基于剥离算法的广义线性模型因果发现。

IF 5.2 3区 计算机科学 Q1 AUTOMATION & CONTROL SYSTEMS
Journal of Machine Learning Research Pub Date : 2024-01-01
Minjie Wang, Xiaotong Shen, Wei Pan
{"title":"基于剥离算法的广义线性模型因果发现。","authors":"Minjie Wang, Xiaotong Shen, Wei Pan","doi":"","DOIUrl":null,"url":null,"abstract":"<p><p>This article presents a novel method for causal discovery with generalized structural equation models suited for analyzing diverse types of outcomes, including discrete, continuous, and mixed data. Causal discovery often faces challenges due to unmeasured confounders that hinder the identification of causal relationships. The proposed approach addresses this issue by developing two peeling algorithms (bottom-up and top-down) to ascertain causal relationships and valid instruments. This approach first reconstructs a super-graph to represent ancestral relationships between variables, using a peeling algorithm based on nodewise GLM regressions that exploit relationships between primary and instrumental variables. Then, it estimates parent-child effects from the ancestral relationships using another peeling algorithm while deconfounding a child's model with information borrowed from its parents' models. The article offers a theoretical analysis of the proposed approach, establishing conditions for model identifiability and providing statistical guarantees for accurately discovering parent-child relationships via the peeling algorithms. Furthermore, the article presents numerical experiments showcasing the effectiveness of our approach in comparison to state-of-the-art structure learning methods without confounders. Lastly, it demonstrates an application to Alzheimer's disease (AD), highlighting the method's utility in constructing gene-to-gene and gene-to-disease regulatory networks involving Single Nucleotide Polymorphisms (SNPs) for healthy and AD subjects.</p>","PeriodicalId":50161,"journal":{"name":"Journal of Machine Learning Research","volume":"25 ","pages":""},"PeriodicalIF":5.2000,"publicationDate":"2024-01-01","publicationTypes":"Journal Article","fieldsOfStudy":null,"isOpenAccess":false,"openAccessPdf":"https://www.ncbi.nlm.nih.gov/pmc/articles/PMC11699566/pdf/","citationCount":"0","resultStr":"{\"title\":\"Causal Discovery with Generalized Linear Models through Peeling Algorithms.\",\"authors\":\"Minjie Wang, Xiaotong Shen, Wei Pan\",\"doi\":\"\",\"DOIUrl\":null,\"url\":null,\"abstract\":\"<p><p>This article presents a novel method for causal discovery with generalized structural equation models suited for analyzing diverse types of outcomes, including discrete, continuous, and mixed data. Causal discovery often faces challenges due to unmeasured confounders that hinder the identification of causal relationships. The proposed approach addresses this issue by developing two peeling algorithms (bottom-up and top-down) to ascertain causal relationships and valid instruments. This approach first reconstructs a super-graph to represent ancestral relationships between variables, using a peeling algorithm based on nodewise GLM regressions that exploit relationships between primary and instrumental variables. Then, it estimates parent-child effects from the ancestral relationships using another peeling algorithm while deconfounding a child's model with information borrowed from its parents' models. The article offers a theoretical analysis of the proposed approach, establishing conditions for model identifiability and providing statistical guarantees for accurately discovering parent-child relationships via the peeling algorithms. Furthermore, the article presents numerical experiments showcasing the effectiveness of our approach in comparison to state-of-the-art structure learning methods without confounders. Lastly, it demonstrates an application to Alzheimer's disease (AD), highlighting the method's utility in constructing gene-to-gene and gene-to-disease regulatory networks involving Single Nucleotide Polymorphisms (SNPs) for healthy and AD subjects.</p>\",\"PeriodicalId\":50161,\"journal\":{\"name\":\"Journal of Machine Learning Research\",\"volume\":\"25 \",\"pages\":\"\"},\"PeriodicalIF\":5.2000,\"publicationDate\":\"2024-01-01\",\"publicationTypes\":\"Journal Article\",\"fieldsOfStudy\":null,\"isOpenAccess\":false,\"openAccessPdf\":\"https://www.ncbi.nlm.nih.gov/pmc/articles/PMC11699566/pdf/\",\"citationCount\":\"0\",\"resultStr\":null,\"platform\":\"Semanticscholar\",\"paperid\":null,\"PeriodicalName\":\"Journal of Machine Learning Research\",\"FirstCategoryId\":\"94\",\"ListUrlMain\":\"\",\"RegionNum\":3,\"RegionCategory\":\"计算机科学\",\"ArticlePicture\":[],\"TitleCN\":null,\"AbstractTextCN\":null,\"PMCID\":null,\"EPubDate\":\"\",\"PubModel\":\"\",\"JCR\":\"Q1\",\"JCRName\":\"AUTOMATION & CONTROL SYSTEMS\",\"Score\":null,\"Total\":0}","platform":"Semanticscholar","paperid":null,"PeriodicalName":"Journal of Machine Learning Research","FirstCategoryId":"94","ListUrlMain":"","RegionNum":3,"RegionCategory":"计算机科学","ArticlePicture":[],"TitleCN":null,"AbstractTextCN":null,"PMCID":null,"EPubDate":"","PubModel":"","JCR":"Q1","JCRName":"AUTOMATION & CONTROL SYSTEMS","Score":null,"Total":0}
引用次数: 0

摘要

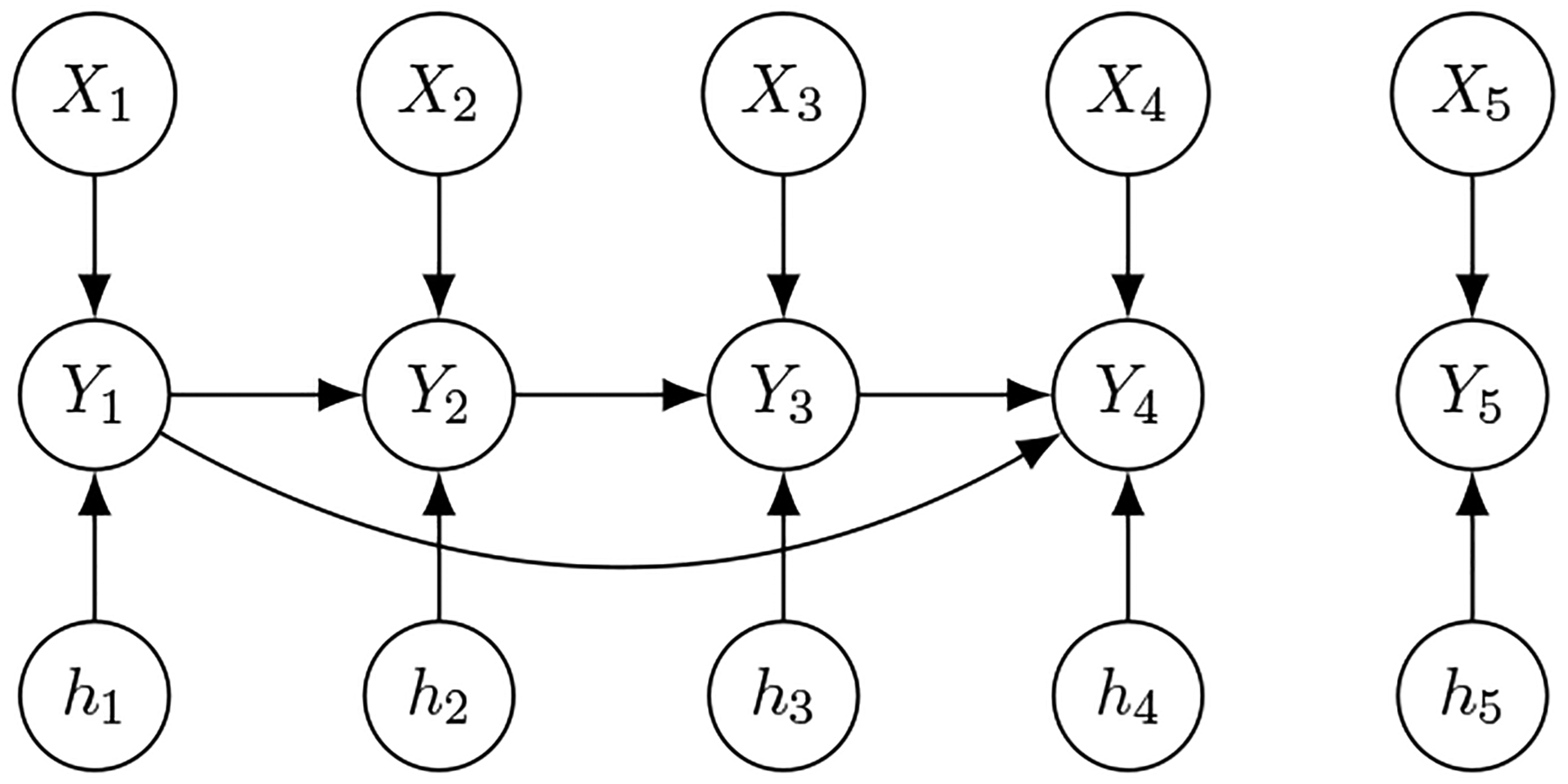
本文提出了一种新的方法,适用于分析不同类型的结果,包括离散,连续和混合数据的广义结构方程模型的因果发现。由于无法测量的混杂因素阻碍了因果关系的识别,因果发现经常面临挑战。提出的方法通过开发两种剥离算法(自下而上和自上而下)来确定因果关系和有效工具来解决这一问题。该方法首先重建一个超级图来表示变量之间的祖先关系,使用基于节点的GLM回归的剥离算法,该算法利用主要变量和工具变量之间的关系。然后,它使用另一种剥离算法从祖先关系中估计亲子效应,同时用从父母模型中借来的信息解构孩子的模型。本文对本文提出的方法进行了理论分析,建立了模型可识别的条件,并为通过剥离算法准确发现亲子关系提供了统计保证。此外,本文还介绍了数值实验,与没有混杂因素的最先进的结构学习方法相比,展示了我们的方法的有效性。最后,它展示了在阿尔茨海默病(AD)中的应用,突出了该方法在构建涉及健康和阿尔茨海默病受试者的单核苷酸多态性(snp)的基因到基因和基因到疾病调控网络中的实用性。
本文章由计算机程序翻译,如有差异,请以英文原文为准。

Causal Discovery with Generalized Linear Models through Peeling Algorithms.

Causal Discovery with Generalized Linear Models through Peeling Algorithms.

Causal Discovery with Generalized Linear Models through Peeling Algorithms.

This article presents a novel method for causal discovery with generalized structural equation models suited for analyzing diverse types of outcomes, including discrete, continuous, and mixed data. Causal discovery often faces challenges due to unmeasured confounders that hinder the identification of causal relationships. The proposed approach addresses this issue by developing two peeling algorithms (bottom-up and top-down) to ascertain causal relationships and valid instruments. This approach first reconstructs a super-graph to represent ancestral relationships between variables, using a peeling algorithm based on nodewise GLM regressions that exploit relationships between primary and instrumental variables. Then, it estimates parent-child effects from the ancestral relationships using another peeling algorithm while deconfounding a child's model with information borrowed from its parents' models. The article offers a theoretical analysis of the proposed approach, establishing conditions for model identifiability and providing statistical guarantees for accurately discovering parent-child relationships via the peeling algorithms. Furthermore, the article presents numerical experiments showcasing the effectiveness of our approach in comparison to state-of-the-art structure learning methods without confounders. Lastly, it demonstrates an application to Alzheimer's disease (AD), highlighting the method's utility in constructing gene-to-gene and gene-to-disease regulatory networks involving Single Nucleotide Polymorphisms (SNPs) for healthy and AD subjects.

求助全文
通过发布文献求助,成功后即可免费获取论文全文。 去求助
来源期刊
Journal of Machine Learning Research
Journal of Machine Learning Research 工程技术-计算机:人工智能
CiteScore
18.80
自引率
0.00%
发文量
2
审稿时长
3 months
期刊介绍: The Journal of Machine Learning Research (JMLR) provides an international forum for the electronic and paper publication of high-quality scholarly articles in all areas of machine learning. All published papers are freely available online. JMLR has a commitment to rigorous yet rapid reviewing. JMLR seeks previously unpublished papers on machine learning that contain: new principled algorithms with sound empirical validation, and with justification of theoretical, psychological, or biological nature; experimental and/or theoretical studies yielding new insight into the design and behavior of learning in intelligent systems; accounts of applications of existing techniques that shed light on the strengths and weaknesses of the methods; formalization of new learning tasks (e.g., in the context of new applications) and of methods for assessing performance on those tasks; development of new analytical frameworks that advance theoretical studies of practical learning methods; computational models of data from natural learning systems at the behavioral or neural level; or extremely well-written surveys of existing work.
×
引用
GB/T 7714-2015
复制
MLA
复制
APA
复制
导出至
BibTeX EndNote RefMan NoteFirst NoteExpress
×
提示
您的信息不完整,为了账户安全,请先补充。
现在去补充
×
提示
您因"违规操作"
具体请查看互助需知
我知道了
×
提示
确定
请完成安全验证×
copy
已复制链接
快去分享给好友吧!
我知道了
右上角分享
点击右上角分享
0
联系我们:info@booksci.cn Book学术提供免费学术资源搜索服务,方便国内外学者检索中英文文献。致力于提供最便捷和优质的服务体验。 Copyright © 2023 布克学术 All rights reserved.
京ICP备2023020795号-1
ghs 京公网安备 11010802042870号
Book学术文献互助
Book学术文献互助群
群 号:604180095
Book学术官方微信