中南地区碳青霉烯耐药肺炎克雷伯菌中粘菌素耐药株的流行及分子特征:一项多中心研究

IF 3.6 2区 医学 Q1 MICROBIOLOGY
Zijuan Jian, Yanjun Liu, Zhiqian Wang, Peilin Liu, Jiahui Wang, Qun Yan, Wenen Liu
{"title":"中南地区碳青霉烯耐药肺炎克雷伯菌中粘菌素耐药株的流行及分子特征:一项多中心研究","authors":"Zijuan Jian, Yanjun Liu, Zhiqian Wang, Peilin Liu, Jiahui Wang, Qun Yan, Wenen Liu","doi":"10.1186/s12941-024-00769-1","DOIUrl":null,"url":null,"abstract":"<p><strong>Background: </strong>The emergence of colistin resistance in carbapenem-resistant Klebsiella pneumoniae (CRKP) is a significant public health concern, as colistin has been the last resort for treating such infections. This study aimed to investigate the prevalence and molecular characteristics of colistin-resistant CRKP isolates in Central South China.</p><p><strong>Methods: </strong>CRKP isolates from twelve hospitals in Central South China were screened for colistin resistance using broth microdilution. The epidemiological characteristics, virulome, resistome, plasmid replicons and two-component systems associated with colistin resistance of colistin-resistant isolates were explored by whole-genome sequencing. The mgrB gene and the relative expression of the pmrC and pmrK genes were analyzed by polymerase chain reaction (PCR) and real-time quantitative PCR, respectively. The bacterial virulence was evaluated through a Galleria mellonella larvae infection model.</p><p><strong>Results: </strong>Of the 429 nonduplicate CRKP isolates, 26 (6.1%) were colistin-resistant and they included eight clonal clusters. Six distinct sequence type (ST)-capsule loci (KL) types were identified: ST11-KL64, ST11-KL47, ST963-KL16, ST307-KL102, ST751-KL64 and ST5254-KL47. 88.5% (23/26) of them were found to carry at least one carbapenemase gene, including bla<sub>KPC-2</sub> (65.4%, 17/26) and bla<sub>NDM-1</sub> (7.7%, 2/26), as well as coharbouring bla<sub>KPC-2</sub> and bla<sub>NDM-1</sub> (15.4%, 4/26). Diverse mutations of colistin resistance-related genes were observed, with mgrB inactivation by insertions and the T157P deleterious mutation in pmrB being detected in 57.7% and 42.3% of the colistin-resistant isolates, respectively. In addition, a novel deleterious mutation, R248P, in the crrB gene was found in two ST11 isolates. 88.5% of the 26 isolates presented an increase in pmrK transcription, and 69.2% of them had an overexpression of the pmrC gene. All the 16 ST11-KL64 isolates and one ST751-KL64 isolate (65.4%, 17/26) carried at least two hypervirulence biomarkers and showed high virulence in vivo.</p><p><strong>Conclusions: </strong>This study highlights the presence of different colistin resistance mechanisms in isolates belonging to the same clone and identified multiple clonal transmission clusters in colistin resistant isolates, including the globally high-risk ST11 and ST307 clones, of which a significant proportion exhibited high virulence. Consequently, it is crucial to enforce measures to prevent the ongoing spread of colistin resistance.</p>","PeriodicalId":8052,"journal":{"name":"Annals of Clinical Microbiology and Antimicrobials","volume":"24 1","pages":"1"},"PeriodicalIF":3.6000,"publicationDate":"2025-01-04","publicationTypes":"Journal Article","fieldsOfStudy":null,"isOpenAccess":false,"openAccessPdf":"https://www.ncbi.nlm.nih.gov/pmc/articles/PMC11700468/pdf/","citationCount":"0","resultStr":"{\"title\":\"Prevalence and molecular characteristics of colistin-resistant isolates among carbapenem-resistant Klebsiella pneumoniae in Central South China: a multicenter study.\",\"authors\":\"Zijuan Jian, Yanjun Liu, Zhiqian Wang, Peilin Liu, Jiahui Wang, Qun Yan, Wenen Liu\",\"doi\":\"10.1186/s12941-024-00769-1\",\"DOIUrl\":null,\"url\":null,\"abstract\":\"<p><strong>Background: </strong>The emergence of colistin resistance in carbapenem-resistant Klebsiella pneumoniae (CRKP) is a significant public health concern, as colistin has been the last resort for treating such infections. This study aimed to investigate the prevalence and molecular characteristics of colistin-resistant CRKP isolates in Central South China.</p><p><strong>Methods: </strong>CRKP isolates from twelve hospitals in Central South China were screened for colistin resistance using broth microdilution. The epidemiological characteristics, virulome, resistome, plasmid replicons and two-component systems associated with colistin resistance of colistin-resistant isolates were explored by whole-genome sequencing. The mgrB gene and the relative expression of the pmrC and pmrK genes were analyzed by polymerase chain reaction (PCR) and real-time quantitative PCR, respectively. The bacterial virulence was evaluated through a Galleria mellonella larvae infection model.</p><p><strong>Results: </strong>Of the 429 nonduplicate CRKP isolates, 26 (6.1%) were colistin-resistant and they included eight clonal clusters. Six distinct sequence type (ST)-capsule loci (KL) types were identified: ST11-KL64, ST11-KL47, ST963-KL16, ST307-KL102, ST751-KL64 and ST5254-KL47. 88.5% (23/26) of them were found to carry at least one carbapenemase gene, including bla<sub>KPC-2</sub> (65.4%, 17/26) and bla<sub>NDM-1</sub> (7.7%, 2/26), as well as coharbouring bla<sub>KPC-2</sub> and bla<sub>NDM-1</sub> (15.4%, 4/26). Diverse mutations of colistin resistance-related genes were observed, with mgrB inactivation by insertions and the T157P deleterious mutation in pmrB being detected in 57.7% and 42.3% of the colistin-resistant isolates, respectively. In addition, a novel deleterious mutation, R248P, in the crrB gene was found in two ST11 isolates. 88.5% of the 26 isolates presented an increase in pmrK transcription, and 69.2% of them had an overexpression of the pmrC gene. All the 16 ST11-KL64 isolates and one ST751-KL64 isolate (65.4%, 17/26) carried at least two hypervirulence biomarkers and showed high virulence in vivo.</p><p><strong>Conclusions: </strong>This study highlights the presence of different colistin resistance mechanisms in isolates belonging to the same clone and identified multiple clonal transmission clusters in colistin resistant isolates, including the globally high-risk ST11 and ST307 clones, of which a significant proportion exhibited high virulence. Consequently, it is crucial to enforce measures to prevent the ongoing spread of colistin resistance.</p>\",\"PeriodicalId\":8052,\"journal\":{\"name\":\"Annals of Clinical Microbiology and Antimicrobials\",\"volume\":\"24 1\",\"pages\":\"1\"},\"PeriodicalIF\":3.6000,\"publicationDate\":\"2025-01-04\",\"publicationTypes\":\"Journal Article\",\"fieldsOfStudy\":null,\"isOpenAccess\":false,\"openAccessPdf\":\"https://www.ncbi.nlm.nih.gov/pmc/articles/PMC11700468/pdf/\",\"citationCount\":\"0\",\"resultStr\":null,\"platform\":\"Semanticscholar\",\"paperid\":null,\"PeriodicalName\":\"Annals of Clinical Microbiology and Antimicrobials\",\"FirstCategoryId\":\"3\",\"ListUrlMain\":\"https://doi.org/10.1186/s12941-024-00769-1\",\"RegionNum\":2,\"RegionCategory\":\"医学\",\"ArticlePicture\":[],\"TitleCN\":null,\"AbstractTextCN\":null,\"PMCID\":null,\"EPubDate\":\"\",\"PubModel\":\"\",\"JCR\":\"Q1\",\"JCRName\":\"MICROBIOLOGY\",\"Score\":null,\"Total\":0}","platform":"Semanticscholar","paperid":null,"PeriodicalName":"Annals of Clinical Microbiology and Antimicrobials","FirstCategoryId":"3","ListUrlMain":"https://doi.org/10.1186/s12941-024-00769-1","RegionNum":2,"RegionCategory":"医学","ArticlePicture":[],"TitleCN":null,"AbstractTextCN":null,"PMCID":null,"EPubDate":"","PubModel":"","JCR":"Q1","JCRName":"MICROBIOLOGY","Score":null,"Total":0}
引用次数: 0

摘要

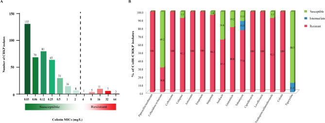
背景:碳青霉烯耐药肺炎克雷伯菌(CRKP)中粘菌素耐药性的出现是一个重大的公共卫生问题,因为粘菌素一直是治疗这类感染的最后手段。本研究旨在了解中南地区耐粘菌素CRKP分离株的流行情况和分子特征。方法:采用微量肉汤稀释法对中南地区12家医院的CRKP分离株进行耐药筛选。利用全基因组测序技术,探讨了粘菌素耐药分离株的流行病学特征、病毒组、抗性组、质粒复制子及与粘菌素耐药相关的双组分系统。采用聚合酶链反应(PCR)和实时定量PCR分别分析mgrB基因和pmrC、pmrK基因的相对表达量。通过mellonella幼虫感染模型评估细菌毒力。结果:在429株非重复的CRKP分离株中,26株(6.1%)耐粘菌素,包括8个克隆簇。鉴定出6种不同的序列型(ST)-胶囊位点(KL): ST11-KL64、ST11-KL47、ST963-KL16、ST307-KL102、ST751-KL64和ST5254-KL47。88.5%(23/26)的人携带至少一个碳青霉烯酶基因,包括blaKPC-2(65.4%, 17/26)和blaNDM-1(7.7%, 2/26),同时携带blaKPC-2和blaNDM-1(15.4%, 4/26)。粘菌素耐药相关基因突变多样,其中mgrB插入失活和pmrB T157P有害突变分别在57.7%和42.3%的粘菌素耐药菌株中检测到。此外,在两个ST11分离株中发现了crrB基因中的一个新的有害突变R248P。其中,88.5%的菌株pmrK转录升高,69.2%的菌株pmrC基因过表达。所有16株ST11-KL64分离株和1株ST751-KL64分离株(65.4%,17/26)均携带至少2种高毒力生物标志物,在体内表现出高毒力。结论:本研究强调了属于同一克隆的分离株存在不同的粘菌素耐药机制,并在粘菌素耐药分离株中发现了多个克隆传播簇,包括全球高风险的ST11和ST307克隆,其中很大一部分表现出高毒力。因此,必须采取措施防止粘菌素耐药性的持续蔓延。
本文章由计算机程序翻译,如有差异,请以英文原文为准。

Prevalence and molecular characteristics of colistin-resistant isolates among carbapenem-resistant Klebsiella pneumoniae in Central South China: a multicenter study.

Prevalence and molecular characteristics of colistin-resistant isolates among carbapenem-resistant Klebsiella pneumoniae in Central South China: a multicenter study.

Prevalence and molecular characteristics of colistin-resistant isolates among carbapenem-resistant Klebsiella pneumoniae in Central South China: a multicenter study.

Prevalence and molecular characteristics of colistin-resistant isolates among carbapenem-resistant Klebsiella pneumoniae in Central South China: a multicenter study.

Background: The emergence of colistin resistance in carbapenem-resistant Klebsiella pneumoniae (CRKP) is a significant public health concern, as colistin has been the last resort for treating such infections. This study aimed to investigate the prevalence and molecular characteristics of colistin-resistant CRKP isolates in Central South China.

Methods: CRKP isolates from twelve hospitals in Central South China were screened for colistin resistance using broth microdilution. The epidemiological characteristics, virulome, resistome, plasmid replicons and two-component systems associated with colistin resistance of colistin-resistant isolates were explored by whole-genome sequencing. The mgrB gene and the relative expression of the pmrC and pmrK genes were analyzed by polymerase chain reaction (PCR) and real-time quantitative PCR, respectively. The bacterial virulence was evaluated through a Galleria mellonella larvae infection model.

Results: Of the 429 nonduplicate CRKP isolates, 26 (6.1%) were colistin-resistant and they included eight clonal clusters. Six distinct sequence type (ST)-capsule loci (KL) types were identified: ST11-KL64, ST11-KL47, ST963-KL16, ST307-KL102, ST751-KL64 and ST5254-KL47. 88.5% (23/26) of them were found to carry at least one carbapenemase gene, including blaKPC-2 (65.4%, 17/26) and blaNDM-1 (7.7%, 2/26), as well as coharbouring blaKPC-2 and blaNDM-1 (15.4%, 4/26). Diverse mutations of colistin resistance-related genes were observed, with mgrB inactivation by insertions and the T157P deleterious mutation in pmrB being detected in 57.7% and 42.3% of the colistin-resistant isolates, respectively. In addition, a novel deleterious mutation, R248P, in the crrB gene was found in two ST11 isolates. 88.5% of the 26 isolates presented an increase in pmrK transcription, and 69.2% of them had an overexpression of the pmrC gene. All the 16 ST11-KL64 isolates and one ST751-KL64 isolate (65.4%, 17/26) carried at least two hypervirulence biomarkers and showed high virulence in vivo.

Conclusions: This study highlights the presence of different colistin resistance mechanisms in isolates belonging to the same clone and identified multiple clonal transmission clusters in colistin resistant isolates, including the globally high-risk ST11 and ST307 clones, of which a significant proportion exhibited high virulence. Consequently, it is crucial to enforce measures to prevent the ongoing spread of colistin resistance.

求助全文
通过发布文献求助,成功后即可免费获取论文全文。 去求助
来源期刊
CiteScore
8.60
自引率
0.00%
发文量
49
审稿时长
>12 weeks
期刊介绍: Annals of Clinical Microbiology and Antimicrobials considers good quality, novel and international research of more than regional relevance. Research must include epidemiological and/or clinical information about isolates, and the journal covers the clinical microbiology of bacteria, viruses and fungi, as well as antimicrobial treatment of infectious diseases. Annals of Clinical Microbiology and Antimicrobials is an open access, peer-reviewed journal focusing on information concerning clinical microbiology, infectious diseases and antimicrobials. The management of infectious disease is dependent on correct diagnosis and appropriate antimicrobial treatment, and with this in mind, the journal aims to improve the communication between laboratory and clinical science in the field of clinical microbiology and antimicrobial treatment. Furthermore, the journal has no restrictions on space or access; this ensures that the journal can reach the widest possible audience.
×
引用
GB/T 7714-2015
复制
MLA
复制
APA
复制
导出至
BibTeX EndNote RefMan NoteFirst NoteExpress
×
提示
您的信息不完整,为了账户安全,请先补充。
现在去补充
×
提示
您因"违规操作"
具体请查看互助需知
我知道了
×
提示
确定
请完成安全验证×
copy
已复制链接
快去分享给好友吧!
我知道了
右上角分享
点击右上角分享
0
联系我们:info@booksci.cn Book学术提供免费学术资源搜索服务,方便国内外学者检索中英文文献。致力于提供最便捷和优质的服务体验。 Copyright © 2023 布克学术 All rights reserved.
京ICP备2023020795号-1
ghs 京公网安备 11010802042870号
Book学术文献互助
Book学术文献互助群
群 号:604180095
Book学术官方微信