在大规模死亡率试验中评估婴儿发育的准确性和可负担性的平衡:一项随机对照试验的二次分析

IF 3.6 2区 医学 Q1 PEDIATRICS
Kristy P Robledo, Ingrid Rieger, Sarah Finlayson, William Tarnow-Mordi, Andrew J Martin
{"title":"在大规模死亡率试验中评估婴儿发育的准确性和可负担性的平衡:一项随机对照试验的二次分析","authors":"Kristy P Robledo, Ingrid Rieger, Sarah Finlayson, William Tarnow-Mordi, Andrew J Martin","doi":"10.1136/archdischild-2024-327762","DOIUrl":null,"url":null,"abstract":"<p><strong>Objective: </strong>Large-scale mortality trials require reliable secondary assessments of impairment. We compared the Ages and Stages Questionnaire (ASQ-3), a screening tool self-administered by parents, in classifying impairment using the 'gold standard' Bayley Scales of Infant Development (Bayley-III), a diagnostic tool administered by trained assessors.</p><p><strong>Design: </strong>Analysis of 405 children around 2 years corrected age from the Australian Placental Transfusion Study, a trial conducted over 8 years.</p><p><strong>Setting: </strong>Secondary analysis of international, open-label, multicentre randomised trial.</p><p><strong>Patients: </strong>Children born <30 weeks gestation.</p><p><strong>Interventions: </strong>Immediate (<10 s) versus delayed (60 s+) cord clamping.</p><p><strong>Main outcomes: </strong>ASQ-3 and Bayley-III assessments around 2 years corrected age. Impairment (or developmental delay) was defined as <2 SD below the mean (<70) for Bayley-III domains.</p><p><strong>Results: </strong>The area under the receiver operating curve for ASQ-3 domains predicting delay was 0.75-0.99. Sensitivity for predicting delay was 57%-100%, while specificity was 88%-90%.We modelled the cost and sample size using a less expensive, though less precise, screening assessment for impairment compared with a more costly diagnostic assessment. For detecting a 25% reduction in the relative risk of delay, using ASQ-3 rather than Bayley-III could require double the sample size (15 000 to 30 000), but outcome assessment cost savings would be US$13M (EUR$12M). However, assessment cost savings may be outweighed by upscaling.</p><p><strong>Conclusions: </strong>When measuring developmental outcomes in a large-scale clinical trial, using a more precise diagnostic tool may be financially prohibitive, so increasing the sample size and using a less precise but appropriately calibrated tool may be more affordable.</p><p><strong>Trial registration number: </strong>ACTRN12610000633088.</p>","PeriodicalId":8177,"journal":{"name":"Archives of Disease in Childhood - Fetal and Neonatal Edition","volume":" ","pages":"409-414"},"PeriodicalIF":3.6000,"publicationDate":"2025-06-19","publicationTypes":"Journal Article","fieldsOfStudy":null,"isOpenAccess":false,"openAccessPdf":"https://www.ncbi.nlm.nih.gov/pmc/articles/PMC12229058/pdf/","citationCount":"0","resultStr":"{\"title\":\"Balancing precision and affordability in assessing infant development in large-scale mortality trials: secondary analysis of a randomised controlled trial.\",\"authors\":\"Kristy P Robledo, Ingrid Rieger, Sarah Finlayson, William Tarnow-Mordi, Andrew J Martin\",\"doi\":\"10.1136/archdischild-2024-327762\",\"DOIUrl\":null,\"url\":null,\"abstract\":\"<p><strong>Objective: </strong>Large-scale mortality trials require reliable secondary assessments of impairment. We compared the Ages and Stages Questionnaire (ASQ-3), a screening tool self-administered by parents, in classifying impairment using the 'gold standard' Bayley Scales of Infant Development (Bayley-III), a diagnostic tool administered by trained assessors.</p><p><strong>Design: </strong>Analysis of 405 children around 2 years corrected age from the Australian Placental Transfusion Study, a trial conducted over 8 years.</p><p><strong>Setting: </strong>Secondary analysis of international, open-label, multicentre randomised trial.</p><p><strong>Patients: </strong>Children born <30 weeks gestation.</p><p><strong>Interventions: </strong>Immediate (<10 s) versus delayed (60 s+) cord clamping.</p><p><strong>Main outcomes: </strong>ASQ-3 and Bayley-III assessments around 2 years corrected age. Impairment (or developmental delay) was defined as <2 SD below the mean (<70) for Bayley-III domains.</p><p><strong>Results: </strong>The area under the receiver operating curve for ASQ-3 domains predicting delay was 0.75-0.99. Sensitivity for predicting delay was 57%-100%, while specificity was 88%-90%.We modelled the cost and sample size using a less expensive, though less precise, screening assessment for impairment compared with a more costly diagnostic assessment. For detecting a 25% reduction in the relative risk of delay, using ASQ-3 rather than Bayley-III could require double the sample size (15 000 to 30 000), but outcome assessment cost savings would be US$13M (EUR$12M). However, assessment cost savings may be outweighed by upscaling.</p><p><strong>Conclusions: </strong>When measuring developmental outcomes in a large-scale clinical trial, using a more precise diagnostic tool may be financially prohibitive, so increasing the sample size and using a less precise but appropriately calibrated tool may be more affordable.</p><p><strong>Trial registration number: </strong>ACTRN12610000633088.</p>\",\"PeriodicalId\":8177,\"journal\":{\"name\":\"Archives of Disease in Childhood - Fetal and Neonatal Edition\",\"volume\":\" \",\"pages\":\"409-414\"},\"PeriodicalIF\":3.6000,\"publicationDate\":\"2025-06-19\",\"publicationTypes\":\"Journal Article\",\"fieldsOfStudy\":null,\"isOpenAccess\":false,\"openAccessPdf\":\"https://www.ncbi.nlm.nih.gov/pmc/articles/PMC12229058/pdf/\",\"citationCount\":\"0\",\"resultStr\":null,\"platform\":\"Semanticscholar\",\"paperid\":null,\"PeriodicalName\":\"Archives of Disease in Childhood - Fetal and Neonatal Edition\",\"FirstCategoryId\":\"3\",\"ListUrlMain\":\"https://doi.org/10.1136/archdischild-2024-327762\",\"RegionNum\":2,\"RegionCategory\":\"医学\",\"ArticlePicture\":[],\"TitleCN\":null,\"AbstractTextCN\":null,\"PMCID\":null,\"EPubDate\":\"\",\"PubModel\":\"\",\"JCR\":\"Q1\",\"JCRName\":\"PEDIATRICS\",\"Score\":null,\"Total\":0}","platform":"Semanticscholar","paperid":null,"PeriodicalName":"Archives of Disease in Childhood - Fetal and Neonatal Edition","FirstCategoryId":"3","ListUrlMain":"https://doi.org/10.1136/archdischild-2024-327762","RegionNum":2,"RegionCategory":"医学","ArticlePicture":[],"TitleCN":null,"AbstractTextCN":null,"PMCID":null,"EPubDate":"","PubModel":"","JCR":"Q1","JCRName":"PEDIATRICS","Score":null,"Total":0}
引用次数: 0

摘要

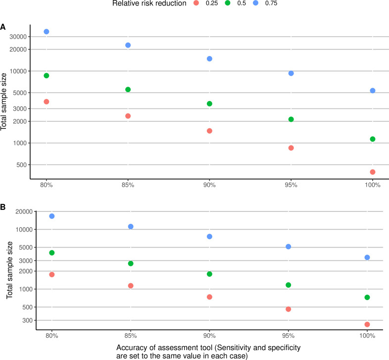
目的:大规模死亡率试验需要对损伤进行可靠的二次评估。我们比较了年龄和阶段问卷(ASQ-3),这是一种由父母自行管理的筛选工具,使用“金标准”贝利婴儿发育量表(贝利- iii)对损伤进行分类,这是一种由训练有素的评估员管理的诊断工具。设计:分析来自澳大利亚胎盘输血研究的405名校正年龄在2岁左右的儿童,这是一项为期8年的试验。背景:国际、开放标签、多中心随机试验的二次分析。干预措施:立即(主要结果:ASQ-3和Bayley-III评估大约矫正年龄2岁。结果:预测发育迟缓的ASQ-3结构域的受试者工作曲线下面积为0.75 ~ 0.99。预测延迟的敏感性为57% ~ 100%,特异性为88% ~ 90%。与成本较高的诊断评估相比,我们采用了成本较低但精度较低的损伤筛查评估方法,对成本和样本量进行了建模。为了检测相对延迟风险降低25%,使用ASQ-3而不是Bayley-III可能需要两倍的样本量(15,000至30,000),但结果评估成本节省将为1300万美元(1200万欧元)。然而,评估成本的节省可能会被升级所抵消。结论:在大规模临床试验中测量发育结果时,使用更精确的诊断工具可能在经济上令人望而却步,因此增加样本量并使用不太精确但经过适当校准的工具可能更实惠。试验注册号:ACTRN12610000633088。
本文章由计算机程序翻译,如有差异,请以英文原文为准。

Balancing precision and affordability in assessing infant development in large-scale mortality trials: secondary analysis of a randomised controlled trial.

Balancing precision and affordability in assessing infant development in large-scale mortality trials: secondary analysis of a randomised controlled trial.

Balancing precision and affordability in assessing infant development in large-scale mortality trials: secondary analysis of a randomised controlled trial.

Balancing precision and affordability in assessing infant development in large-scale mortality trials: secondary analysis of a randomised controlled trial.

Objective: Large-scale mortality trials require reliable secondary assessments of impairment. We compared the Ages and Stages Questionnaire (ASQ-3), a screening tool self-administered by parents, in classifying impairment using the 'gold standard' Bayley Scales of Infant Development (Bayley-III), a diagnostic tool administered by trained assessors.

Design: Analysis of 405 children around 2 years corrected age from the Australian Placental Transfusion Study, a trial conducted over 8 years.

Setting: Secondary analysis of international, open-label, multicentre randomised trial.

Patients: Children born <30 weeks gestation.

Interventions: Immediate (<10 s) versus delayed (60 s+) cord clamping.

Main outcomes: ASQ-3 and Bayley-III assessments around 2 years corrected age. Impairment (or developmental delay) was defined as <2 SD below the mean (<70) for Bayley-III domains.

Results: The area under the receiver operating curve for ASQ-3 domains predicting delay was 0.75-0.99. Sensitivity for predicting delay was 57%-100%, while specificity was 88%-90%.We modelled the cost and sample size using a less expensive, though less precise, screening assessment for impairment compared with a more costly diagnostic assessment. For detecting a 25% reduction in the relative risk of delay, using ASQ-3 rather than Bayley-III could require double the sample size (15 000 to 30 000), but outcome assessment cost savings would be US$13M (EUR$12M). However, assessment cost savings may be outweighed by upscaling.

Conclusions: When measuring developmental outcomes in a large-scale clinical trial, using a more precise diagnostic tool may be financially prohibitive, so increasing the sample size and using a less precise but appropriately calibrated tool may be more affordable.

Trial registration number: ACTRN12610000633088.

求助全文
通过发布文献求助,成功后即可免费获取论文全文。 去求助
来源期刊
CiteScore
9.00
自引率
4.50%
发文量
90
审稿时长
6-12 weeks
期刊介绍: Archives of Disease in Childhood is an international peer review journal that aims to keep paediatricians and others up to date with advances in the diagnosis and treatment of childhood diseases as well as advocacy issues such as child protection. It focuses on all aspects of child health and disease from the perinatal period (in the Fetal and Neonatal edition) through to adolescence. ADC includes original research reports, commentaries, reviews of clinical and policy issues, and evidence reports. Areas covered include: community child health, public health, epidemiology, acute paediatrics, advocacy, and ethics.
×
引用
GB/T 7714-2015
复制
MLA
复制
APA
复制
导出至
BibTeX EndNote RefMan NoteFirst NoteExpress
×
提示
您的信息不完整,为了账户安全,请先补充。
现在去补充
×
提示
您因"违规操作"
具体请查看互助需知
我知道了
×
提示
确定
请完成安全验证×
copy
已复制链接
快去分享给好友吧!
我知道了
右上角分享
点击右上角分享
0
联系我们:info@booksci.cn Book学术提供免费学术资源搜索服务,方便国内外学者检索中英文文献。致力于提供最便捷和优质的服务体验。 Copyright © 2023 布克学术 All rights reserved.
京ICP备2023020795号-1
ghs 京公网安备 11010802042870号
Book学术文献互助
Book学术文献互助群
群 号:604180095
Book学术官方微信