iGlarLixi在2型糖尿病患者基础胰岛素和口服降糖治疗中的有效性和安全性:一项前瞻性观察性试验

IF 5.7 2区 医学 Q1 ENDOCRINOLOGY & METABOLISM
Jochen Seufert MD, Tobias Wiesner MD, Katrin Pegelow PhD, Julia Kenzler PhD, Martin Pfohl MD
{"title":"iGlarLixi在2型糖尿病患者基础胰岛素和口服降糖治疗中的有效性和安全性:一项前瞻性观察性试验","authors":"Jochen Seufert MD,&nbsp;Tobias Wiesner MD,&nbsp;Katrin Pegelow PhD,&nbsp;Julia Kenzler PhD,&nbsp;Martin Pfohl MD","doi":"10.1111/dom.16161","DOIUrl":null,"url":null,"abstract":"<div>\n \n \n <section>\n \n <h3> Aims</h3>\n \n <p>This study assessed efficacy and safety of the fixed ratio combination iGlarLixi 100/33 (insulin glargine 100 U/mL plus lixisenatide 33 μg/mL) in people with type 2 diabetes (PwT2D) in daily clinical practice.</p>\n </section>\n \n <section>\n \n <h3> Materials and Methods</h3>\n \n <p>This non-interventional, multicentre, prospective, single-arm 24-week study documented PwT2D with an HbA1c of 7.5%–10.0%, currently treated with a basal insulin supported oral therapy (BOT) in German primary care facilities, after the physician had decided to change treatment to iGlarLixi 100/33, independent of study participation. Primary end-point was the absolute change in HbA1c (%) from baseline.</p>\n </section>\n \n <section>\n \n <h3> Results</h3>\n \n <p>Of 93 participants included, 70 comprised the full analysis set for efficacy assessment. Approximately 24 weeks after switching to iGlarLixi 100/33 HbA1c (mean ± standard deviation) changed from 8.52 ± 0.82% by −0.74 ± 0.81% to 7.74 ± 0.76%, FPG from 174.3 ± 44.6 mg/dL (9.67 ± 2.48 mmol/L) by −32.9 ± 46.3 mg/dL (−1.83 ± 2.57 mmol/L) to 141.4 ± 34.1 mg/dL (7.85 ± 1.89 mmol/L) and body weight from 104.3 ± 22.5 kg by −3.0 ± 7.5 kg to 101.3 ± 21.6 kg (all <i>p</i> &lt; 0.01). Furthermore, use of DPP4 inhibitors was significantly reduced from 34.8% to 6.8% of participants. Derived (from 7-point self-measured plasma glucose) time in range (TIR) increased and time above range (TAR) decreased after 24 weeks to target ranges (all <i>p</i> &lt; 0.05). Flash glucose monitoring data of 20 patients showed similar patterns for TIR and TAR, respectively, and a reduction in time below range (<i>p</i> = 0.007). Hypoglycaemia events did not change significantly and were low in number. No severe hypoglycaemia was reported.</p>\n </section>\n \n <section>\n \n <h3> Conclusions</h3>\n \n <p>Modifying antiglycaemic treatment from a BOT regimen to iGlarLixi 100/33 in suboptimal controlled PwT2D in daily clinical practice improved glycaemic control without increasing hypoglycaemia and with favourable body weight change.</p>\n </section>\n </div>","PeriodicalId":158,"journal":{"name":"Diabetes, Obesity & Metabolism","volume":"27 3","pages":"1526-1535"},"PeriodicalIF":5.7000,"publicationDate":"2025-01-06","publicationTypes":"Journal Article","fieldsOfStudy":null,"isOpenAccess":false,"openAccessPdf":"https://onlinelibrary.wiley.com/doi/epdf/10.1111/dom.16161","citationCount":"0","resultStr":"{\"title\":\"Effectiveness and safety of iGlarLixi in people with type 2 diabetes not at target on basal insulin and oral antidiabetic therapy in a prospective observational trial\",\"authors\":\"Jochen Seufert MD,&nbsp;Tobias Wiesner MD,&nbsp;Katrin Pegelow PhD,&nbsp;Julia Kenzler PhD,&nbsp;Martin Pfohl MD\",\"doi\":\"10.1111/dom.16161\",\"DOIUrl\":null,\"url\":null,\"abstract\":\"<div>\\n \\n \\n <section>\\n \\n <h3> Aims</h3>\\n \\n <p>This study assessed efficacy and safety of the fixed ratio combination iGlarLixi 100/33 (insulin glargine 100 U/mL plus lixisenatide 33 μg/mL) in people with type 2 diabetes (PwT2D) in daily clinical practice.</p>\\n </section>\\n \\n <section>\\n \\n <h3> Materials and Methods</h3>\\n \\n <p>This non-interventional, multicentre, prospective, single-arm 24-week study documented PwT2D with an HbA1c of 7.5%–10.0%, currently treated with a basal insulin supported oral therapy (BOT) in German primary care facilities, after the physician had decided to change treatment to iGlarLixi 100/33, independent of study participation. Primary end-point was the absolute change in HbA1c (%) from baseline.</p>\\n </section>\\n \\n <section>\\n \\n <h3> Results</h3>\\n \\n <p>Of 93 participants included, 70 comprised the full analysis set for efficacy assessment. Approximately 24 weeks after switching to iGlarLixi 100/33 HbA1c (mean ± standard deviation) changed from 8.52 ± 0.82% by −0.74 ± 0.81% to 7.74 ± 0.76%, FPG from 174.3 ± 44.6 mg/dL (9.67 ± 2.48 mmol/L) by −32.9 ± 46.3 mg/dL (−1.83 ± 2.57 mmol/L) to 141.4 ± 34.1 mg/dL (7.85 ± 1.89 mmol/L) and body weight from 104.3 ± 22.5 kg by −3.0 ± 7.5 kg to 101.3 ± 21.6 kg (all <i>p</i> &lt; 0.01). Furthermore, use of DPP4 inhibitors was significantly reduced from 34.8% to 6.8% of participants. Derived (from 7-point self-measured plasma glucose) time in range (TIR) increased and time above range (TAR) decreased after 24 weeks to target ranges (all <i>p</i> &lt; 0.05). Flash glucose monitoring data of 20 patients showed similar patterns for TIR and TAR, respectively, and a reduction in time below range (<i>p</i> = 0.007). Hypoglycaemia events did not change significantly and were low in number. No severe hypoglycaemia was reported.</p>\\n </section>\\n \\n <section>\\n \\n <h3> Conclusions</h3>\\n \\n <p>Modifying antiglycaemic treatment from a BOT regimen to iGlarLixi 100/33 in suboptimal controlled PwT2D in daily clinical practice improved glycaemic control without increasing hypoglycaemia and with favourable body weight change.</p>\\n </section>\\n </div>\",\"PeriodicalId\":158,\"journal\":{\"name\":\"Diabetes, Obesity & Metabolism\",\"volume\":\"27 3\",\"pages\":\"1526-1535\"},\"PeriodicalIF\":5.7000,\"publicationDate\":\"2025-01-06\",\"publicationTypes\":\"Journal Article\",\"fieldsOfStudy\":null,\"isOpenAccess\":false,\"openAccessPdf\":\"https://onlinelibrary.wiley.com/doi/epdf/10.1111/dom.16161\",\"citationCount\":\"0\",\"resultStr\":null,\"platform\":\"Semanticscholar\",\"paperid\":null,\"PeriodicalName\":\"Diabetes, Obesity & Metabolism\",\"FirstCategoryId\":\"3\",\"ListUrlMain\":\"https://dom-pubs.onlinelibrary.wiley.com/doi/10.1111/dom.16161\",\"RegionNum\":2,\"RegionCategory\":\"医学\",\"ArticlePicture\":[],\"TitleCN\":null,\"AbstractTextCN\":null,\"PMCID\":null,\"EPubDate\":\"\",\"PubModel\":\"\",\"JCR\":\"Q1\",\"JCRName\":\"ENDOCRINOLOGY & METABOLISM\",\"Score\":null,\"Total\":0}","platform":"Semanticscholar","paperid":null,"PeriodicalName":"Diabetes, Obesity & Metabolism","FirstCategoryId":"3","ListUrlMain":"https://dom-pubs.onlinelibrary.wiley.com/doi/10.1111/dom.16161","RegionNum":2,"RegionCategory":"医学","ArticlePicture":[],"TitleCN":null,"AbstractTextCN":null,"PMCID":null,"EPubDate":"","PubModel":"","JCR":"Q1","JCRName":"ENDOCRINOLOGY & METABOLISM","Score":null,"Total":0}
引用次数: 0

摘要

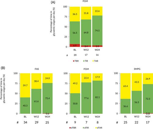
目的:在日常临床实践中评价iGlarLixi 100/33(甘精胰岛素100 U/mL +利昔那肽33 μg/mL)固定比例组合治疗2型糖尿病(PwT2D)的疗效和安全性。材料和方法:这项非介入性、多中心、前瞻性、单组24周的研究记录了HbA1c为7.5%-10.0%的PwT2D,目前在德国初级保健机构接受基础胰岛素支持口服治疗(BOT),在医生决定将治疗改为iGlarLixi 100/33后,独立于研究参与。主要终点是HbA1c从基线的绝对变化(%)。结果:纳入的93名受试者中,70名纳入了疗效评估的完整分析集。大约24周后,iGlarLixi 100/33 HbA1c(平均±标准差)从8.52±0.82%下降-0.74±0.81%降至7.74±0.76%,FPG从174.3±44.6 mg/dL(9.67±2.48 mmol/L)下降-32.9±46.3 mg/dL(-1.83±2.57 mmol/L)下降至141.4±34.1 mg/dL(7.85±1.89 mmol/L),体重从104.3±22.5 kg下降-3.0±7.5 kg至101.3±21.6 kg(均为p)。在日常临床实践中,将控制不佳的PwT2D患者的降糖治疗从BOT方案改为iGlarLixi 100/33,改善了血糖控制,而没有增加低血糖,并有良好的体重变化。
本文章由计算机程序翻译,如有差异,请以英文原文为准。

Effectiveness and safety of iGlarLixi in people with type 2 diabetes not at target on basal insulin and oral antidiabetic therapy in a prospective observational trial

Effectiveness and safety of iGlarLixi in people with type 2 diabetes not at target on basal insulin and oral antidiabetic therapy in a prospective observational trial

Effectiveness and safety of iGlarLixi in people with type 2 diabetes not at target on basal insulin and oral antidiabetic therapy in a prospective observational trial

Effectiveness and safety of iGlarLixi in people with type 2 diabetes not at target on basal insulin and oral antidiabetic therapy in a prospective observational trial

Effectiveness and safety of iGlarLixi in people with type 2 diabetes not at target on basal insulin and oral antidiabetic therapy in a prospective observational trial

Aims

This study assessed efficacy and safety of the fixed ratio combination iGlarLixi 100/33 (insulin glargine 100 U/mL plus lixisenatide 33 μg/mL) in people with type 2 diabetes (PwT2D) in daily clinical practice.

Materials and Methods

This non-interventional, multicentre, prospective, single-arm 24-week study documented PwT2D with an HbA1c of 7.5%–10.0%, currently treated with a basal insulin supported oral therapy (BOT) in German primary care facilities, after the physician had decided to change treatment to iGlarLixi 100/33, independent of study participation. Primary end-point was the absolute change in HbA1c (%) from baseline.

Results

Of 93 participants included, 70 comprised the full analysis set for efficacy assessment. Approximately 24 weeks after switching to iGlarLixi 100/33 HbA1c (mean ± standard deviation) changed from 8.52 ± 0.82% by −0.74 ± 0.81% to 7.74 ± 0.76%, FPG from 174.3 ± 44.6 mg/dL (9.67 ± 2.48 mmol/L) by −32.9 ± 46.3 mg/dL (−1.83 ± 2.57 mmol/L) to 141.4 ± 34.1 mg/dL (7.85 ± 1.89 mmol/L) and body weight from 104.3 ± 22.5 kg by −3.0 ± 7.5 kg to 101.3 ± 21.6 kg (all p < 0.01). Furthermore, use of DPP4 inhibitors was significantly reduced from 34.8% to 6.8% of participants. Derived (from 7-point self-measured plasma glucose) time in range (TIR) increased and time above range (TAR) decreased after 24 weeks to target ranges (all p < 0.05). Flash glucose monitoring data of 20 patients showed similar patterns for TIR and TAR, respectively, and a reduction in time below range (p = 0.007). Hypoglycaemia events did not change significantly and were low in number. No severe hypoglycaemia was reported.

Conclusions

Modifying antiglycaemic treatment from a BOT regimen to iGlarLixi 100/33 in suboptimal controlled PwT2D in daily clinical practice improved glycaemic control without increasing hypoglycaemia and with favourable body weight change.

求助全文
通过发布文献求助,成功后即可免费获取论文全文。 去求助
来源期刊
Diabetes, Obesity & Metabolism
Diabetes, Obesity & Metabolism 医学-内分泌学与代谢
CiteScore
10.90
自引率
6.90%
发文量
319
审稿时长
3-8 weeks
期刊介绍: Diabetes, Obesity and Metabolism is primarily a journal of clinical and experimental pharmacology and therapeutics covering the interrelated areas of diabetes, obesity and metabolism. The journal prioritises high-quality original research that reports on the effects of new or existing therapies, including dietary, exercise and lifestyle (non-pharmacological) interventions, in any aspect of metabolic and endocrine disease, either in humans or animal and cellular systems. ‘Metabolism’ may relate to lipids, bone and drug metabolism, or broader aspects of endocrine dysfunction. Preclinical pharmacology, pharmacokinetic studies, meta-analyses and those addressing drug safety and tolerability are also highly suitable for publication in this journal. Original research may be published as a main paper or as a research letter.
×
引用
GB/T 7714-2015
复制
MLA
复制
APA
复制
导出至
BibTeX EndNote RefMan NoteFirst NoteExpress
×
提示
您的信息不完整,为了账户安全,请先补充。
现在去补充
×
提示
您因"违规操作"
具体请查看互助需知
我知道了
×
提示
确定
请完成安全验证×
copy
已复制链接
快去分享给好友吧!
我知道了
右上角分享
点击右上角分享
0
联系我们:info@booksci.cn Book学术提供免费学术资源搜索服务,方便国内外学者检索中英文文献。致力于提供最便捷和优质的服务体验。 Copyright © 2023 布克学术 All rights reserved.
京ICP备2023020795号-1
ghs 京公网安备 11010802042870号
Book学术文献互助
Book学术文献互助群
群 号:604180095
Book学术官方微信