意大利版脑卒中患者心率指数的发展及其可靠性评价。

IF 2.3 4区 医学 Q1 REHABILITATION
Diego Longo, Stefano Doronzio, Michele Piazzini, Angela Maria Politi, Tommaso Ciapetti, Filippo Gerli, Monica Barnabé, Francesca Ciullini, Chiara Castagnoli, Ilaria Pellegrini, Marta Cannobio, Donata Bardi, Marco Baccini, Francesca Cecchi
{"title":"意大利版脑卒中患者心率指数的发展及其可靠性评价。","authors":"Diego Longo, Stefano Doronzio, Michele Piazzini, Angela Maria Politi, Tommaso Ciapetti, Filippo Gerli, Monica Barnabé, Francesca Ciullini, Chiara Castagnoli, Ilaria Pellegrini, Marta Cannobio, Donata Bardi, Marco Baccini, Francesca Cecchi","doi":"10.2340/jrm.v57.40441","DOIUrl":null,"url":null,"abstract":"<p><strong>Background: </strong>The Motricity Index (MI) is a commonly used method of measuring muscle strength in post-stroke hemiparesis. This study aimed to produce the MI Italian version (MI-IT) and assess its reliability in subjects with stroke.</p><p><strong>Methods: </strong>Phase-1: stepwise approach to MI-IT production and pilot-testing with 10 health professionals to ensure clarity of each item and instructions for administration and scoring. Phase-2: evaluation of MI-IT reliability on stroke subjects, each independently assessed by 2 raters randomly selected from a group of 10 physiotherapists; the first rater re-administered the MI-IT 1-3 days later. Intraclass correlation coefficients, Spearman's rho and, limited to the more affected side, non-parametric limits of agreement (LOA) were computed for total MI-IT scores, squared weighted kappa and percentage of observed agreement for individual item scores.</p><p><strong>Results: </strong>The back-translated versions showed no discrepancies with original MI, but 3 items were revised after pilot-testing. Complete data on 50 (test-retest) and 51 (inter-rater) participants demonstrated excellent reliability of all MI-IT total scores on the more affected side (Spearman's rho range: test-retest 0.953-0.975; inter-rater: 0.965-0.970), with LOA ranging from 9-25%), but poor inter-rater reliability for some scores on the less affected side (Spearman's rho range: test-retest, 0.816-0.976; inter-rater: 0.508-0.721). Moderate to almost perfect agreement was found for all individual item scores, except for 2 items on the less affected side.</p><p><strong>Conclusions: </strong>The MI-IT is sufficiently reliable to evaluate motor impairment of the more affected side after stroke, with acceptable measurement error for all scores.</p>","PeriodicalId":54768,"journal":{"name":"Journal of Rehabilitation Medicine","volume":"57 ","pages":"jrm40441"},"PeriodicalIF":2.3000,"publicationDate":"2025-01-03","publicationTypes":"Journal Article","fieldsOfStudy":null,"isOpenAccess":false,"openAccessPdf":"https://www.ncbi.nlm.nih.gov/pmc/articles/PMC11681147/pdf/","citationCount":"0","resultStr":"{\"title\":\"Development of the Italian version of the Motricity Index and evaluation of its reliability in adults with stroke.\",\"authors\":\"Diego Longo, Stefano Doronzio, Michele Piazzini, Angela Maria Politi, Tommaso Ciapetti, Filippo Gerli, Monica Barnabé, Francesca Ciullini, Chiara Castagnoli, Ilaria Pellegrini, Marta Cannobio, Donata Bardi, Marco Baccini, Francesca Cecchi\",\"doi\":\"10.2340/jrm.v57.40441\",\"DOIUrl\":null,\"url\":null,\"abstract\":\"<p><strong>Background: </strong>The Motricity Index (MI) is a commonly used method of measuring muscle strength in post-stroke hemiparesis. This study aimed to produce the MI Italian version (MI-IT) and assess its reliability in subjects with stroke.</p><p><strong>Methods: </strong>Phase-1: stepwise approach to MI-IT production and pilot-testing with 10 health professionals to ensure clarity of each item and instructions for administration and scoring. Phase-2: evaluation of MI-IT reliability on stroke subjects, each independently assessed by 2 raters randomly selected from a group of 10 physiotherapists; the first rater re-administered the MI-IT 1-3 days later. Intraclass correlation coefficients, Spearman's rho and, limited to the more affected side, non-parametric limits of agreement (LOA) were computed for total MI-IT scores, squared weighted kappa and percentage of observed agreement for individual item scores.</p><p><strong>Results: </strong>The back-translated versions showed no discrepancies with original MI, but 3 items were revised after pilot-testing. Complete data on 50 (test-retest) and 51 (inter-rater) participants demonstrated excellent reliability of all MI-IT total scores on the more affected side (Spearman's rho range: test-retest 0.953-0.975; inter-rater: 0.965-0.970), with LOA ranging from 9-25%), but poor inter-rater reliability for some scores on the less affected side (Spearman's rho range: test-retest, 0.816-0.976; inter-rater: 0.508-0.721). Moderate to almost perfect agreement was found for all individual item scores, except for 2 items on the less affected side.</p><p><strong>Conclusions: </strong>The MI-IT is sufficiently reliable to evaluate motor impairment of the more affected side after stroke, with acceptable measurement error for all scores.</p>\",\"PeriodicalId\":54768,\"journal\":{\"name\":\"Journal of Rehabilitation Medicine\",\"volume\":\"57 \",\"pages\":\"jrm40441\"},\"PeriodicalIF\":2.3000,\"publicationDate\":\"2025-01-03\",\"publicationTypes\":\"Journal Article\",\"fieldsOfStudy\":null,\"isOpenAccess\":false,\"openAccessPdf\":\"https://www.ncbi.nlm.nih.gov/pmc/articles/PMC11681147/pdf/\",\"citationCount\":\"0\",\"resultStr\":null,\"platform\":\"Semanticscholar\",\"paperid\":null,\"PeriodicalName\":\"Journal of Rehabilitation Medicine\",\"FirstCategoryId\":\"3\",\"ListUrlMain\":\"https://doi.org/10.2340/jrm.v57.40441\",\"RegionNum\":4,\"RegionCategory\":\"医学\",\"ArticlePicture\":[],\"TitleCN\":null,\"AbstractTextCN\":null,\"PMCID\":null,\"EPubDate\":\"\",\"PubModel\":\"\",\"JCR\":\"Q1\",\"JCRName\":\"REHABILITATION\",\"Score\":null,\"Total\":0}","platform":"Semanticscholar","paperid":null,"PeriodicalName":"Journal of Rehabilitation Medicine","FirstCategoryId":"3","ListUrlMain":"https://doi.org/10.2340/jrm.v57.40441","RegionNum":4,"RegionCategory":"医学","ArticlePicture":[],"TitleCN":null,"AbstractTextCN":null,"PMCID":null,"EPubDate":"","PubModel":"","JCR":"Q1","JCRName":"REHABILITATION","Score":null,"Total":0}
引用次数: 0

摘要

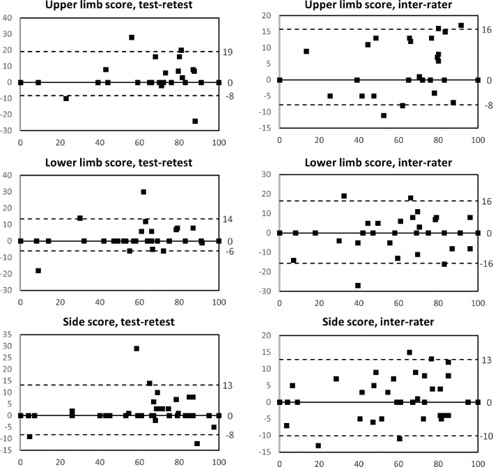
背景:运动指数(MI)是一种常用的测量脑卒中后偏瘫肌力的方法。本研究旨在制作MI意大利语版(MI- it),并评估其在卒中受试者中的可靠性。方法:第一阶段:逐步采用MI-IT生产方法,并由10名卫生专业人员进行试点测试,以确保每个项目以及管理和评分说明的清晰度。第二阶段:评估脑卒中受试者的MI-IT可靠性,每组由从10名物理治疗师中随机选择的2名评分者独立评估;第一组在1-3天后重新进行MI-IT测试。对MI-IT总分、平方加权kappa和观察到的单个项目得分的一致性百分比计算类内相关系数、Spearman's rho和受影响更大的非参数一致性限制(LOA)。结果:回译版本与原MI无差异,但经中试后修改了3个项目。50名(重新测试)和51名(内部评估)参与者的完整数据显示,所有MI-IT总分在更受影响的一侧具有出色的可靠性(Spearman的rho范围:重新测试0.953-0.975;内部信度:0.965-0.970),LOA范围为9-25%),但在影响较小的部分分数的内部信度较差(Spearman的rho范围:test-retest, 0.816-0.976;两分:0.508 - -0.721)。除了受影响较小的两个项目外,所有单项得分都达到了中等到近乎完美的一致。结论:MI-IT在评估卒中后更受影响侧的运动损伤方面足够可靠,所有评分的测量误差都是可接受的。
本文章由计算机程序翻译,如有差异,请以英文原文为准。

Development of the Italian version of the Motricity Index and evaluation of its reliability in adults with stroke.

Development of the Italian version of the Motricity Index and evaluation of its reliability in adults with stroke.

Background: The Motricity Index (MI) is a commonly used method of measuring muscle strength in post-stroke hemiparesis. This study aimed to produce the MI Italian version (MI-IT) and assess its reliability in subjects with stroke.

Methods: Phase-1: stepwise approach to MI-IT production and pilot-testing with 10 health professionals to ensure clarity of each item and instructions for administration and scoring. Phase-2: evaluation of MI-IT reliability on stroke subjects, each independently assessed by 2 raters randomly selected from a group of 10 physiotherapists; the first rater re-administered the MI-IT 1-3 days later. Intraclass correlation coefficients, Spearman's rho and, limited to the more affected side, non-parametric limits of agreement (LOA) were computed for total MI-IT scores, squared weighted kappa and percentage of observed agreement for individual item scores.

Results: The back-translated versions showed no discrepancies with original MI, but 3 items were revised after pilot-testing. Complete data on 50 (test-retest) and 51 (inter-rater) participants demonstrated excellent reliability of all MI-IT total scores on the more affected side (Spearman's rho range: test-retest 0.953-0.975; inter-rater: 0.965-0.970), with LOA ranging from 9-25%), but poor inter-rater reliability for some scores on the less affected side (Spearman's rho range: test-retest, 0.816-0.976; inter-rater: 0.508-0.721). Moderate to almost perfect agreement was found for all individual item scores, except for 2 items on the less affected side.

Conclusions: The MI-IT is sufficiently reliable to evaluate motor impairment of the more affected side after stroke, with acceptable measurement error for all scores.

求助全文
通过发布文献求助,成功后即可免费获取论文全文。 去求助
来源期刊
CiteScore
5.60
自引率
5.70%
发文量
102
审稿时长
4-8 weeks
期刊介绍: Journal of Rehabilitation Medicine is an international peer-review journal published in English, with at least 10 issues published per year. Original articles, reviews, case reports, short communications, special reports and letters to the editor are published, as also are editorials and book reviews. The journal strives to provide its readers with a variety of topics, including: functional assessment and intervention studies, clinical studies in various patient groups, methodology in physical and rehabilitation medicine, epidemiological studies on disabling conditions and reports on vocational and sociomedical aspects of rehabilitation.
×
引用
GB/T 7714-2015
复制
MLA
复制
APA
复制
导出至
BibTeX EndNote RefMan NoteFirst NoteExpress
×
提示
您的信息不完整,为了账户安全,请先补充。
现在去补充
×
提示
您因"违规操作"
具体请查看互助需知
我知道了
×
提示
确定
请完成安全验证×
copy
已复制链接
快去分享给好友吧!
我知道了
右上角分享
点击右上角分享
0
联系我们:info@booksci.cn Book学术提供免费学术资源搜索服务,方便国内外学者检索中英文文献。致力于提供最便捷和优质的服务体验。 Copyright © 2023 布克学术 All rights reserved.
京ICP备2023020795号-1
ghs 京公网安备 11010802042870号
Book学术文献互助
Book学术文献互助群
群 号:604180095
Book学术官方微信