使用神经网络分析预测皮肤黑色素瘤患者BRAF突变。

IF 2 Q3 DERMATOLOGY
Journal of Skin Cancer Pub Date : 2024-12-19 eCollection Date: 2024-01-01 DOI:10.1155/jskc/3690228
Oleksandr Dudin, Ozar Mintser, Vitalii Gurianov, Nazarii Kobyliak, Dmytro Kaminskyi, Alina Matvieieva, Roman Shabalkov, Artem Mashukov, Oksana Sulaieva
{"title":"使用神经网络分析预测皮肤黑色素瘤患者BRAF突变。","authors":"Oleksandr Dudin, Ozar Mintser, Vitalii Gurianov, Nazarii Kobyliak, Dmytro Kaminskyi, Alina Matvieieva, Roman Shabalkov, Artem Mashukov, Oksana Sulaieva","doi":"10.1155/jskc/3690228","DOIUrl":null,"url":null,"abstract":"<p><p>Point mutations at codon 600 of the BRAF oncogene are the most common alterations in cutaneous melanoma (CM). Assessment of BRAF status allows to personalize patient management, though the affordability of molecular testing is limited in some countries. This study aimed to develop a model for predicting alteration in BRAF based on routinely available clinical and histological data. <b>Methods:</b> For identifying the key factors associated with point mutations in BRAF, 2041 patients with CM were recruited in the study. The presence of BRAF mutations was an endpoint. The variables included demographic data (gender and age), anatomic location, stage, histological subtype, number of mitosis, and also such features as ulceration, Clark level, Breslow thickness, infiltration by lymphocytes, invasiveness, regression, microsatellites, and association with nevi. <b>Results:</b> A relatively high rate of BRAF mutation was revealed in the Ukrainian cohort of patients with CM. BRAF-mutant melanoma was associated with younger age and location of nonsun-exposed skin. Besides, sex-specific differences were found between CM of various anatomic distributions and the frequency of distinct BRAF mutation subtypes. A minimal set of variables linked to BRAF mutations, defined by the genetic input selection algorithm, included patient age, primary tumor location, histological type, lymphovascular invasion, ulceration, and association with nevi. To encounter nonlinear links, neural network modeling was applied resulting in a multilayer perceptron (MLP) with one hidden layer. Its architecture included four neurons with a logistic activation function. The AUROCMLP6 of the MLP model comprised 0.79 (95% CІ: 0.74-0.84). Under the optimal threshold, the model demonstrated the following parameters: sensitivity: 89.4% (95% CІ: 84.5%-93.1%), specificity: 50.7% (95% CІ: 42.2%-59.1%), positive predictive value: 73.1% (95% CІ: 69.6%-76.3%), and negative predictive value: 76.0% (95% CІ: 67.6%-82.8%). The developed MLP model enables the prediction of the mutation in BRAF oncogene in CM, alleviating decisions on personalized management of patients with CM. In conclusion, the developed MLP model, which relies on the assessment of 6 variables, can predict the <i>BRAF</i> mutation status in patients with CM, supporting decisions on patient management.</p>","PeriodicalId":17172,"journal":{"name":"Journal of Skin Cancer","volume":"2024 ","pages":"3690228"},"PeriodicalIF":2.0000,"publicationDate":"2024-12-19","publicationTypes":"Journal Article","fieldsOfStudy":null,"isOpenAccess":false,"openAccessPdf":"https://www.ncbi.nlm.nih.gov/pmc/articles/PMC11671645/pdf/","citationCount":"0","resultStr":"{\"title\":\"Predicting <i>BRAF</i> Mutations in Cutaneous Melanoma Patients Using Neural Network Analysis.\",\"authors\":\"Oleksandr Dudin, Ozar Mintser, Vitalii Gurianov, Nazarii Kobyliak, Dmytro Kaminskyi, Alina Matvieieva, Roman Shabalkov, Artem Mashukov, Oksana Sulaieva\",\"doi\":\"10.1155/jskc/3690228\",\"DOIUrl\":null,\"url\":null,\"abstract\":\"<p><p>Point mutations at codon 600 of the BRAF oncogene are the most common alterations in cutaneous melanoma (CM). Assessment of BRAF status allows to personalize patient management, though the affordability of molecular testing is limited in some countries. This study aimed to develop a model for predicting alteration in BRAF based on routinely available clinical and histological data. <b>Methods:</b> For identifying the key factors associated with point mutations in BRAF, 2041 patients with CM were recruited in the study. The presence of BRAF mutations was an endpoint. The variables included demographic data (gender and age), anatomic location, stage, histological subtype, number of mitosis, and also such features as ulceration, Clark level, Breslow thickness, infiltration by lymphocytes, invasiveness, regression, microsatellites, and association with nevi. <b>Results:</b> A relatively high rate of BRAF mutation was revealed in the Ukrainian cohort of patients with CM. BRAF-mutant melanoma was associated with younger age and location of nonsun-exposed skin. Besides, sex-specific differences were found between CM of various anatomic distributions and the frequency of distinct BRAF mutation subtypes. A minimal set of variables linked to BRAF mutations, defined by the genetic input selection algorithm, included patient age, primary tumor location, histological type, lymphovascular invasion, ulceration, and association with nevi. To encounter nonlinear links, neural network modeling was applied resulting in a multilayer perceptron (MLP) with one hidden layer. Its architecture included four neurons with a logistic activation function. The AUROCMLP6 of the MLP model comprised 0.79 (95% CІ: 0.74-0.84). Under the optimal threshold, the model demonstrated the following parameters: sensitivity: 89.4% (95% CІ: 84.5%-93.1%), specificity: 50.7% (95% CІ: 42.2%-59.1%), positive predictive value: 73.1% (95% CІ: 69.6%-76.3%), and negative predictive value: 76.0% (95% CІ: 67.6%-82.8%). The developed MLP model enables the prediction of the mutation in BRAF oncogene in CM, alleviating decisions on personalized management of patients with CM. In conclusion, the developed MLP model, which relies on the assessment of 6 variables, can predict the <i>BRAF</i> mutation status in patients with CM, supporting decisions on patient management.</p>\",\"PeriodicalId\":17172,\"journal\":{\"name\":\"Journal of Skin Cancer\",\"volume\":\"2024 \",\"pages\":\"3690228\"},\"PeriodicalIF\":2.0000,\"publicationDate\":\"2024-12-19\",\"publicationTypes\":\"Journal Article\",\"fieldsOfStudy\":null,\"isOpenAccess\":false,\"openAccessPdf\":\"https://www.ncbi.nlm.nih.gov/pmc/articles/PMC11671645/pdf/\",\"citationCount\":\"0\",\"resultStr\":null,\"platform\":\"Semanticscholar\",\"paperid\":null,\"PeriodicalName\":\"Journal of Skin Cancer\",\"FirstCategoryId\":\"1085\",\"ListUrlMain\":\"https://doi.org/10.1155/jskc/3690228\",\"RegionNum\":0,\"RegionCategory\":null,\"ArticlePicture\":[],\"TitleCN\":null,\"AbstractTextCN\":null,\"PMCID\":null,\"EPubDate\":\"2024/1/1 0:00:00\",\"PubModel\":\"eCollection\",\"JCR\":\"Q3\",\"JCRName\":\"DERMATOLOGY\",\"Score\":null,\"Total\":0}","platform":"Semanticscholar","paperid":null,"PeriodicalName":"Journal of Skin Cancer","FirstCategoryId":"1085","ListUrlMain":"https://doi.org/10.1155/jskc/3690228","RegionNum":0,"RegionCategory":null,"ArticlePicture":[],"TitleCN":null,"AbstractTextCN":null,"PMCID":null,"EPubDate":"2024/1/1 0:00:00","PubModel":"eCollection","JCR":"Q3","JCRName":"DERMATOLOGY","Score":null,"Total":0}
引用次数: 0

摘要

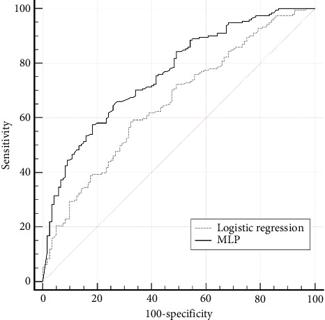
BRAF癌基因密码子600的点突变是皮肤黑色素瘤(CM)中最常见的改变。尽管在一些国家分子检测的可负担性有限,但BRAF状态的评估允许个性化患者管理。本研究旨在建立一种基于常规临床和组织学数据预测BRAF改变的模型。方法:为了确定与BRAF点突变相关的关键因素,研究招募了2041例CM患者。BRAF突变的存在是一个终点。变量包括人口统计学数据(性别和年龄)、解剖位置、分期、组织学亚型、有丝分裂数量,以及溃疡、Clark水平、Breslow厚度、淋巴细胞浸润、侵袭性、消退、微卫星以及与痣的关联等特征。结果:在乌克兰的CM患者队列中发现了相对较高的BRAF突变率。braf突变黑色素瘤与较年轻的年龄和未暴露于阳光下的皮肤部位有关。此外,在不同解剖分布的CM和不同BRAF突变亚型的频率之间存在性别特异性差异。由遗传输入选择算法定义的与BRAF突变相关的最小变量集包括患者年龄、原发肿瘤位置、组织学类型、淋巴血管侵犯、溃疡和与痣的关联。为了处理非线性链接,采用神经网络建模,得到一个具有一个隐藏层的多层感知器(MLP)。它的结构包括四个具有逻辑激活功能的神经元。MLP模型的AUROCMLP6为0.79 (95% CІ: 0.74-0.84)。在最佳阈值下,该模型的敏感性为89.4% (95% CІ: 84.5% ~ 93.1%),特异性为50.7% (95% CІ: 42.2% ~ 59.1%),阳性预测值为73.1% (95% CІ: 69.6% ~ 76.3%),阴性预测值为76.0% (95% CІ: 67.6% ~ 82.8%)。开发的MLP模型能够预测CM中BRAF癌基因的突变,减轻CM患者个性化管理的决策。综上所述,建立的MLP模型依赖于6个变量的评估,可以预测CM患者BRAF突变状态,为患者管理决策提供支持。
本文章由计算机程序翻译,如有差异,请以英文原文为准。

Predicting <i>BRAF</i> Mutations in Cutaneous Melanoma Patients Using Neural Network Analysis.

Predicting BRAF Mutations in Cutaneous Melanoma Patients Using Neural Network Analysis.

Point mutations at codon 600 of the BRAF oncogene are the most common alterations in cutaneous melanoma (CM). Assessment of BRAF status allows to personalize patient management, though the affordability of molecular testing is limited in some countries. This study aimed to develop a model for predicting alteration in BRAF based on routinely available clinical and histological data. Methods: For identifying the key factors associated with point mutations in BRAF, 2041 patients with CM were recruited in the study. The presence of BRAF mutations was an endpoint. The variables included demographic data (gender and age), anatomic location, stage, histological subtype, number of mitosis, and also such features as ulceration, Clark level, Breslow thickness, infiltration by lymphocytes, invasiveness, regression, microsatellites, and association with nevi. Results: A relatively high rate of BRAF mutation was revealed in the Ukrainian cohort of patients with CM. BRAF-mutant melanoma was associated with younger age and location of nonsun-exposed skin. Besides, sex-specific differences were found between CM of various anatomic distributions and the frequency of distinct BRAF mutation subtypes. A minimal set of variables linked to BRAF mutations, defined by the genetic input selection algorithm, included patient age, primary tumor location, histological type, lymphovascular invasion, ulceration, and association with nevi. To encounter nonlinear links, neural network modeling was applied resulting in a multilayer perceptron (MLP) with one hidden layer. Its architecture included four neurons with a logistic activation function. The AUROCMLP6 of the MLP model comprised 0.79 (95% CІ: 0.74-0.84). Under the optimal threshold, the model demonstrated the following parameters: sensitivity: 89.4% (95% CІ: 84.5%-93.1%), specificity: 50.7% (95% CІ: 42.2%-59.1%), positive predictive value: 73.1% (95% CІ: 69.6%-76.3%), and negative predictive value: 76.0% (95% CІ: 67.6%-82.8%). The developed MLP model enables the prediction of the mutation in BRAF oncogene in CM, alleviating decisions on personalized management of patients with CM. In conclusion, the developed MLP model, which relies on the assessment of 6 variables, can predict the BRAF mutation status in patients with CM, supporting decisions on patient management.

求助全文
通过发布文献求助,成功后即可免费获取论文全文。 去求助
来源期刊
Journal of Skin Cancer
Journal of Skin Cancer DERMATOLOGY-
CiteScore
2.30
自引率
18.20%
发文量
12
审稿时长
21 weeks
期刊介绍: Journal of Skin Cancer is a peer-reviewed, Open Access journal that publishes clinical and translational research on the detection, diagnosis, prevention, and treatment of skin malignancies. The journal encourages the submission of original research articles, review articles, and clinical studies related to pathology, prognostic indicators and biomarkers, novel therapies, as well as drug sensitivity and resistance.
×
引用
GB/T 7714-2015
复制
MLA
复制
APA
复制
导出至
BibTeX EndNote RefMan NoteFirst NoteExpress
×
提示
您的信息不完整,为了账户安全,请先补充。
现在去补充
×
提示
您因"违规操作"
具体请查看互助需知
我知道了
×
提示
确定
请完成安全验证×
copy
已复制链接
快去分享给好友吧!
我知道了
右上角分享
点击右上角分享
0
联系我们:info@booksci.cn Book学术提供免费学术资源搜索服务,方便国内外学者检索中英文文献。致力于提供最便捷和优质的服务体验。 Copyright © 2023 布克学术 All rights reserved.
京ICP备2023020795号-1
ghs 京公网安备 11010802042870号
Book学术文献互助
Book学术文献互助群
群 号:604180095
Book学术官方微信