危重疾病相关继发性硬化性胆管炎患者无移植生存的预后因素

IF 2.9 Q2 GASTROENTEROLOGY & HEPATOLOGY
Georgios Konstantis, Dorsa Ghaffar Loy Moghadam, Alexandra Frey, Nargiz Nuruzade, Christoph Schramm, Christian Gerges, Christian M Lange, Hartmut Schmidt, Katharina Willuweit, Alisan Kahraman, Moritz Passenberg, Jassin Rashidi-Alavijeh
{"title":"危重疾病相关继发性硬化性胆管炎患者无移植生存的预后因素","authors":"Georgios Konstantis, Dorsa Ghaffar Loy Moghadam, Alexandra Frey, Nargiz Nuruzade, Christoph Schramm, Christian Gerges, Christian M Lange, Hartmut Schmidt, Katharina Willuweit, Alisan Kahraman, Moritz Passenberg, Jassin Rashidi-Alavijeh","doi":"10.1136/bmjgast-2024-001571","DOIUrl":null,"url":null,"abstract":"<p><strong>Objective: </strong>Secondary sclerosing cholangitis (SSC) represents a disease with a poor prognosis increasingly diagnosed in clinical settings. Notably, SSC in critically ill patients (SSC-CIP) is the most frequent cause. Variables associated with worse prognosis remain unclear. The primary aim of this study was to identify factors associated with transplant-free survival in SSC-CIP patients using readily available data.</p><p><strong>Methods: </strong>A cohort of 47 patients diagnosed with SSC-CIP was retrospectively analysed for clinical, biochemical and endoscopic variables. Kaplan-Meier survival curves, log-rank tests and univariate Cox proportional hazards models were used to assess associations with transplant-free survival. A multivariable Cox regression model was constructed using Lasso regularisation and validated with Bootstrap resampling. Model performance was assessed using the C-statistic for discrimination.</p><p><strong>Results: </strong>Kaplan-Meier analysis identified bile duct obstruction requiring stent placement, and cholangitis episodes, as significant prognostic factors. In univariable analysis, age over 47 years (HR 2.61 (95% CI 1.02, 7.06), p=0.04), at least one cholangitis episode (HR 2.46 (95% CI 1.005, 6.06), p=0.04), stent placement (HR 2.89 (95% CI 1.13, 7.38), p=0.03), lower albumin levels (HR 0.52 (95% CI 0.28, 0.97), p=0.04) and higher international normalised ratio (INR) (HR 3.22 (95% CI 1.09, 9.53), p=0.03) were significant. Multivariable analysis showed that age at diagnosis, albumin and INR were significant independent predictors. The C-index was 0.78 (95% CI 0.65, 0.91), surpassing the model of end-stage liver disease score's prognostic accuracy (Concordance Index at 3 years: 66.2% vs 74.9%).</p><p><strong>Conclusion: </strong>These findings provide valuable insights for establishing standard exception criteria for this rare liver disease, which could lead to improved organ allocation. Further prospective multicentre studies are necessary to validate our findings.</p>","PeriodicalId":9235,"journal":{"name":"BMJ Open Gastroenterology","volume":"12 1","pages":""},"PeriodicalIF":2.9000,"publicationDate":"2025-01-04","publicationTypes":"Journal Article","fieldsOfStudy":null,"isOpenAccess":false,"openAccessPdf":"https://www.ncbi.nlm.nih.gov/pmc/articles/PMC11748924/pdf/","citationCount":"0","resultStr":"{\"title\":\"Prognostic factors for transplant-free survival in patients with secondary sclerosing cholangitis associated with critical illness.\",\"authors\":\"Georgios Konstantis, Dorsa Ghaffar Loy Moghadam, Alexandra Frey, Nargiz Nuruzade, Christoph Schramm, Christian Gerges, Christian M Lange, Hartmut Schmidt, Katharina Willuweit, Alisan Kahraman, Moritz Passenberg, Jassin Rashidi-Alavijeh\",\"doi\":\"10.1136/bmjgast-2024-001571\",\"DOIUrl\":null,\"url\":null,\"abstract\":\"<p><strong>Objective: </strong>Secondary sclerosing cholangitis (SSC) represents a disease with a poor prognosis increasingly diagnosed in clinical settings. Notably, SSC in critically ill patients (SSC-CIP) is the most frequent cause. Variables associated with worse prognosis remain unclear. The primary aim of this study was to identify factors associated with transplant-free survival in SSC-CIP patients using readily available data.</p><p><strong>Methods: </strong>A cohort of 47 patients diagnosed with SSC-CIP was retrospectively analysed for clinical, biochemical and endoscopic variables. Kaplan-Meier survival curves, log-rank tests and univariate Cox proportional hazards models were used to assess associations with transplant-free survival. A multivariable Cox regression model was constructed using Lasso regularisation and validated with Bootstrap resampling. Model performance was assessed using the C-statistic for discrimination.</p><p><strong>Results: </strong>Kaplan-Meier analysis identified bile duct obstruction requiring stent placement, and cholangitis episodes, as significant prognostic factors. In univariable analysis, age over 47 years (HR 2.61 (95% CI 1.02, 7.06), p=0.04), at least one cholangitis episode (HR 2.46 (95% CI 1.005, 6.06), p=0.04), stent placement (HR 2.89 (95% CI 1.13, 7.38), p=0.03), lower albumin levels (HR 0.52 (95% CI 0.28, 0.97), p=0.04) and higher international normalised ratio (INR) (HR 3.22 (95% CI 1.09, 9.53), p=0.03) were significant. Multivariable analysis showed that age at diagnosis, albumin and INR were significant independent predictors. The C-index was 0.78 (95% CI 0.65, 0.91), surpassing the model of end-stage liver disease score's prognostic accuracy (Concordance Index at 3 years: 66.2% vs 74.9%).</p><p><strong>Conclusion: </strong>These findings provide valuable insights for establishing standard exception criteria for this rare liver disease, which could lead to improved organ allocation. Further prospective multicentre studies are necessary to validate our findings.</p>\",\"PeriodicalId\":9235,\"journal\":{\"name\":\"BMJ Open Gastroenterology\",\"volume\":\"12 1\",\"pages\":\"\"},\"PeriodicalIF\":2.9000,\"publicationDate\":\"2025-01-04\",\"publicationTypes\":\"Journal Article\",\"fieldsOfStudy\":null,\"isOpenAccess\":false,\"openAccessPdf\":\"https://www.ncbi.nlm.nih.gov/pmc/articles/PMC11748924/pdf/\",\"citationCount\":\"0\",\"resultStr\":null,\"platform\":\"Semanticscholar\",\"paperid\":null,\"PeriodicalName\":\"BMJ Open Gastroenterology\",\"FirstCategoryId\":\"1085\",\"ListUrlMain\":\"https://doi.org/10.1136/bmjgast-2024-001571\",\"RegionNum\":0,\"RegionCategory\":null,\"ArticlePicture\":[],\"TitleCN\":null,\"AbstractTextCN\":null,\"PMCID\":null,\"EPubDate\":\"\",\"PubModel\":\"\",\"JCR\":\"Q2\",\"JCRName\":\"GASTROENTEROLOGY & HEPATOLOGY\",\"Score\":null,\"Total\":0}","platform":"Semanticscholar","paperid":null,"PeriodicalName":"BMJ Open Gastroenterology","FirstCategoryId":"1085","ListUrlMain":"https://doi.org/10.1136/bmjgast-2024-001571","RegionNum":0,"RegionCategory":null,"ArticlePicture":[],"TitleCN":null,"AbstractTextCN":null,"PMCID":null,"EPubDate":"","PubModel":"","JCR":"Q2","JCRName":"GASTROENTEROLOGY & HEPATOLOGY","Score":null,"Total":0}
引用次数: 0

摘要

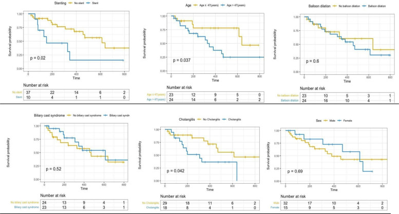
目的:继发性硬化性胆管炎(SSC继发性硬化性胆管炎(SSC)是一种预后不良的疾病,在临床上的诊断率越来越高。值得注意的是,重症患者的继发性硬化性胆管炎(SSC-CIP)是最常见的病因。与预后不良相关的变量仍不清楚。本研究的主要目的是利用现有数据确定与 SSC-CIP 患者无移植生存率相关的因素:方法:对47名确诊为SSC-CIP的患者进行了临床、生化和内镜变量的回顾性分析。采用卡普兰-梅耶生存曲线、对数秩检验和单变量考克斯比例危险模型评估无移植生存率的相关性。使用 Lasso 正则化构建了多变量 Cox 回归模型,并通过 Bootstrap 重采样进行了验证。使用C统计量对模型性能进行评估:Kaplan-Meier分析发现,需要放置支架的胆管阻塞和胆管炎发作是重要的预后因素。在单变量分析中,年龄超过 47 岁(HR 2.61(95% CI 1.02,7.06),P=0.04)、至少有一次胆管炎发作(HR 2.46(95% CI 1.005,6.06),P=0.04)、支架置入(HR 2.89(95% CI 1.13,7.38),P=0.03)、较低的白蛋白水平(HR 0.52(95% CI 0.28,0.97),P=0.04)和较高的国际正常化比值(INR)(HR 3.22(95% CI 1.09,9.53),P=0.03)均具有显著性。多变量分析显示,诊断时的年龄、白蛋白和 INR 是重要的独立预测因素。C指数为0.78(95% CI 0.65,0.91),超过了终末期肝病评分模型的预后准确性(3年时一致性指数:66.2% vs 74.9%):这些研究结果为建立这种罕见肝病的标准例外标准提供了宝贵的见解,可改善器官分配。有必要进一步开展前瞻性多中心研究,以验证我们的发现。
本文章由计算机程序翻译,如有差异,请以英文原文为准。

Prognostic factors for transplant-free survival in patients with secondary sclerosing cholangitis associated with critical illness.

Prognostic factors for transplant-free survival in patients with secondary sclerosing cholangitis associated with critical illness.

Prognostic factors for transplant-free survival in patients with secondary sclerosing cholangitis associated with critical illness.

Prognostic factors for transplant-free survival in patients with secondary sclerosing cholangitis associated with critical illness.

Objective: Secondary sclerosing cholangitis (SSC) represents a disease with a poor prognosis increasingly diagnosed in clinical settings. Notably, SSC in critically ill patients (SSC-CIP) is the most frequent cause. Variables associated with worse prognosis remain unclear. The primary aim of this study was to identify factors associated with transplant-free survival in SSC-CIP patients using readily available data.

Methods: A cohort of 47 patients diagnosed with SSC-CIP was retrospectively analysed for clinical, biochemical and endoscopic variables. Kaplan-Meier survival curves, log-rank tests and univariate Cox proportional hazards models were used to assess associations with transplant-free survival. A multivariable Cox regression model was constructed using Lasso regularisation and validated with Bootstrap resampling. Model performance was assessed using the C-statistic for discrimination.

Results: Kaplan-Meier analysis identified bile duct obstruction requiring stent placement, and cholangitis episodes, as significant prognostic factors. In univariable analysis, age over 47 years (HR 2.61 (95% CI 1.02, 7.06), p=0.04), at least one cholangitis episode (HR 2.46 (95% CI 1.005, 6.06), p=0.04), stent placement (HR 2.89 (95% CI 1.13, 7.38), p=0.03), lower albumin levels (HR 0.52 (95% CI 0.28, 0.97), p=0.04) and higher international normalised ratio (INR) (HR 3.22 (95% CI 1.09, 9.53), p=0.03) were significant. Multivariable analysis showed that age at diagnosis, albumin and INR were significant independent predictors. The C-index was 0.78 (95% CI 0.65, 0.91), surpassing the model of end-stage liver disease score's prognostic accuracy (Concordance Index at 3 years: 66.2% vs 74.9%).

Conclusion: These findings provide valuable insights for establishing standard exception criteria for this rare liver disease, which could lead to improved organ allocation. Further prospective multicentre studies are necessary to validate our findings.

求助全文
通过发布文献求助,成功后即可免费获取论文全文。 去求助
来源期刊
BMJ Open Gastroenterology
BMJ Open Gastroenterology GASTROENTEROLOGY & HEPATOLOGY-
CiteScore
5.90
自引率
3.20%
发文量
68
审稿时长
2 weeks
期刊介绍: BMJ Open Gastroenterology is an online-only, peer-reviewed, open access gastroenterology journal, dedicated to publishing high-quality medical research from all disciplines and therapeutic areas of gastroenterology. It is the open access companion journal of Gut and is co-owned by the British Society of Gastroenterology. The journal publishes all research study types, from study protocols to phase I trials to meta-analyses, including small or specialist studies. Publishing procedures are built around continuous publication, publishing research online as soon as the article is ready.
×
引用
GB/T 7714-2015
复制
MLA
复制
APA
复制
导出至
BibTeX EndNote RefMan NoteFirst NoteExpress
×
提示
您的信息不完整,为了账户安全,请先补充。
现在去补充
×
提示
您因"违规操作"
具体请查看互助需知
我知道了
×
提示
确定
请完成安全验证×
copy
已复制链接
快去分享给好友吧!
我知道了
右上角分享
点击右上角分享
0
联系我们:info@booksci.cn Book学术提供免费学术资源搜索服务,方便国内外学者检索中英文文献。致力于提供最便捷和优质的服务体验。 Copyright © 2023 布克学术 All rights reserved.
京ICP备2023020795号-1
ghs 京公网安备 11010802042870号
Book学术文献互助
Book学术文献互助群
群 号:604180095
Book学术官方微信