血小板与白细胞比率(PWR):原发性经皮冠状动脉介入治疗后自发性再灌注的一种新的预后生物标志物。

IF 1.3 Q4 CARDIAC & CARDIOVASCULAR SYSTEMS
Journal of the Saudi Heart Association Pub Date : 2024-11-25 eCollection Date: 2024-01-01 DOI:10.37616/2212-5043.1404
Gökhan Alıcı, Tayfur Erdoğdu, Arafat Yıldırım, Özge Ö Abacığglu, Ömer Genç, Ceyhun Yücel, Örsan D Urgun, Abdullah Yıldırım, Şerafettin Demir
{"title":"血小板与白细胞比率(PWR):原发性经皮冠状动脉介入治疗后自发性再灌注的一种新的预后生物标志物。","authors":"Gökhan Alıcı, Tayfur Erdoğdu, Arafat Yıldırım, Özge Ö Abacığglu, Ömer Genç, Ceyhun Yücel, Örsan D Urgun, Abdullah Yıldırım, Şerafettin Demir","doi":"10.37616/2212-5043.1404","DOIUrl":null,"url":null,"abstract":"<p><strong>Background: </strong>Spontaneous reperfusion (SR) occurring before primary percutaneous coronary intervention (PPCI) can offer additional clinical benefits to patients with ST-segment elevation myocardial infarction (STEMI). The Platelet-to-White Blood Cell Ratio (PWR) has been recognized as a prognostic indicator in various diseases. We aimed to explore the relationship between PWR and SR in patients with STEMI undergoing PPCI.</p><p><strong>Methods: </strong>We conducted a retrospective analysis involving 995 patients diagnosed with STEMI who underwent PPCI in a single-center setting. Demographic, clinical, laboratory, and angiographic data were extracted from the hospital database, and PWR was calculated by dividing serum platelet levels by white blood cell levels.</p><p><strong>Results: </strong>Angiographic SR was observed in 203 patients (20.4%). The SR group displayed elevated PWR values (24.4 ± 8.9 vs. 21.6 ± 7.6, p < 0.001) and a lower incidence of the no-reflow phenomenon (NRF) (13.3% vs. 22.9%, p = 0.003), along with a reduced SYNTAX (SX) score (12.7 ± 6.4 vs. 17.8 ± 7.9, p < 0.001). Furthermore, the group with a high PWR was associated with a higher rate of SR, a lower NRF rate, decreased in-hospital mortality, and reduced SX scores. Multivariable logistic regression analyses revealed that female gender, hemoglobin levels, the presence of SR, Culprit lesion, and the SX score were identified as risk factors for high PWR. High PWR, SX score, and Initial CK-MB levels were the factors associated with SR.</p><p><strong>Conclusions: </strong>Patients with high PWR at presentation may experience higher rates of SR, fewer complications, and a more favorable prognosis in the context of STEMI.</p>","PeriodicalId":17319,"journal":{"name":"Journal of the Saudi Heart Association","volume":"36 4","pages":"360-370"},"PeriodicalIF":1.3000,"publicationDate":"2024-11-25","publicationTypes":"Journal Article","fieldsOfStudy":null,"isOpenAccess":false,"openAccessPdf":"https://www.ncbi.nlm.nih.gov/pmc/articles/PMC11708908/pdf/","citationCount":"0","resultStr":"{\"title\":\"Platelet-to-White Blood Cell Ratio (PWR): A Novel Prognostic Biomarker for Spontaneous Reperfusion after Primary Percutaneous Coronary Intervention.\",\"authors\":\"Gökhan Alıcı, Tayfur Erdoğdu, Arafat Yıldırım, Özge Ö Abacığglu, Ömer Genç, Ceyhun Yücel, Örsan D Urgun, Abdullah Yıldırım, Şerafettin Demir\",\"doi\":\"10.37616/2212-5043.1404\",\"DOIUrl\":null,\"url\":null,\"abstract\":\"<p><strong>Background: </strong>Spontaneous reperfusion (SR) occurring before primary percutaneous coronary intervention (PPCI) can offer additional clinical benefits to patients with ST-segment elevation myocardial infarction (STEMI). The Platelet-to-White Blood Cell Ratio (PWR) has been recognized as a prognostic indicator in various diseases. We aimed to explore the relationship between PWR and SR in patients with STEMI undergoing PPCI.</p><p><strong>Methods: </strong>We conducted a retrospective analysis involving 995 patients diagnosed with STEMI who underwent PPCI in a single-center setting. Demographic, clinical, laboratory, and angiographic data were extracted from the hospital database, and PWR was calculated by dividing serum platelet levels by white blood cell levels.</p><p><strong>Results: </strong>Angiographic SR was observed in 203 patients (20.4%). The SR group displayed elevated PWR values (24.4 ± 8.9 vs. 21.6 ± 7.6, p < 0.001) and a lower incidence of the no-reflow phenomenon (NRF) (13.3% vs. 22.9%, p = 0.003), along with a reduced SYNTAX (SX) score (12.7 ± 6.4 vs. 17.8 ± 7.9, p < 0.001). Furthermore, the group with a high PWR was associated with a higher rate of SR, a lower NRF rate, decreased in-hospital mortality, and reduced SX scores. Multivariable logistic regression analyses revealed that female gender, hemoglobin levels, the presence of SR, Culprit lesion, and the SX score were identified as risk factors for high PWR. High PWR, SX score, and Initial CK-MB levels were the factors associated with SR.</p><p><strong>Conclusions: </strong>Patients with high PWR at presentation may experience higher rates of SR, fewer complications, and a more favorable prognosis in the context of STEMI.</p>\",\"PeriodicalId\":17319,\"journal\":{\"name\":\"Journal of the Saudi Heart Association\",\"volume\":\"36 4\",\"pages\":\"360-370\"},\"PeriodicalIF\":1.3000,\"publicationDate\":\"2024-11-25\",\"publicationTypes\":\"Journal Article\",\"fieldsOfStudy\":null,\"isOpenAccess\":false,\"openAccessPdf\":\"https://www.ncbi.nlm.nih.gov/pmc/articles/PMC11708908/pdf/\",\"citationCount\":\"0\",\"resultStr\":null,\"platform\":\"Semanticscholar\",\"paperid\":null,\"PeriodicalName\":\"Journal of the Saudi Heart Association\",\"FirstCategoryId\":\"1085\",\"ListUrlMain\":\"https://doi.org/10.37616/2212-5043.1404\",\"RegionNum\":0,\"RegionCategory\":null,\"ArticlePicture\":[],\"TitleCN\":null,\"AbstractTextCN\":null,\"PMCID\":null,\"EPubDate\":\"2024/1/1 0:00:00\",\"PubModel\":\"eCollection\",\"JCR\":\"Q4\",\"JCRName\":\"CARDIAC & CARDIOVASCULAR SYSTEMS\",\"Score\":null,\"Total\":0}","platform":"Semanticscholar","paperid":null,"PeriodicalName":"Journal of the Saudi Heart Association","FirstCategoryId":"1085","ListUrlMain":"https://doi.org/10.37616/2212-5043.1404","RegionNum":0,"RegionCategory":null,"ArticlePicture":[],"TitleCN":null,"AbstractTextCN":null,"PMCID":null,"EPubDate":"2024/1/1 0:00:00","PubModel":"eCollection","JCR":"Q4","JCRName":"CARDIAC & CARDIOVASCULAR SYSTEMS","Score":null,"Total":0}
引用次数: 0

摘要

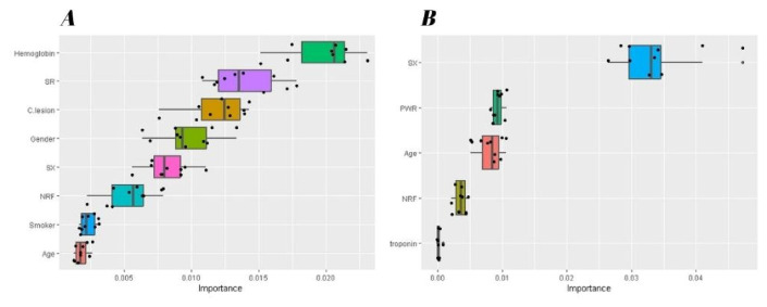
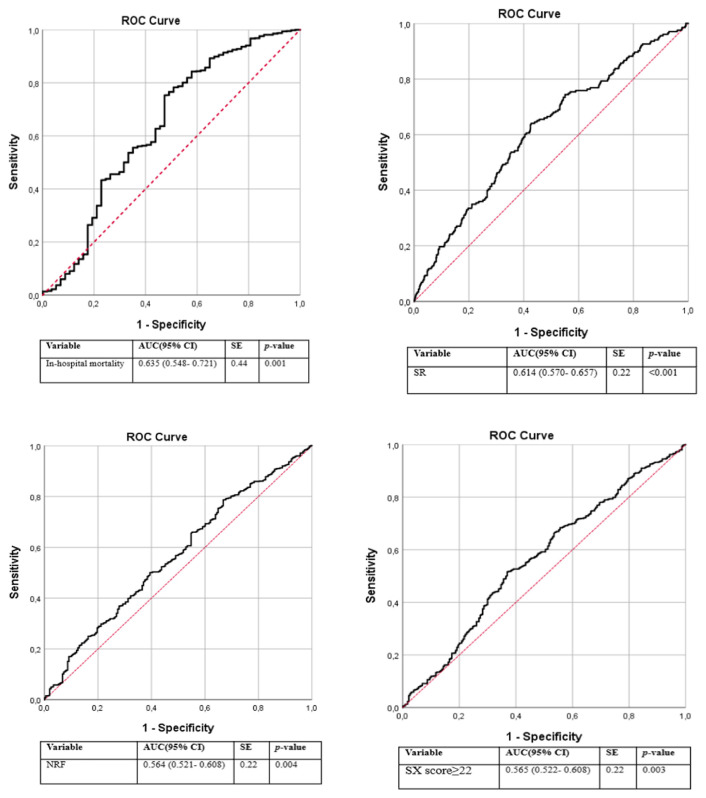
背景:原发性经皮冠状动脉介入治疗(PPCI)前发生的自发性再灌注(SR)可以为st段抬高型心肌梗死(STEMI)患者提供额外的临床益处。血小板与白细胞比率(PWR)已被认为是多种疾病的预后指标。我们的目的是探讨STEMI患者接受PPCI的PWR和SR之间的关系。方法:我们进行了一项回顾性分析,涉及995例诊断为STEMI并在单中心环境下接受PPCI的患者。从医院数据库中提取人口统计学、临床、实验室和血管造影数据,并通过将血清血小板水平除以白细胞水平来计算PWR。结果:血管造影发现SR 203例(20.4%)。SR组PWR值升高(24.4±8.9比21.6±7.6,p < 0.001),无回流现象(NRF)发生率降低(13.3%比22.9%,p = 0.003), SYNTAX (SX)评分降低(12.7±6.4比17.8±7.9,p < 0.001)。此外,高PWR组与较高的SR率、较低的NRF率、较低的住院死亡率和较低的SX评分相关。多变量logistic回归分析显示,女性、血红蛋白水平、SR、罪魁祸首病变和SX评分是高PWR的危险因素。高PWR, SX评分和初始CK-MB水平是与SR相关的因素。结论:在STEMI背景下,高PWR的患者可能会经历更高的SR率,更少的并发症和更有利的预后。
本文章由计算机程序翻译,如有差异,请以英文原文为准。

Platelet-to-White Blood Cell Ratio (PWR): A Novel Prognostic Biomarker for Spontaneous Reperfusion after Primary Percutaneous Coronary Intervention.

Platelet-to-White Blood Cell Ratio (PWR): A Novel Prognostic Biomarker for Spontaneous Reperfusion after Primary Percutaneous Coronary Intervention.

Platelet-to-White Blood Cell Ratio (PWR): A Novel Prognostic Biomarker for Spontaneous Reperfusion after Primary Percutaneous Coronary Intervention.

Platelet-to-White Blood Cell Ratio (PWR): A Novel Prognostic Biomarker for Spontaneous Reperfusion after Primary Percutaneous Coronary Intervention.

Background: Spontaneous reperfusion (SR) occurring before primary percutaneous coronary intervention (PPCI) can offer additional clinical benefits to patients with ST-segment elevation myocardial infarction (STEMI). The Platelet-to-White Blood Cell Ratio (PWR) has been recognized as a prognostic indicator in various diseases. We aimed to explore the relationship between PWR and SR in patients with STEMI undergoing PPCI.

Methods: We conducted a retrospective analysis involving 995 patients diagnosed with STEMI who underwent PPCI in a single-center setting. Demographic, clinical, laboratory, and angiographic data were extracted from the hospital database, and PWR was calculated by dividing serum platelet levels by white blood cell levels.

Results: Angiographic SR was observed in 203 patients (20.4%). The SR group displayed elevated PWR values (24.4 ± 8.9 vs. 21.6 ± 7.6, p < 0.001) and a lower incidence of the no-reflow phenomenon (NRF) (13.3% vs. 22.9%, p = 0.003), along with a reduced SYNTAX (SX) score (12.7 ± 6.4 vs. 17.8 ± 7.9, p < 0.001). Furthermore, the group with a high PWR was associated with a higher rate of SR, a lower NRF rate, decreased in-hospital mortality, and reduced SX scores. Multivariable logistic regression analyses revealed that female gender, hemoglobin levels, the presence of SR, Culprit lesion, and the SX score were identified as risk factors for high PWR. High PWR, SX score, and Initial CK-MB levels were the factors associated with SR.

Conclusions: Patients with high PWR at presentation may experience higher rates of SR, fewer complications, and a more favorable prognosis in the context of STEMI.

求助全文
通过发布文献求助,成功后即可免费获取论文全文。 去求助
来源期刊
Journal of the Saudi Heart Association
Journal of the Saudi Heart Association CARDIAC & CARDIOVASCULAR SYSTEMS-
CiteScore
1.40
自引率
0.00%
发文量
30
审稿时长
15 weeks
×
引用
GB/T 7714-2015
复制
MLA
复制
APA
复制
导出至
BibTeX EndNote RefMan NoteFirst NoteExpress
×
提示
您的信息不完整,为了账户安全,请先补充。
现在去补充
×
提示
您因"违规操作"
具体请查看互助需知
我知道了
×
提示
确定
请完成安全验证×
copy
已复制链接
快去分享给好友吧!
我知道了
右上角分享
点击右上角分享
0
联系我们:info@booksci.cn Book学术提供免费学术资源搜索服务,方便国内外学者检索中英文文献。致力于提供最便捷和优质的服务体验。 Copyright © 2023 布克学术 All rights reserved.
京ICP备2023020795号-1
ghs 京公网安备 11010802042870号
Book学术文献互助
Book学术文献互助群
群 号:604180095
Book学术官方微信