CAGI6 ID小组挑战:评估415名神经发育障碍(ndd)儿童的表型和变异预测。

IF 3.6 2区 生物学 Q2 GENETICS & HEREDITY
Human Genetics Pub Date : 2025-03-01 Epub Date: 2025-01-09 DOI:10.1007/s00439-024-02722-w
Maria Cristina Aspromonte, Alessio Del Conte, Shaowen Zhu, Wuwei Tan, Yang Shen, Yexian Zhang, Qi Li, Maggie Haitian Wang, Giulia Babbi, Samuele Bovo, Pier Luigi Martelli, Rita Casadio, Azza Althagafi, Sumyyah Toonsi, Maxat Kulmanov, Robert Hoehndorf, Panagiotis Katsonis, Amanda Williams, Olivier Lichtarge, Su Xian, Wesley Surento, Vikas Pejaver, Sean D Mooney, Uma Sunderam, Rajgopal Srinivasan, Alessandra Murgia, Damiano Piovesan, Silvio C E Tosatto, Emanuela Leonardi
{"title":"CAGI6 ID小组挑战:评估415名神经发育障碍(ndd)儿童的表型和变异预测。","authors":"Maria Cristina Aspromonte, Alessio Del Conte, Shaowen Zhu, Wuwei Tan, Yang Shen, Yexian Zhang, Qi Li, Maggie Haitian Wang, Giulia Babbi, Samuele Bovo, Pier Luigi Martelli, Rita Casadio, Azza Althagafi, Sumyyah Toonsi, Maxat Kulmanov, Robert Hoehndorf, Panagiotis Katsonis, Amanda Williams, Olivier Lichtarge, Su Xian, Wesley Surento, Vikas Pejaver, Sean D Mooney, Uma Sunderam, Rajgopal Srinivasan, Alessandra Murgia, Damiano Piovesan, Silvio C E Tosatto, Emanuela Leonardi","doi":"10.1007/s00439-024-02722-w","DOIUrl":null,"url":null,"abstract":"<p><p>The Genetics of Neurodevelopmental Disorders Lab in Padua provided a new intellectual disability (ID) Panel challenge for computational methods to predict patient phenotypes and their causal variants in the context of the Critical Assessment of the Genome Interpretation, 6th edition (CAGI6). Eight research teams submitted a total of 30 models to predict phenotypes based on the sequences of 74 genes (VCF format) in 415 pediatric patients affected by Neurodevelopmental Disorders (NDDs). NDDs are clinically and genetically heterogeneous conditions, with onset in infant age. Here, we assess the ability and accuracy of computational methods to predict comorbid phenotypes based on clinical features described in each patient and their causal variants. We also evaluated predictions for possible genetic causes in patients without a clear genetic diagnosis. Like the previous ID Panel challenge in CAGI5, seven clinical features (ID, ASD, ataxia, epilepsy, microcephaly, macrocephaly, hypotonia), and variants (Pathogenic/Likely Pathogenic, Variants of Uncertain Significance and Risk Factors) were provided. The phenotypic traits and variant data of 150 patients from the CAGI5 ID Panel Challenge were provided as training set for predictors. The CAGI6 challenge confirms CAGI5 results that predicting phenotypes from gene panel data is highly challenging, with AUC values close to random, and no method able to predict relevant variants with both high accuracy and precision. However, a significant improvement is noted for the best method, with recall increasing from 66% to 82%. Several groups also successfully predicted difficult-to-detect variants, emphasizing the importance of variants initially excluded by the Padua NDD Lab.</p>","PeriodicalId":13175,"journal":{"name":"Human Genetics","volume":" ","pages":"227-242"},"PeriodicalIF":3.6000,"publicationDate":"2025-03-01","publicationTypes":"Journal Article","fieldsOfStudy":null,"isOpenAccess":false,"openAccessPdf":"https://www.ncbi.nlm.nih.gov/pmc/articles/PMC11976362/pdf/","citationCount":"0","resultStr":"{\"title\":\"CAGI6 ID panel challenge: assessment of phenotype and variant predictions in 415 children with neurodevelopmental disorders (NDDs).\",\"authors\":\"Maria Cristina Aspromonte, Alessio Del Conte, Shaowen Zhu, Wuwei Tan, Yang Shen, Yexian Zhang, Qi Li, Maggie Haitian Wang, Giulia Babbi, Samuele Bovo, Pier Luigi Martelli, Rita Casadio, Azza Althagafi, Sumyyah Toonsi, Maxat Kulmanov, Robert Hoehndorf, Panagiotis Katsonis, Amanda Williams, Olivier Lichtarge, Su Xian, Wesley Surento, Vikas Pejaver, Sean D Mooney, Uma Sunderam, Rajgopal Srinivasan, Alessandra Murgia, Damiano Piovesan, Silvio C E Tosatto, Emanuela Leonardi\",\"doi\":\"10.1007/s00439-024-02722-w\",\"DOIUrl\":null,\"url\":null,\"abstract\":\"<p><p>The Genetics of Neurodevelopmental Disorders Lab in Padua provided a new intellectual disability (ID) Panel challenge for computational methods to predict patient phenotypes and their causal variants in the context of the Critical Assessment of the Genome Interpretation, 6th edition (CAGI6). Eight research teams submitted a total of 30 models to predict phenotypes based on the sequences of 74 genes (VCF format) in 415 pediatric patients affected by Neurodevelopmental Disorders (NDDs). NDDs are clinically and genetically heterogeneous conditions, with onset in infant age. Here, we assess the ability and accuracy of computational methods to predict comorbid phenotypes based on clinical features described in each patient and their causal variants. We also evaluated predictions for possible genetic causes in patients without a clear genetic diagnosis. Like the previous ID Panel challenge in CAGI5, seven clinical features (ID, ASD, ataxia, epilepsy, microcephaly, macrocephaly, hypotonia), and variants (Pathogenic/Likely Pathogenic, Variants of Uncertain Significance and Risk Factors) were provided. The phenotypic traits and variant data of 150 patients from the CAGI5 ID Panel Challenge were provided as training set for predictors. The CAGI6 challenge confirms CAGI5 results that predicting phenotypes from gene panel data is highly challenging, with AUC values close to random, and no method able to predict relevant variants with both high accuracy and precision. However, a significant improvement is noted for the best method, with recall increasing from 66% to 82%. Several groups also successfully predicted difficult-to-detect variants, emphasizing the importance of variants initially excluded by the Padua NDD Lab.</p>\",\"PeriodicalId\":13175,\"journal\":{\"name\":\"Human Genetics\",\"volume\":\" \",\"pages\":\"227-242\"},\"PeriodicalIF\":3.6000,\"publicationDate\":\"2025-03-01\",\"publicationTypes\":\"Journal Article\",\"fieldsOfStudy\":null,\"isOpenAccess\":false,\"openAccessPdf\":\"https://www.ncbi.nlm.nih.gov/pmc/articles/PMC11976362/pdf/\",\"citationCount\":\"0\",\"resultStr\":null,\"platform\":\"Semanticscholar\",\"paperid\":null,\"PeriodicalName\":\"Human Genetics\",\"FirstCategoryId\":\"99\",\"ListUrlMain\":\"https://doi.org/10.1007/s00439-024-02722-w\",\"RegionNum\":2,\"RegionCategory\":\"生物学\",\"ArticlePicture\":[],\"TitleCN\":null,\"AbstractTextCN\":null,\"PMCID\":null,\"EPubDate\":\"2025/1/9 0:00:00\",\"PubModel\":\"Epub\",\"JCR\":\"Q2\",\"JCRName\":\"GENETICS & HEREDITY\",\"Score\":null,\"Total\":0}","platform":"Semanticscholar","paperid":null,"PeriodicalName":"Human Genetics","FirstCategoryId":"99","ListUrlMain":"https://doi.org/10.1007/s00439-024-02722-w","RegionNum":2,"RegionCategory":"生物学","ArticlePicture":[],"TitleCN":null,"AbstractTextCN":null,"PMCID":null,"EPubDate":"2025/1/9 0:00:00","PubModel":"Epub","JCR":"Q2","JCRName":"GENETICS & HEREDITY","Score":null,"Total":0}
引用次数: 0

摘要

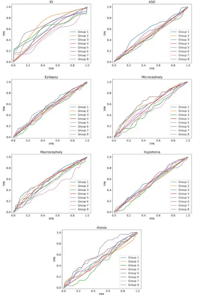
帕多瓦的神经发育障碍遗传学实验室提供了一个新的智力残疾(ID)小组挑战,用于在基因组解释的关键评估,第6版(CAGI6)的背景下预测患者表型及其因果变异的计算方法。8个研究团队共提交了30个模型,基于415名神经发育障碍(ndd)患儿的74个基因序列(VCF格式)预测表型。ndd是临床上和遗传上的异质性疾病,在婴儿时期发病。在这里,我们评估了计算方法的能力和准确性,以预测共病表型为基础的临床特征描述在每个病人和他们的因果变异。我们还评估了对没有明确遗传诊断的患者可能的遗传原因的预测。与CAGI5中之前的ID Panel挑战一样,提供了7个临床特征(ID、ASD、共济失调、癫痫、小头畸形、大头畸形、张力低下)和变异(致病/可能致病、不确定意义变异和危险因素)。来自CAGI5 ID Panel Challenge的150名患者的表型性状和变异数据被提供作为预测者的训练集。CAGI6的挑战证实了CAGI5的结果,即从基因面板数据预测表型是极具挑战性的,AUC值接近随机,没有一种方法能够同时高精度地预测相关变异。然而,最好的方法有一个显著的改进,召回率从66%增加到82%。几个小组也成功地预测了难以检测的变异,强调了帕多瓦NDD实验室最初排除的变异的重要性。
本文章由计算机程序翻译,如有差异,请以英文原文为准。

CAGI6 ID panel challenge: assessment of phenotype and variant predictions in 415 children with neurodevelopmental disorders (NDDs).

CAGI6 ID panel challenge: assessment of phenotype and variant predictions in 415 children with neurodevelopmental disorders (NDDs).

CAGI6 ID panel challenge: assessment of phenotype and variant predictions in 415 children with neurodevelopmental disorders (NDDs).

CAGI6 ID panel challenge: assessment of phenotype and variant predictions in 415 children with neurodevelopmental disorders (NDDs).

The Genetics of Neurodevelopmental Disorders Lab in Padua provided a new intellectual disability (ID) Panel challenge for computational methods to predict patient phenotypes and their causal variants in the context of the Critical Assessment of the Genome Interpretation, 6th edition (CAGI6). Eight research teams submitted a total of 30 models to predict phenotypes based on the sequences of 74 genes (VCF format) in 415 pediatric patients affected by Neurodevelopmental Disorders (NDDs). NDDs are clinically and genetically heterogeneous conditions, with onset in infant age. Here, we assess the ability and accuracy of computational methods to predict comorbid phenotypes based on clinical features described in each patient and their causal variants. We also evaluated predictions for possible genetic causes in patients without a clear genetic diagnosis. Like the previous ID Panel challenge in CAGI5, seven clinical features (ID, ASD, ataxia, epilepsy, microcephaly, macrocephaly, hypotonia), and variants (Pathogenic/Likely Pathogenic, Variants of Uncertain Significance and Risk Factors) were provided. The phenotypic traits and variant data of 150 patients from the CAGI5 ID Panel Challenge were provided as training set for predictors. The CAGI6 challenge confirms CAGI5 results that predicting phenotypes from gene panel data is highly challenging, with AUC values close to random, and no method able to predict relevant variants with both high accuracy and precision. However, a significant improvement is noted for the best method, with recall increasing from 66% to 82%. Several groups also successfully predicted difficult-to-detect variants, emphasizing the importance of variants initially excluded by the Padua NDD Lab.

求助全文
通过发布文献求助,成功后即可免费获取论文全文。 去求助
来源期刊
Human Genetics
Human Genetics 生物-遗传学
CiteScore
10.80
自引率
3.80%
发文量
94
审稿时长
1 months
期刊介绍: Human Genetics is a monthly journal publishing original and timely articles on all aspects of human genetics. The Journal particularly welcomes articles in the areas of Behavioral genetics, Bioinformatics, Cancer genetics and genomics, Cytogenetics, Developmental genetics, Disease association studies, Dysmorphology, ELSI (ethical, legal and social issues), Evolutionary genetics, Gene expression, Gene structure and organization, Genetics of complex diseases and epistatic interactions, Genetic epidemiology, Genome biology, Genome structure and organization, Genotype-phenotype relationships, Human Genomics, Immunogenetics and genomics, Linkage analysis and genetic mapping, Methods in Statistical Genetics, Molecular diagnostics, Mutation detection and analysis, Neurogenetics, Physical mapping and Population Genetics. Articles reporting animal models relevant to human biology or disease are also welcome. Preference will be given to those articles which address clinically relevant questions or which provide new insights into human biology. Unless reporting entirely novel and unusual aspects of a topic, clinical case reports, cytogenetic case reports, papers on descriptive population genetics, articles dealing with the frequency of polymorphisms or additional mutations within genes in which numerous lesions have already been described, and papers that report meta-analyses of previously published datasets will normally not be accepted. The Journal typically will not consider for publication manuscripts that report merely the isolation, map position, structure, and tissue expression profile of a gene of unknown function unless the gene is of particular interest or is a candidate gene involved in a human trait or disorder.
×
引用
GB/T 7714-2015
复制
MLA
复制
APA
复制
导出至
BibTeX EndNote RefMan NoteFirst NoteExpress
×
提示
您的信息不完整,为了账户安全,请先补充。
现在去补充
×
提示
您因"违规操作"
具体请查看互助需知
我知道了
×
提示
确定
请完成安全验证×
copy
已复制链接
快去分享给好友吧!
我知道了
右上角分享
点击右上角分享
0
联系我们:info@booksci.cn Book学术提供免费学术资源搜索服务,方便国内外学者检索中英文文献。致力于提供最便捷和优质的服务体验。 Copyright © 2023 布克学术 All rights reserved.
京ICP备2023020795号-1
ghs 京公网安备 11010802042870号
Book学术文献互助
Book学术文献互助群
群 号:604180095
Book学术官方微信