尿谷胱甘肽s-转移酶与血清肌酐在败血症引起的急性肾损伤中的相关性:一项前瞻性和观察性研究。

Q3 Medicine
Nidhi Kumari, Samiksha Parashar, Manoj Giri, Manoj Tripathi, Virendra Kumar, Suraj Kumar
{"title":"尿谷胱甘肽s-转移酶与血清肌酐在败血症引起的急性肾损伤中的相关性:一项前瞻性和观察性研究。","authors":"Nidhi Kumari, Samiksha Parashar, Manoj Giri, Manoj Tripathi, Virendra Kumar, Suraj Kumar","doi":"10.4103/ijciis.ijciis_66_24","DOIUrl":null,"url":null,"abstract":"<p><strong>Background: </strong>Sepsis-induced acute kidney injury (AKI) is difficult to prevent because most patients are diagnosed after they develop it. Standard serum and urine creatinine levels are insensitive and nonspecific for detecting kidney injury in its early stages. Glutathione S-transferase (GST) has received little attention as a biomarker in AKI.</p><p><strong>Methods: </strong>This study included 65 adult patients with sepsis who developed oliguria within 72 h of admission. Baseline serum creatinine values were recorded at least 1 month before or after intensive care unit (ICU) admission. The clinical endpoints were defined as the occurrence of advanced AKI stages 2 or 3 according to the KDIGO classification. Serum creatinine and urinary GST levels were measured every 6 h from admission until 72 h postoliguria development. The primary objective was to assess the correlation between urinary GST and serum creatinine levels in patients with sepsis-induced AKI.</p><p><strong>Results: </strong>Among the 65 patients, 13 (20%) progressed to AKI Grade I, while 52 (80%) progressed to AKI Grade II or III. Both groups exhibited an increasing trend in serum creatinine and urinary GST levels up to 72 h. Significant mean differences between the two AKI groups were observed at 48 and 72 h for serum creatinine (<i>P</i> = 0.021 and <i>P</i> = 0.007, respectively) and at 18 h for urinary GST levels (<i>P</i> = 0.044).</p><p><strong>Conclusion: </strong>Urinary GST levels demonstrated an earlier elevation than serum creatinine levels in critically ill sepsis patients, underscoring their utility as a valuable tool for the early diagnosis and predicting AKI following admission to the ICU.</p>","PeriodicalId":13938,"journal":{"name":"International Journal of Critical Illness and Injury Science","volume":"14 4","pages":"197-202"},"PeriodicalIF":0.0000,"publicationDate":"2024-10-01","publicationTypes":"Journal Article","fieldsOfStudy":null,"isOpenAccess":false,"openAccessPdf":"https://www.ncbi.nlm.nih.gov/pmc/articles/PMC11729044/pdf/","citationCount":"0","resultStr":"{\"title\":\"Correlation of urinary glutathione S-transferase with serum creatinine in sepsis-induced acute kidney injury: A prospective and observational study.\",\"authors\":\"Nidhi Kumari, Samiksha Parashar, Manoj Giri, Manoj Tripathi, Virendra Kumar, Suraj Kumar\",\"doi\":\"10.4103/ijciis.ijciis_66_24\",\"DOIUrl\":null,\"url\":null,\"abstract\":\"<p><strong>Background: </strong>Sepsis-induced acute kidney injury (AKI) is difficult to prevent because most patients are diagnosed after they develop it. Standard serum and urine creatinine levels are insensitive and nonspecific for detecting kidney injury in its early stages. Glutathione S-transferase (GST) has received little attention as a biomarker in AKI.</p><p><strong>Methods: </strong>This study included 65 adult patients with sepsis who developed oliguria within 72 h of admission. Baseline serum creatinine values were recorded at least 1 month before or after intensive care unit (ICU) admission. The clinical endpoints were defined as the occurrence of advanced AKI stages 2 or 3 according to the KDIGO classification. Serum creatinine and urinary GST levels were measured every 6 h from admission until 72 h postoliguria development. The primary objective was to assess the correlation between urinary GST and serum creatinine levels in patients with sepsis-induced AKI.</p><p><strong>Results: </strong>Among the 65 patients, 13 (20%) progressed to AKI Grade I, while 52 (80%) progressed to AKI Grade II or III. Both groups exhibited an increasing trend in serum creatinine and urinary GST levels up to 72 h. Significant mean differences between the two AKI groups were observed at 48 and 72 h for serum creatinine (<i>P</i> = 0.021 and <i>P</i> = 0.007, respectively) and at 18 h for urinary GST levels (<i>P</i> = 0.044).</p><p><strong>Conclusion: </strong>Urinary GST levels demonstrated an earlier elevation than serum creatinine levels in critically ill sepsis patients, underscoring their utility as a valuable tool for the early diagnosis and predicting AKI following admission to the ICU.</p>\",\"PeriodicalId\":13938,\"journal\":{\"name\":\"International Journal of Critical Illness and Injury Science\",\"volume\":\"14 4\",\"pages\":\"197-202\"},\"PeriodicalIF\":0.0000,\"publicationDate\":\"2024-10-01\",\"publicationTypes\":\"Journal Article\",\"fieldsOfStudy\":null,\"isOpenAccess\":false,\"openAccessPdf\":\"https://www.ncbi.nlm.nih.gov/pmc/articles/PMC11729044/pdf/\",\"citationCount\":\"0\",\"resultStr\":null,\"platform\":\"Semanticscholar\",\"paperid\":null,\"PeriodicalName\":\"International Journal of Critical Illness and Injury Science\",\"FirstCategoryId\":\"1085\",\"ListUrlMain\":\"https://doi.org/10.4103/ijciis.ijciis_66_24\",\"RegionNum\":0,\"RegionCategory\":null,\"ArticlePicture\":[],\"TitleCN\":null,\"AbstractTextCN\":null,\"PMCID\":null,\"EPubDate\":\"2024/12/23 0:00:00\",\"PubModel\":\"Epub\",\"JCR\":\"Q3\",\"JCRName\":\"Medicine\",\"Score\":null,\"Total\":0}","platform":"Semanticscholar","paperid":null,"PeriodicalName":"International Journal of Critical Illness and Injury Science","FirstCategoryId":"1085","ListUrlMain":"https://doi.org/10.4103/ijciis.ijciis_66_24","RegionNum":0,"RegionCategory":null,"ArticlePicture":[],"TitleCN":null,"AbstractTextCN":null,"PMCID":null,"EPubDate":"2024/12/23 0:00:00","PubModel":"Epub","JCR":"Q3","JCRName":"Medicine","Score":null,"Total":0}
引用次数: 0

摘要

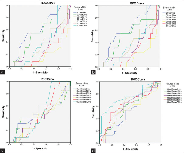
背景:脓毒症引起的急性肾损伤(AKI)很难预防,因为大多数患者是在发病后才被诊断出来的。标准血清和尿肌酐水平对早期肾损伤的检测不敏感且无特异性。谷胱甘肽s -转移酶(GST)作为AKI的生物标志物很少受到关注。方法:本研究纳入65例入院72小时内出现少尿的成年脓毒症患者。在重症监护病房(ICU)入院前或入院后至少1个月记录基线血清肌酐值。临床终点根据KDIGO分级定义为晚期AKI 2期或3期的发生。从入院到少尿后72小时,每6小时检测一次血清肌酐和尿GST水平。主要目的是评估脓毒症引起的AKI患者尿GST和血清肌酐水平之间的相关性。结果:65例患者中,13例(20%)进展为AKI I级,52例(80%)进展为AKI II或III级。两组血清肌酐和尿GST水平在72 h前均呈上升趋势。两组AKI患者在48和72 h时血清肌酐水平(P = 0.021和P = 0.007)和18 h时尿GST水平(P = 0.044)的平均差异具有统计学意义。结论:在重症脓毒症患者中,尿GST水平比血清肌酐水平更早升高,强调其作为早期诊断和预测ICU后AKI的有价值工具的效用。
本文章由计算机程序翻译,如有差异,请以英文原文为准。

Correlation of urinary glutathione S-transferase with serum creatinine in sepsis-induced acute kidney injury: A prospective and observational study.

Correlation of urinary glutathione S-transferase with serum creatinine in sepsis-induced acute kidney injury: A prospective and observational study.

Correlation of urinary glutathione S-transferase with serum creatinine in sepsis-induced acute kidney injury: A prospective and observational study.

Background: Sepsis-induced acute kidney injury (AKI) is difficult to prevent because most patients are diagnosed after they develop it. Standard serum and urine creatinine levels are insensitive and nonspecific for detecting kidney injury in its early stages. Glutathione S-transferase (GST) has received little attention as a biomarker in AKI.

Methods: This study included 65 adult patients with sepsis who developed oliguria within 72 h of admission. Baseline serum creatinine values were recorded at least 1 month before or after intensive care unit (ICU) admission. The clinical endpoints were defined as the occurrence of advanced AKI stages 2 or 3 according to the KDIGO classification. Serum creatinine and urinary GST levels were measured every 6 h from admission until 72 h postoliguria development. The primary objective was to assess the correlation between urinary GST and serum creatinine levels in patients with sepsis-induced AKI.

Results: Among the 65 patients, 13 (20%) progressed to AKI Grade I, while 52 (80%) progressed to AKI Grade II or III. Both groups exhibited an increasing trend in serum creatinine and urinary GST levels up to 72 h. Significant mean differences between the two AKI groups were observed at 48 and 72 h for serum creatinine (P = 0.021 and P = 0.007, respectively) and at 18 h for urinary GST levels (P = 0.044).

Conclusion: Urinary GST levels demonstrated an earlier elevation than serum creatinine levels in critically ill sepsis patients, underscoring their utility as a valuable tool for the early diagnosis and predicting AKI following admission to the ICU.

求助全文
通过发布文献求助,成功后即可免费获取论文全文。 去求助
来源期刊
CiteScore
1.40
自引率
0.00%
发文量
37
期刊介绍: IJCIIS encourages research, education and dissemination of knowledge in the field of Critical Illness and Injury Science across the world thus promoting translational research by striking a synergy between basic science, clinical medicine and public health. The Journal intends to bring together scientists and academicians in the emergency intensive care and promote translational synergy between Laboratory Science, Clinical Medicine and Public Health. The Journal invites Original Articles, Clinical Investigations, Epidemiological Analysis, Data Protocols, Case Reports, Clinical Photographs, review articles and special commentaries. Students, Residents, Academicians, Public Health experts and scientists are all encouraged to be a part of this initiative by contributing, reviewing and promoting scientific works and science.
×
引用
GB/T 7714-2015
复制
MLA
复制
APA
复制
导出至
BibTeX EndNote RefMan NoteFirst NoteExpress
×
提示
您的信息不完整,为了账户安全,请先补充。
现在去补充
×
提示
您因"违规操作"
具体请查看互助需知
我知道了
×
提示
确定
请完成安全验证×
copy
已复制链接
快去分享给好友吧!
我知道了
右上角分享
点击右上角分享
0
联系我们:info@booksci.cn Book学术提供免费学术资源搜索服务,方便国内外学者检索中英文文献。致力于提供最便捷和优质的服务体验。 Copyright © 2023 布克学术 All rights reserved.
京ICP备2023020795号-1
ghs 京公网安备 11010802042870号
Book学术文献互助
Book学术文献互助群
群 号:604180095
Book学术官方微信