比较新生儿呼吸窘迫恢复前后的组织多普勒左心室心肌功能指数:一项前瞻性观察研究。

IF 0.7 Q4 CARDIAC & CARDIOVASCULAR SYSTEMS
Annals of Pediatric Cardiology Pub Date : 2024-09-01 Epub Date: 2024-12-24 DOI:10.4103/apc.apc_167_24
Nikita Panigrahi, Harohalli A Venkatesh, Manas Ranjan Mishra, Rajath Pejaver, Karthik N Nagesh
{"title":"比较新生儿呼吸窘迫恢复前后的组织多普勒左心室心肌功能指数:一项前瞻性观察研究。","authors":"Nikita Panigrahi, Harohalli A Venkatesh, Manas Ranjan Mishra, Rajath Pejaver, Karthik N Nagesh","doi":"10.4103/apc.apc_167_24","DOIUrl":null,"url":null,"abstract":"<p><strong>Background and objective: </strong>Respiratory distress is the most common cause requiring neonatal intensive care unit admission. As respiratory and cardiac functions are closely interrelated, some cardiac dysfunction is expected in respiratory distress. The myocardial performance index (MPI) is an index to assess global myocardial function, easily measurable by bedside echocardiography and reliable. Here, we conducted this study to determine the change in cardiac function in neonates with respiratory distress before initiating respiratory support and after weaning from the support.</p><p><strong>Methodology: </strong>The study was carried out in 92 neonates with a gestational age of more than 32 weeks who required invasive or noninvasive respiratory support. The tissue Doppler left ventricular MPI (LV MPI) was calculated before the initiation of respiratory support and after weaning from respiratory support. The data were analyzed using a paired <i>t</i>-test and a Wilcoxon signed-rank test.</p><p><strong>Results: </strong>This study comprised 92 neonates with a median (interquartile range) LV MPI value of 0.56 (0.10) before initiation of respiratory support and 0.47 (0.04) after weaning from respiratory support with <i>P</i> < 0.001. The isovolumetric contraction time, isovolumetric relaxation time, and ejection time increased after weaning from respiratory support (all <i>P</i> < 0.0001). The severity of respiratory distress determined by invasive mode of ventilation and longer duration of respiratory support caused higher initial LV MPI before initiation of respiratory support compared with recovery and <i>P</i> < 0.001, suggesting subclinical ventricular dysfunction with respiratory distress in neonates.</p><p><strong>Conclusion: </strong>LV MPI was higher in neonates with respiratory distress and normalized after weaning from respiratory support, which indicates that neonates requiring respiratory support may have subclinical ventricular dysfunction and should be followed up carefully.</p>","PeriodicalId":8026,"journal":{"name":"Annals of Pediatric Cardiology","volume":"17 5","pages":"331-338"},"PeriodicalIF":0.7000,"publicationDate":"2024-09-01","publicationTypes":"Journal Article","fieldsOfStudy":null,"isOpenAccess":false,"openAccessPdf":"https://www.ncbi.nlm.nih.gov/pmc/articles/PMC11737619/pdf/","citationCount":"0","resultStr":"{\"title\":\"Comparing the tissue Doppler-derived left ventricular myocardial performance index before and after recovery from respiratory distress in neonates: A prospective observational study.\",\"authors\":\"Nikita Panigrahi, Harohalli A Venkatesh, Manas Ranjan Mishra, Rajath Pejaver, Karthik N Nagesh\",\"doi\":\"10.4103/apc.apc_167_24\",\"DOIUrl\":null,\"url\":null,\"abstract\":\"<p><strong>Background and objective: </strong>Respiratory distress is the most common cause requiring neonatal intensive care unit admission. As respiratory and cardiac functions are closely interrelated, some cardiac dysfunction is expected in respiratory distress. The myocardial performance index (MPI) is an index to assess global myocardial function, easily measurable by bedside echocardiography and reliable. Here, we conducted this study to determine the change in cardiac function in neonates with respiratory distress before initiating respiratory support and after weaning from the support.</p><p><strong>Methodology: </strong>The study was carried out in 92 neonates with a gestational age of more than 32 weeks who required invasive or noninvasive respiratory support. The tissue Doppler left ventricular MPI (LV MPI) was calculated before the initiation of respiratory support and after weaning from respiratory support. The data were analyzed using a paired <i>t</i>-test and a Wilcoxon signed-rank test.</p><p><strong>Results: </strong>This study comprised 92 neonates with a median (interquartile range) LV MPI value of 0.56 (0.10) before initiation of respiratory support and 0.47 (0.04) after weaning from respiratory support with <i>P</i> < 0.001. The isovolumetric contraction time, isovolumetric relaxation time, and ejection time increased after weaning from respiratory support (all <i>P</i> < 0.0001). The severity of respiratory distress determined by invasive mode of ventilation and longer duration of respiratory support caused higher initial LV MPI before initiation of respiratory support compared with recovery and <i>P</i> < 0.001, suggesting subclinical ventricular dysfunction with respiratory distress in neonates.</p><p><strong>Conclusion: </strong>LV MPI was higher in neonates with respiratory distress and normalized after weaning from respiratory support, which indicates that neonates requiring respiratory support may have subclinical ventricular dysfunction and should be followed up carefully.</p>\",\"PeriodicalId\":8026,\"journal\":{\"name\":\"Annals of Pediatric Cardiology\",\"volume\":\"17 5\",\"pages\":\"331-338\"},\"PeriodicalIF\":0.7000,\"publicationDate\":\"2024-09-01\",\"publicationTypes\":\"Journal Article\",\"fieldsOfStudy\":null,\"isOpenAccess\":false,\"openAccessPdf\":\"https://www.ncbi.nlm.nih.gov/pmc/articles/PMC11737619/pdf/\",\"citationCount\":\"0\",\"resultStr\":null,\"platform\":\"Semanticscholar\",\"paperid\":null,\"PeriodicalName\":\"Annals of Pediatric Cardiology\",\"FirstCategoryId\":\"1085\",\"ListUrlMain\":\"https://doi.org/10.4103/apc.apc_167_24\",\"RegionNum\":0,\"RegionCategory\":null,\"ArticlePicture\":[],\"TitleCN\":null,\"AbstractTextCN\":null,\"PMCID\":null,\"EPubDate\":\"2024/12/24 0:00:00\",\"PubModel\":\"Epub\",\"JCR\":\"Q4\",\"JCRName\":\"CARDIAC & CARDIOVASCULAR SYSTEMS\",\"Score\":null,\"Total\":0}","platform":"Semanticscholar","paperid":null,"PeriodicalName":"Annals of Pediatric Cardiology","FirstCategoryId":"1085","ListUrlMain":"https://doi.org/10.4103/apc.apc_167_24","RegionNum":0,"RegionCategory":null,"ArticlePicture":[],"TitleCN":null,"AbstractTextCN":null,"PMCID":null,"EPubDate":"2024/12/24 0:00:00","PubModel":"Epub","JCR":"Q4","JCRName":"CARDIAC & CARDIOVASCULAR SYSTEMS","Score":null,"Total":0}
引用次数: 0

摘要

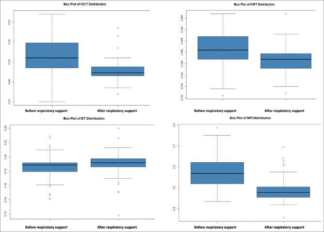
背景与目的:呼吸窘迫是新生儿重症监护病房住院的最常见原因。由于呼吸和心脏功能密切相关,呼吸窘迫时可能出现心功能障碍。心肌功能指数(MPI)是评价整体心肌功能的指标,床边超声心动图测量方便,可靠性高。在这里,我们进行了这项研究,以确定呼吸窘迫的新生儿在开始呼吸支持前和脱离支持后心功能的变化。方法:研究对象为92名胎龄大于32周且需要有创或无创呼吸支持的新生儿。在开始呼吸支持前和脱离呼吸支持后计算组织多普勒左室MPI (LV MPI)。数据分析采用配对t检验和Wilcoxon符号秩检验。结果:本研究纳入92例新生儿,开始呼吸支持前lvmpi中位数(四分位数范围)为0.56(0.10),停止呼吸支持后为0.47 (0.04),P < 0.001。等容收缩时间、等容松弛时间和射血时间在脱离呼吸支持后增加(均P < 0.0001)。有创通气方式和较长呼吸支持时间确定的呼吸窘迫严重程度导致开始呼吸支持前的初始LV MPI高于恢复后,P < 0.001,提示新生儿亚临床心室功能障碍伴呼吸窘迫。结论:有呼吸窘迫且脱离呼吸支持后恢复正常的新生儿左室MPI较高,提示需要呼吸支持的新生儿可能存在亚临床心室功能障碍,应密切随访。
本文章由计算机程序翻译,如有差异,请以英文原文为准。

Comparing the tissue Doppler-derived left ventricular myocardial performance index before and after recovery from respiratory distress in neonates: A prospective observational study.

Comparing the tissue Doppler-derived left ventricular myocardial performance index before and after recovery from respiratory distress in neonates: A prospective observational study.

Comparing the tissue Doppler-derived left ventricular myocardial performance index before and after recovery from respiratory distress in neonates: A prospective observational study.

Background and objective: Respiratory distress is the most common cause requiring neonatal intensive care unit admission. As respiratory and cardiac functions are closely interrelated, some cardiac dysfunction is expected in respiratory distress. The myocardial performance index (MPI) is an index to assess global myocardial function, easily measurable by bedside echocardiography and reliable. Here, we conducted this study to determine the change in cardiac function in neonates with respiratory distress before initiating respiratory support and after weaning from the support.

Methodology: The study was carried out in 92 neonates with a gestational age of more than 32 weeks who required invasive or noninvasive respiratory support. The tissue Doppler left ventricular MPI (LV MPI) was calculated before the initiation of respiratory support and after weaning from respiratory support. The data were analyzed using a paired t-test and a Wilcoxon signed-rank test.

Results: This study comprised 92 neonates with a median (interquartile range) LV MPI value of 0.56 (0.10) before initiation of respiratory support and 0.47 (0.04) after weaning from respiratory support with P < 0.001. The isovolumetric contraction time, isovolumetric relaxation time, and ejection time increased after weaning from respiratory support (all P < 0.0001). The severity of respiratory distress determined by invasive mode of ventilation and longer duration of respiratory support caused higher initial LV MPI before initiation of respiratory support compared with recovery and P < 0.001, suggesting subclinical ventricular dysfunction with respiratory distress in neonates.

Conclusion: LV MPI was higher in neonates with respiratory distress and normalized after weaning from respiratory support, which indicates that neonates requiring respiratory support may have subclinical ventricular dysfunction and should be followed up carefully.

求助全文
通过发布文献求助,成功后即可免费获取论文全文。 去求助
来源期刊
Annals of Pediatric Cardiology
Annals of Pediatric Cardiology CARDIAC & CARDIOVASCULAR SYSTEMS-
CiteScore
1.40
自引率
14.30%
发文量
51
审稿时长
23 weeks
×
引用
GB/T 7714-2015
复制
MLA
复制
APA
复制
导出至
BibTeX EndNote RefMan NoteFirst NoteExpress
×
提示
您的信息不完整,为了账户安全,请先补充。
现在去补充
×
提示
您因"违规操作"
具体请查看互助需知
我知道了
×
提示
确定
请完成安全验证×
copy
已复制链接
快去分享给好友吧!
我知道了
右上角分享
点击右上角分享
0
联系我们:info@booksci.cn Book学术提供免费学术资源搜索服务,方便国内外学者检索中英文文献。致力于提供最便捷和优质的服务体验。 Copyright © 2023 布克学术 All rights reserved.
京ICP备2023020795号-1
ghs 京公网安备 11010802042870号
Book学术文献互助
Book学术文献互助群
群 号:604180095
Book学术官方微信