Zhili Chen, Zichao Wang, Guangliang Shan\",\"doi\":\"10.1265/ehpm.24-00154\",\"DOIUrl\":null,\"url\":null,\"abstract\":\"<p><strong>Background: </strong>The mechanisms distinguishing metabolically healthy from unhealthy phenotypes within the same BMI categories remain unclear. This study aimed to investigate the associations between regional fat distribution and metabolically unhealthy phenotypes in Chinese adults across different BMI categories.</p><p><strong>Methods: </strong>This cross-sectional study involving 11833 Chinese adults aged 20 years and older. Covariance analysis, adjusted for age, compared the percentage of regional fat (trunk, leg, or arm fat divided by whole-body fat) between metabolically healthy and unhealthy participants. Trends in regional fat percentage with the number of metabolic abnormalities were assessed by the Jonckheere-Terpstra test. Odds ratios (ORs) and their 95% confidence intervals (CIs) were estimated by logistic regression models. All analyses were performed separately by sex.</p><p><strong>Results: </strong>In non-obese individuals, metabolically unhealthy participants exhibited higher percent trunk fat and lower percent leg fat compared to healthy participants. Additionally, percent trunk fat increased and percent leg fat decreased with the number of metabolic abnormalities. After adjustment for demographic and lifestyle factors, as well as BMI, higher percent trunk fat was associated with increased odds of being metabolically unhealthy [highest vs. lowest quartile: ORs (95%CI) of 1.64 (1.35, 2.00) for men and 2.00 (1.63, 2.46) for women]. Conversely, compared with the lowest quartile, the ORs (95%CI) of metabolically unhealthy phenotype in the highest quartile for percent arm and leg fat were 0.64 (0.53, 0.78) and 0.60 (0.49, 0.74) for men, and 0.72 (0.56, 0.93) and 0.46 (0.36, 0.59) for women, respectively. Significant interactions between BMI and percentage of trunk and leg fat were observed in both sexes, with stronger associations found in individuals with normal weight and overweight.</p><p><strong>Conclusions: </strong>Trunk fat is associated with a higher risk of metabolically unhealthy phenotype, while leg and arm fat are protective factors. Regional fat distribution assessments are crucial for identifying metabolically unhealthy phenotypes, particularly in non-obese individuals.</p>\",\"PeriodicalId\":11707,\"journal\":{\"name\":\"Environmental Health and Preventive Medicine\",\"volume\":\"30 \",\"pages\":\"5\"},\"PeriodicalIF\":2.5000,\"publicationDate\":\"2025-01-01\",\"publicationTypes\":\"Journal Article\",\"fieldsOfStudy\":null,\"isOpenAccess\":false,\"openAccessPdf\":\"https://www.ncbi.nlm.nih.gov/pmc/articles/PMC11744028/pdf/\",\"citationCount\":\"0\",\"resultStr\":null,\"platform\":\"Semanticscholar\",\"paperid\":null,\"PeriodicalName\":\"Environmental Health and Preventive Medicine\",\"FirstCategoryId\":\"3\",\"ListUrlMain\":\"https://doi.org/10.1265/ehpm.24-00154\",\"RegionNum\":3,\"RegionCategory\":\"医学\",\"ArticlePicture\":[],\"TitleCN\":null,\"AbstractTextCN\":null,\"PMCID\":null,\"EPubDate\":\"\",\"PubModel\":\"\",\"JCR\":\"Q1\",\"JCRName\":\"PUBLIC, ENVIRONMENTAL & OCCUPATIONAL HEALTH\",\"Score\":null,\"Total\":0}","platform":"Semanticscholar","paperid":null,"PeriodicalName":"Environmental Health and Preventive Medicine","FirstCategoryId":"3","ListUrlMain":"https://doi.org/10.1265/ehpm.24-00154","RegionNum":3,"RegionCategory":"医学","ArticlePicture":[],"TitleCN":null,"AbstractTextCN":null,"PMCID":null,"EPubDate":"","PubModel":"","JCR":"Q1","JCRName":"PUBLIC, ENVIRONMENTAL & OCCUPATIONAL HEALTH","Score":null,"Total":0}
引用次数: 0

摘要

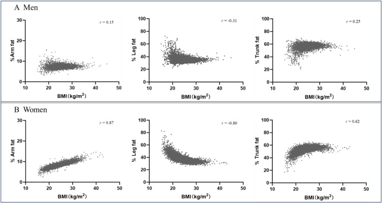
背景:在相同的BMI类别中区分代谢健康表型和不健康表型的机制尚不清楚。本研究旨在探讨不同BMI类别的中国成年人区域脂肪分布与代谢不健康表型之间的关系。方法:对11833名年龄在20岁及以上的中国成年人进行横断面研究。经年龄调整后的协方差分析比较了代谢健康和不健康参与者的区域脂肪(躯干、腿部或手臂脂肪除以全身脂肪)的百分比。通过Jonckheere-Terpstra试验评估区域脂肪百分比随代谢异常数量的变化趋势。比值比(ORs)及其95%置信区间(ci)采用logistic回归模型估计。所有分析均按性别分别进行。结果:在非肥胖个体中,与健康参与者相比,代谢不健康的参与者表现出更高的躯干脂肪百分比和更低的腿部脂肪百分比。此外,随着代谢异常的数量增加,躯干脂肪百分比增加,腿部脂肪百分比减少。在调整了人口统计学和生活方式因素以及BMI后,较高的躯干脂肪百分比与代谢不健康的几率增加相关[最高与最低四分位数:or (95%CI)分别为男性1.64(1.35,2.00)和女性2.00(1.63,2.46)]。相反,与最低四分位数相比,在最高四分位数中,手臂和腿部脂肪百分比代谢不健康表型的or (95%CI)在男性中分别为0.64(0.53,0.78)和0.60(0.49,0.74),在女性中分别为0.72(0.56,0.93)和0.46(0.36,0.59)。BMI与躯干和腿部脂肪百分比之间存在显著的相互作用,在正常体重和超重的个体中发现了更强的关联。结论:躯干脂肪与代谢不健康表型的高风险相关,而腿部和手臂脂肪是保护因素。区域脂肪分布评估对于识别代谢不健康表型至关重要,特别是在非肥胖个体中。
本文章由计算机程序翻译,如有差异,请以英文原文为准。

Regional adipose distribution and metabolically unhealthy phenotype in Chinese adults: evidence from China National Health Survey.

Regional adipose distribution and metabolically unhealthy phenotype in Chinese adults: evidence from China National Health Survey.

Regional adipose distribution and metabolically unhealthy phenotype in Chinese adults: evidence from China National Health Survey.

Background: The mechanisms distinguishing metabolically healthy from unhealthy phenotypes within the same BMI categories remain unclear. This study aimed to investigate the associations between regional fat distribution and metabolically unhealthy phenotypes in Chinese adults across different BMI categories.

Methods: This cross-sectional study involving 11833 Chinese adults aged 20 years and older. Covariance analysis, adjusted for age, compared the percentage of regional fat (trunk, leg, or arm fat divided by whole-body fat) between metabolically healthy and unhealthy participants. Trends in regional fat percentage with the number of metabolic abnormalities were assessed by the Jonckheere-Terpstra test. Odds ratios (ORs) and their 95% confidence intervals (CIs) were estimated by logistic regression models. All analyses were performed separately by sex.

Results: In non-obese individuals, metabolically unhealthy participants exhibited higher percent trunk fat and lower percent leg fat compared to healthy participants. Additionally, percent trunk fat increased and percent leg fat decreased with the number of metabolic abnormalities. After adjustment for demographic and lifestyle factors, as well as BMI, higher percent trunk fat was associated with increased odds of being metabolically unhealthy [highest vs. lowest quartile: ORs (95%CI) of 1.64 (1.35, 2.00) for men and 2.00 (1.63, 2.46) for women]. Conversely, compared with the lowest quartile, the ORs (95%CI) of metabolically unhealthy phenotype in the highest quartile for percent arm and leg fat were 0.64 (0.53, 0.78) and 0.60 (0.49, 0.74) for men, and 0.72 (0.56, 0.93) and 0.46 (0.36, 0.59) for women, respectively. Significant interactions between BMI and percentage of trunk and leg fat were observed in both sexes, with stronger associations found in individuals with normal weight and overweight.

Conclusions: Trunk fat is associated with a higher risk of metabolically unhealthy phenotype, while leg and arm fat are protective factors. Regional fat distribution assessments are crucial for identifying metabolically unhealthy phenotypes, particularly in non-obese individuals.

求助全文
通过发布文献求助,成功后即可免费获取论文全文。 去求助
来源期刊
Environmental Health and Preventive Medicine
Environmental Health and Preventive Medicine PUBLIC, ENVIRONMENTAL & OCCUPATIONAL HEALTH -
CiteScore
7.90
自引率
2.10%
发文量
44
审稿时长
10 weeks
期刊介绍: The official journal of the Japanese Society for Hygiene, Environmental Health and Preventive Medicine (EHPM) brings a comprehensive approach to prevention and environmental health related to medical, biological, molecular biological, genetic, physical, psychosocial, chemical, and other environmental factors. Environmental Health and Preventive Medicine features definitive studies on human health sciences and provides comprehensive and unique information to a worldwide readership.
×
引用
GB/T 7714-2015
复制
MLA
复制
APA
复制
导出至
BibTeX EndNote RefMan NoteFirst NoteExpress
×
提示
您的信息不完整,为了账户安全,请先补充。
现在去补充
×
提示
您因"违规操作"
具体请查看互助需知
我知道了
×
提示
确定
请完成安全验证×
copy
已复制链接
快去分享给好友吧!
我知道了
右上角分享
点击右上角分享
0
联系我们:info@booksci.cn Book学术提供免费学术资源搜索服务,方便国内外学者检索中英文文献。致力于提供最便捷和优质的服务体验。 Copyright © 2023 布克学术 All rights reserved.
京ICP备2023020795号-1
ghs 京公网安备 11010802042870号
Book学术文献互助
Book学术文献互助群
群 号:604180095
Book学术官方微信