骨科手法治疗对心律失常的影响:一项心脏植入式电子装置患者的双盲随机对照试验。

Q3 Medicine
Journal of Innovations in Cardiac Rhythm Management Pub Date : 2024-12-15 eCollection Date: 2024-12-01 DOI:10.19102/icrm.2024.15121
Jacqueline Nikakis, Denis Malkov, Ermin Tale, Mahima Mangla, Jordan Keys, To Shan Li, Sheldon Yao, Todd J Cohen
{"title":"骨科手法治疗对心律失常的影响:一项心脏植入式电子装置患者的双盲随机对照试验。","authors":"Jacqueline Nikakis, Denis Malkov, Ermin Tale, Mahima Mangla, Jordan Keys, To Shan Li, Sheldon Yao, Todd J Cohen","doi":"10.19102/icrm.2024.15121","DOIUrl":null,"url":null,"abstract":"<p><p>This double-blind randomized controlled trial investigated the effects of osteopathic manipulative treatment (OMT) on cardiac arrhythmias in patients with cardiac implantable electronic devices (CIEDs). Participants (n = 41) with CIEDs were randomly assigned to either the OMT group or the control group (light touch/sham) and received a one-time intervention. No significant change in arrhythmia burden was found in the 1 month following intervention (<i>P</i> = .14). Discrete heart rate (HR), HR variability (HRV), and activity data were obtained from CIEDs in 17 of 41 subjects 1, 3, 7, 14, and 30 days prior to and after intervention. No significant difference was observed. An additional short-term substudy was performed on 20 subjects at the time of the intervention (5 min prior to and after intervention), and HR, respiratory rate, blood pressure, blood oxygen saturation (SpO<sub>2</sub>), and 1-min short-term HRV were compared. This study did not demonstrate an effect of OMT on arrhythmias, HR, respiratory rate, blood pressure, and blood SpO<sub>2</sub>. However, differences in OMT versus sham were observed for short-term HRV (<i>P</i> = .022) and a trend for long-term HRV. Importantly, there were no reported adverse effects with either intervention. OMT appears to be safe in cardiac patients.</p>","PeriodicalId":36299,"journal":{"name":"Journal of Innovations in Cardiac Rhythm Management","volume":"15 12","pages":"6107-6112"},"PeriodicalIF":0.0000,"publicationDate":"2024-12-15","publicationTypes":"Journal Article","fieldsOfStudy":null,"isOpenAccess":false,"openAccessPdf":"https://www.ncbi.nlm.nih.gov/pmc/articles/PMC11717155/pdf/","citationCount":"0","resultStr":"{\"title\":\"The Effects of Osteopathic Manipulative Treatment on Arrhythmias: A Double-blind Randomized Controlled Trial in Patients with Cardiac Implantable Electronic Devices.\",\"authors\":\"Jacqueline Nikakis, Denis Malkov, Ermin Tale, Mahima Mangla, Jordan Keys, To Shan Li, Sheldon Yao, Todd J Cohen\",\"doi\":\"10.19102/icrm.2024.15121\",\"DOIUrl\":null,\"url\":null,\"abstract\":\"<p><p>This double-blind randomized controlled trial investigated the effects of osteopathic manipulative treatment (OMT) on cardiac arrhythmias in patients with cardiac implantable electronic devices (CIEDs). Participants (n = 41) with CIEDs were randomly assigned to either the OMT group or the control group (light touch/sham) and received a one-time intervention. No significant change in arrhythmia burden was found in the 1 month following intervention (<i>P</i> = .14). Discrete heart rate (HR), HR variability (HRV), and activity data were obtained from CIEDs in 17 of 41 subjects 1, 3, 7, 14, and 30 days prior to and after intervention. No significant difference was observed. An additional short-term substudy was performed on 20 subjects at the time of the intervention (5 min prior to and after intervention), and HR, respiratory rate, blood pressure, blood oxygen saturation (SpO<sub>2</sub>), and 1-min short-term HRV were compared. This study did not demonstrate an effect of OMT on arrhythmias, HR, respiratory rate, blood pressure, and blood SpO<sub>2</sub>. However, differences in OMT versus sham were observed for short-term HRV (<i>P</i> = .022) and a trend for long-term HRV. Importantly, there were no reported adverse effects with either intervention. OMT appears to be safe in cardiac patients.</p>\",\"PeriodicalId\":36299,\"journal\":{\"name\":\"Journal of Innovations in Cardiac Rhythm Management\",\"volume\":\"15 12\",\"pages\":\"6107-6112\"},\"PeriodicalIF\":0.0000,\"publicationDate\":\"2024-12-15\",\"publicationTypes\":\"Journal Article\",\"fieldsOfStudy\":null,\"isOpenAccess\":false,\"openAccessPdf\":\"https://www.ncbi.nlm.nih.gov/pmc/articles/PMC11717155/pdf/\",\"citationCount\":\"0\",\"resultStr\":null,\"platform\":\"Semanticscholar\",\"paperid\":null,\"PeriodicalName\":\"Journal of Innovations in Cardiac Rhythm Management\",\"FirstCategoryId\":\"1085\",\"ListUrlMain\":\"https://doi.org/10.19102/icrm.2024.15121\",\"RegionNum\":0,\"RegionCategory\":null,\"ArticlePicture\":[],\"TitleCN\":null,\"AbstractTextCN\":null,\"PMCID\":null,\"EPubDate\":\"2024/12/1 0:00:00\",\"PubModel\":\"eCollection\",\"JCR\":\"Q3\",\"JCRName\":\"Medicine\",\"Score\":null,\"Total\":0}","platform":"Semanticscholar","paperid":null,"PeriodicalName":"Journal of Innovations in Cardiac Rhythm Management","FirstCategoryId":"1085","ListUrlMain":"https://doi.org/10.19102/icrm.2024.15121","RegionNum":0,"RegionCategory":null,"ArticlePicture":[],"TitleCN":null,"AbstractTextCN":null,"PMCID":null,"EPubDate":"2024/12/1 0:00:00","PubModel":"eCollection","JCR":"Q3","JCRName":"Medicine","Score":null,"Total":0}
引用次数: 0

摘要

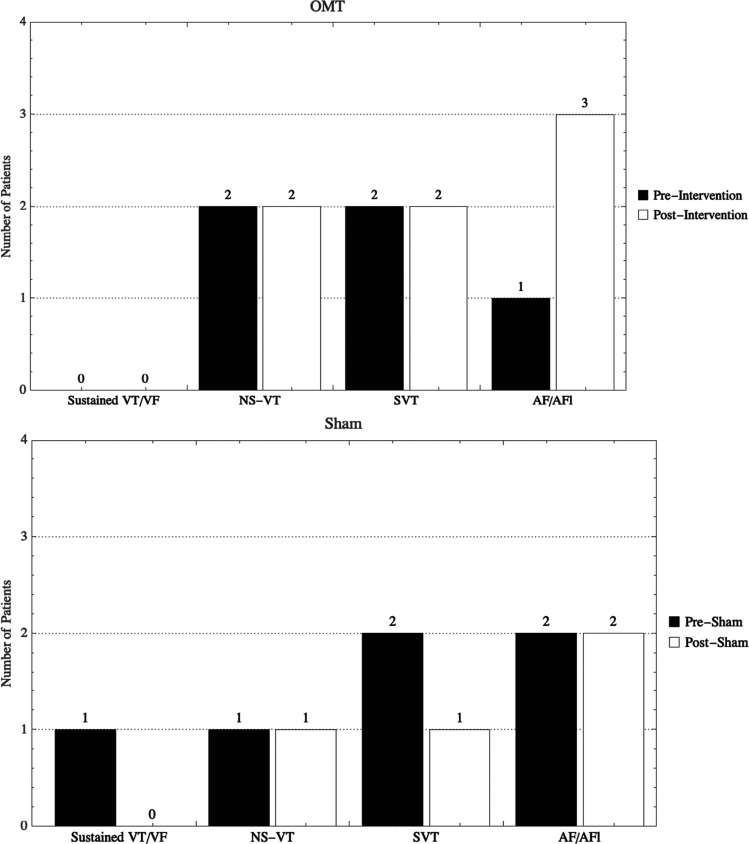
本双盲随机对照试验探讨骨科手法治疗(OMT)对心脏植入式电子装置(cied)患者心律失常的影响。患有cied的参与者(n = 41)被随机分配到OMT组或对照组(轻触/假),并接受一次性干预。干预后1个月心律失常负担无明显变化(P = 0.14)。在干预前后1、3、7、14和30天,从41名受试者中的17人的cied中获得离散心率(HR)、心率变异性(HRV)和活动数据。无显著性差异。在干预时(干预前后5分钟)对20名受试者进行另一项短期亚研究,比较HR、呼吸率、血压、血氧饱和度(SpO2)和1分钟短期HRV。这项研究没有证明OMT对心律失常、心率、呼吸频率、血压和血SpO2的影响。然而,观察到OMT与sham在短期HRV中的差异(P = 0.022)和长期HRV的趋势。重要的是,两种干预都没有不良反应的报道。OMT对心脏病患者似乎是安全的。
本文章由计算机程序翻译,如有差异,请以英文原文为准。

The Effects of Osteopathic Manipulative Treatment on Arrhythmias: A Double-blind Randomized Controlled Trial in Patients with Cardiac Implantable Electronic Devices.

The Effects of Osteopathic Manipulative Treatment on Arrhythmias: A Double-blind Randomized Controlled Trial in Patients with Cardiac Implantable Electronic Devices.

The Effects of Osteopathic Manipulative Treatment on Arrhythmias: A Double-blind Randomized Controlled Trial in Patients with Cardiac Implantable Electronic Devices.

This double-blind randomized controlled trial investigated the effects of osteopathic manipulative treatment (OMT) on cardiac arrhythmias in patients with cardiac implantable electronic devices (CIEDs). Participants (n = 41) with CIEDs were randomly assigned to either the OMT group or the control group (light touch/sham) and received a one-time intervention. No significant change in arrhythmia burden was found in the 1 month following intervention (P = .14). Discrete heart rate (HR), HR variability (HRV), and activity data were obtained from CIEDs in 17 of 41 subjects 1, 3, 7, 14, and 30 days prior to and after intervention. No significant difference was observed. An additional short-term substudy was performed on 20 subjects at the time of the intervention (5 min prior to and after intervention), and HR, respiratory rate, blood pressure, blood oxygen saturation (SpO2), and 1-min short-term HRV were compared. This study did not demonstrate an effect of OMT on arrhythmias, HR, respiratory rate, blood pressure, and blood SpO2. However, differences in OMT versus sham were observed for short-term HRV (P = .022) and a trend for long-term HRV. Importantly, there were no reported adverse effects with either intervention. OMT appears to be safe in cardiac patients.

求助全文
通过发布文献求助,成功后即可免费获取论文全文。 去求助
来源期刊
Journal of Innovations in Cardiac Rhythm Management
Journal of Innovations in Cardiac Rhythm Management Medicine-Cardiology and Cardiovascular Medicine
CiteScore
1.50
自引率
0.00%
发文量
70
×
引用
GB/T 7714-2015
复制
MLA
复制
APA
复制
导出至
BibTeX EndNote RefMan NoteFirst NoteExpress
×
提示
您的信息不完整,为了账户安全,请先补充。
现在去补充
×
提示
您因"违规操作"
具体请查看互助需知
我知道了
×
提示
确定
请完成安全验证×
copy
已复制链接
快去分享给好友吧!
我知道了
右上角分享
点击右上角分享
0
联系我们:info@booksci.cn Book学术提供免费学术资源搜索服务,方便国内外学者检索中英文文献。致力于提供最便捷和优质的服务体验。 Copyright © 2023 布克学术 All rights reserved.
京ICP备2023020795号-1
ghs 京公网安备 11010802042870号
Book学术文献互助
Book学术文献互助群
群 号:604180095
Book学术官方微信