结直肠癌诊断的种族不平等:英国国民健康服务的人口水平研究。

IF 2.9 Q2 GASTROENTEROLOGY & HEPATOLOGY
Rebecca J Birch, Nick E Burr, John C Taylor, Amy Downing, Phil Quirke, Eva J A Morris, James Turvill, Mo Thoufeeq
{"title":"结直肠癌诊断的种族不平等:英国国民健康服务的人口水平研究。","authors":"Rebecca J Birch, Nick E Burr, John C Taylor, Amy Downing, Phil Quirke, Eva J A Morris, James Turvill, Mo Thoufeeq","doi":"10.1136/bmjgast-2024-001629","DOIUrl":null,"url":null,"abstract":"<p><strong>Objective: </strong>Studies in the USA examining the relationship between ethnicity and colorectal cancer (CRC) identified significant variation. This study sought to examine the relationship between ethnic group, route to diagnosis, early-onset CRC and stage at diagnosis in the English National Health Service.</p><p><strong>Methods: </strong>Data from COloRECTal cancer data Repository for all individuals diagnosed with CRC (International Classification of Diseases version 10, C18-C20) between 2012 and 2017. A descriptive analysis of the characteristics of the study population was performed. Multivariable logistic regression models were used to assess the association between ethnicity, route to diagnosis, stage at diagnosis and early-onset CRC.</p><p><strong>Results: </strong>Early-onset CRC was least common in those in the white ethnic group (5.5% diagnosed <50, vs 17.9% in the Asian, 15.5% in the black and 21.8% in the mixed and multiple ethnic groups, p<0.01). Diagnosis following a 2-week wait referral was significantly less common among individuals from the Asian, black, other and unknown ethnic groups than the white ethnic group (Asian OR 0.84, 95% CI 0.79 to 0.91, black OR 0.86, 95% CI 0.79 to 0.93, other OR 0.81, 95% CI 0.73 to 0.90 and unknown OR 0.70, 95% CI 0.66 to 0.73). The Asian ethnic group had significantly lower odds of emergency diagnosis than the white ethnic group (OR 0.90, 95% CI 0.83 to 0.97). Following adjustment, individuals from the Asian ethnic group were significantly less likely, than their white counterparts, to be diagnosed at stage IV (OR 0.82, 95% CI 0.76 to 0.88).</p><p><strong>Conclusion: </strong>This study identified different demographic profiles of those diagnosed with CRC between broad ethnic groups, highlighting the need to consider access to diagnostic CRC services in the context of ethnicity.</p>","PeriodicalId":9235,"journal":{"name":"BMJ Open Gastroenterology","volume":"12 1","pages":""},"PeriodicalIF":2.9000,"publicationDate":"2025-01-08","publicationTypes":"Journal Article","fieldsOfStudy":null,"isOpenAccess":false,"openAccessPdf":"https://www.ncbi.nlm.nih.gov/pmc/articles/PMC11749721/pdf/","citationCount":"0","resultStr":"{\"title\":\"Inequalities in colorectal cancer diagnosis by ethnic group: a population-level study in the English National Health Service.\",\"authors\":\"Rebecca J Birch, Nick E Burr, John C Taylor, Amy Downing, Phil Quirke, Eva J A Morris, James Turvill, Mo Thoufeeq\",\"doi\":\"10.1136/bmjgast-2024-001629\",\"DOIUrl\":null,\"url\":null,\"abstract\":\"<p><strong>Objective: </strong>Studies in the USA examining the relationship between ethnicity and colorectal cancer (CRC) identified significant variation. This study sought to examine the relationship between ethnic group, route to diagnosis, early-onset CRC and stage at diagnosis in the English National Health Service.</p><p><strong>Methods: </strong>Data from COloRECTal cancer data Repository for all individuals diagnosed with CRC (International Classification of Diseases version 10, C18-C20) between 2012 and 2017. A descriptive analysis of the characteristics of the study population was performed. Multivariable logistic regression models were used to assess the association between ethnicity, route to diagnosis, stage at diagnosis and early-onset CRC.</p><p><strong>Results: </strong>Early-onset CRC was least common in those in the white ethnic group (5.5% diagnosed <50, vs 17.9% in the Asian, 15.5% in the black and 21.8% in the mixed and multiple ethnic groups, p<0.01). Diagnosis following a 2-week wait referral was significantly less common among individuals from the Asian, black, other and unknown ethnic groups than the white ethnic group (Asian OR 0.84, 95% CI 0.79 to 0.91, black OR 0.86, 95% CI 0.79 to 0.93, other OR 0.81, 95% CI 0.73 to 0.90 and unknown OR 0.70, 95% CI 0.66 to 0.73). The Asian ethnic group had significantly lower odds of emergency diagnosis than the white ethnic group (OR 0.90, 95% CI 0.83 to 0.97). Following adjustment, individuals from the Asian ethnic group were significantly less likely, than their white counterparts, to be diagnosed at stage IV (OR 0.82, 95% CI 0.76 to 0.88).</p><p><strong>Conclusion: </strong>This study identified different demographic profiles of those diagnosed with CRC between broad ethnic groups, highlighting the need to consider access to diagnostic CRC services in the context of ethnicity.</p>\",\"PeriodicalId\":9235,\"journal\":{\"name\":\"BMJ Open Gastroenterology\",\"volume\":\"12 1\",\"pages\":\"\"},\"PeriodicalIF\":2.9000,\"publicationDate\":\"2025-01-08\",\"publicationTypes\":\"Journal Article\",\"fieldsOfStudy\":null,\"isOpenAccess\":false,\"openAccessPdf\":\"https://www.ncbi.nlm.nih.gov/pmc/articles/PMC11749721/pdf/\",\"citationCount\":\"0\",\"resultStr\":null,\"platform\":\"Semanticscholar\",\"paperid\":null,\"PeriodicalName\":\"BMJ Open Gastroenterology\",\"FirstCategoryId\":\"1085\",\"ListUrlMain\":\"https://doi.org/10.1136/bmjgast-2024-001629\",\"RegionNum\":0,\"RegionCategory\":null,\"ArticlePicture\":[],\"TitleCN\":null,\"AbstractTextCN\":null,\"PMCID\":null,\"EPubDate\":\"\",\"PubModel\":\"\",\"JCR\":\"Q2\",\"JCRName\":\"GASTROENTEROLOGY & HEPATOLOGY\",\"Score\":null,\"Total\":0}","platform":"Semanticscholar","paperid":null,"PeriodicalName":"BMJ Open Gastroenterology","FirstCategoryId":"1085","ListUrlMain":"https://doi.org/10.1136/bmjgast-2024-001629","RegionNum":0,"RegionCategory":null,"ArticlePicture":[],"TitleCN":null,"AbstractTextCN":null,"PMCID":null,"EPubDate":"","PubModel":"","JCR":"Q2","JCRName":"GASTROENTEROLOGY & HEPATOLOGY","Score":null,"Total":0}
引用次数: 0

摘要

目的:美国研究种族与结直肠癌(CRC)之间的关系发现了显著差异。本研究旨在探讨英国国民健康服务中族群、诊断途径、早发性CRC和诊断阶段之间的关系。方法:收集2012年至2017年结直肠癌数据库(International Classification of Diseases version 10, C18-C20)中所有诊断为结直肠癌的个体的数据。对研究人群的特征进行描述性分析。使用多变量logistic回归模型来评估种族、诊断途径、诊断阶段与早发性CRC之间的关系。结果:早发性结直肠癌在白人人群中最不常见(确诊率为5.5%)。结论:本研究确定了不同种族人群中被诊断为结直肠癌患者的不同人口统计学特征,强调了在种族背景下考虑获得诊断性结直肠癌服务的必要性。
本文章由计算机程序翻译,如有差异,请以英文原文为准。

Inequalities in colorectal cancer diagnosis by ethnic group: a population-level study in the English National Health Service.

Inequalities in colorectal cancer diagnosis by ethnic group: a population-level study in the English National Health Service.

Inequalities in colorectal cancer diagnosis by ethnic group: a population-level study in the English National Health Service.

Inequalities in colorectal cancer diagnosis by ethnic group: a population-level study in the English National Health Service.

Objective: Studies in the USA examining the relationship between ethnicity and colorectal cancer (CRC) identified significant variation. This study sought to examine the relationship between ethnic group, route to diagnosis, early-onset CRC and stage at diagnosis in the English National Health Service.

Methods: Data from COloRECTal cancer data Repository for all individuals diagnosed with CRC (International Classification of Diseases version 10, C18-C20) between 2012 and 2017. A descriptive analysis of the characteristics of the study population was performed. Multivariable logistic regression models were used to assess the association between ethnicity, route to diagnosis, stage at diagnosis and early-onset CRC.

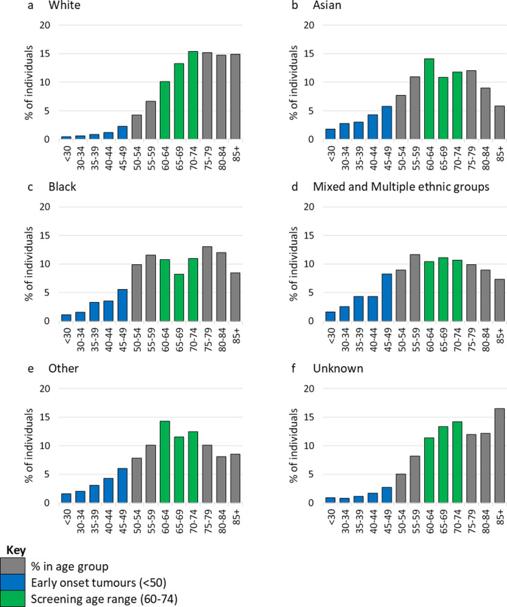
Results: Early-onset CRC was least common in those in the white ethnic group (5.5% diagnosed <50, vs 17.9% in the Asian, 15.5% in the black and 21.8% in the mixed and multiple ethnic groups, p<0.01). Diagnosis following a 2-week wait referral was significantly less common among individuals from the Asian, black, other and unknown ethnic groups than the white ethnic group (Asian OR 0.84, 95% CI 0.79 to 0.91, black OR 0.86, 95% CI 0.79 to 0.93, other OR 0.81, 95% CI 0.73 to 0.90 and unknown OR 0.70, 95% CI 0.66 to 0.73). The Asian ethnic group had significantly lower odds of emergency diagnosis than the white ethnic group (OR 0.90, 95% CI 0.83 to 0.97). Following adjustment, individuals from the Asian ethnic group were significantly less likely, than their white counterparts, to be diagnosed at stage IV (OR 0.82, 95% CI 0.76 to 0.88).

Conclusion: This study identified different demographic profiles of those diagnosed with CRC between broad ethnic groups, highlighting the need to consider access to diagnostic CRC services in the context of ethnicity.

求助全文
通过发布文献求助,成功后即可免费获取论文全文。 去求助
来源期刊
BMJ Open Gastroenterology
BMJ Open Gastroenterology GASTROENTEROLOGY & HEPATOLOGY-
CiteScore
5.90
自引率
3.20%
发文量
68
审稿时长
2 weeks
期刊介绍: BMJ Open Gastroenterology is an online-only, peer-reviewed, open access gastroenterology journal, dedicated to publishing high-quality medical research from all disciplines and therapeutic areas of gastroenterology. It is the open access companion journal of Gut and is co-owned by the British Society of Gastroenterology. The journal publishes all research study types, from study protocols to phase I trials to meta-analyses, including small or specialist studies. Publishing procedures are built around continuous publication, publishing research online as soon as the article is ready.
×
引用
GB/T 7714-2015
复制
MLA
复制
APA
复制
导出至
BibTeX EndNote RefMan NoteFirst NoteExpress
×
提示
您的信息不完整,为了账户安全,请先补充。
现在去补充
×
提示
您因"违规操作"
具体请查看互助需知
我知道了
×
提示
确定
请完成安全验证×
copy
已复制链接
快去分享给好友吧!
我知道了
右上角分享
点击右上角分享
0
联系我们:info@booksci.cn Book学术提供免费学术资源搜索服务,方便国内外学者检索中英文文献。致力于提供最便捷和优质的服务体验。 Copyright © 2023 布克学术 All rights reserved.
京ICP备2023020795号-1
ghs 京公网安备 11010802042870号
Book学术文献互助
Book学术文献互助群
群 号:604180095
Book学术官方微信