[利用多维方法评价全氟辛酸对人类结直肠癌细胞的毒性]。

Rui-Jia Zhang, Ying-Shi Lin, Lan-Yin Tu, Zi-Tong Chen, Wei-Wei Zhang, Tian-Gang Luan, Bao-Wei Chen
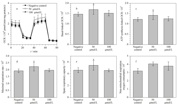
{"title":"[利用多维方法评价全氟辛酸对人类结直肠癌细胞的毒性]。","authors":"Rui-Jia Zhang, Ying-Shi Lin, Lan-Yin Tu, Zi-Tong Chen, Wei-Wei Zhang, Tian-Gang Luan, Bao-Wei Chen","doi":"10.3724/SP.J.1123.2024.05022","DOIUrl":null,"url":null,"abstract":"<p><p>While human exposure to perfluorooctanoic acid (PFOA) can lead to ulcerative colitis, the molecular mechanisms responsible for PFOA-induced intestinal toxicity are unclear. Herein, we examined the toxicity of PFOA toward human colorectal cancer cells (HCT116) from three dimensions: the cytotoxic phenotype, cell respiration, and transcription levels of metabolism-related genes. Formazan was used to assess how PFOA exposure affects HCT116-cell relative viability, after which the mitochondrial respiratory activities of these cells were determined by analyzing extracellular flux. The quantitative real-time polymerase chain reaction (qPCR) method was used to detect metabolism-related gene expression levels. The cytotoxicity assay revealed that the HCT116 showed significantly inhibited relative activities compared to those of the control when exposed to 300 μmol/L PFOA for 48 h (<i>p</i><0.01), with most cells retained at the G0/G1 stage. In contrast, the mitochondrial respiratory activities of the HCT116 were promoted by concentrations of PFOA as low as 50 μmol/L. Two genes related to cellular metabolism (dipeptidase 1 (<i>DPEP1</i>) and sphingosine kinase 1 (<i>SPHK1</i>)) were found to be related to the PFOA-promoted formation of ulcerative colitis using our self-developed Metabolic Gene and Pathway Query software and Comparative Toxicogenomics Database (CTD). The qPCR studies revealed that <i>DPEP1</i> and <i>SPHK1</i> expression levels were enhanced by 8-10 times in HCT116 exposed to 300 μmol/L PFOA relative to the control, whereas this trend was not observed for HCT116 exposed to 50 μmol/L PFOA. Collectively, these results suggest that the respiratory activity of cellular mitochondria may serve as an index for determining the interference effects associated with PFOA and that metabolic pathways mediated by <i>DPEP1</i> and <i>SPHK1</i> may be involved in the development of PFOA-induced ulcerative colitis. Future studies should investigate the relationships between changes in metabolism-related genes (<i>DPEP1</i> and <i>SPHK1</i>) and the mitochondrial respiratory activities of intestinal cells, and verify the roles played by the <i>DPEP1</i> and <i>SPHK1</i> genes in PFOA-induced intestinal inflammation using in-vivo models.</p>","PeriodicalId":101336,"journal":{"name":"Se pu = Chinese journal of chromatography","volume":"43 1","pages":"96-103"},"PeriodicalIF":0.0000,"publicationDate":"2025-01-01","publicationTypes":"Journal Article","fieldsOfStudy":null,"isOpenAccess":false,"openAccessPdf":"https://www.ncbi.nlm.nih.gov/pmc/articles/PMC11686476/pdf/","citationCount":"0","resultStr":"{\"title\":\"[Evaluation of the toxicity of perfluorooctanoic acid toward human colorectal cancer cells using multi-dimensional approaches].\",\"authors\":\"Rui-Jia Zhang, Ying-Shi Lin, Lan-Yin Tu, Zi-Tong Chen, Wei-Wei Zhang, Tian-Gang Luan, Bao-Wei Chen\",\"doi\":\"10.3724/SP.J.1123.2024.05022\",\"DOIUrl\":null,\"url\":null,\"abstract\":\"<p><p>While human exposure to perfluorooctanoic acid (PFOA) can lead to ulcerative colitis, the molecular mechanisms responsible for PFOA-induced intestinal toxicity are unclear. Herein, we examined the toxicity of PFOA toward human colorectal cancer cells (HCT116) from three dimensions: the cytotoxic phenotype, cell respiration, and transcription levels of metabolism-related genes. Formazan was used to assess how PFOA exposure affects HCT116-cell relative viability, after which the mitochondrial respiratory activities of these cells were determined by analyzing extracellular flux. The quantitative real-time polymerase chain reaction (qPCR) method was used to detect metabolism-related gene expression levels. The cytotoxicity assay revealed that the HCT116 showed significantly inhibited relative activities compared to those of the control when exposed to 300 μmol/L PFOA for 48 h (<i>p</i><0.01), with most cells retained at the G0/G1 stage. In contrast, the mitochondrial respiratory activities of the HCT116 were promoted by concentrations of PFOA as low as 50 μmol/L. Two genes related to cellular metabolism (dipeptidase 1 (<i>DPEP1</i>) and sphingosine kinase 1 (<i>SPHK1</i>)) were found to be related to the PFOA-promoted formation of ulcerative colitis using our self-developed Metabolic Gene and Pathway Query software and Comparative Toxicogenomics Database (CTD). The qPCR studies revealed that <i>DPEP1</i> and <i>SPHK1</i> expression levels were enhanced by 8-10 times in HCT116 exposed to 300 μmol/L PFOA relative to the control, whereas this trend was not observed for HCT116 exposed to 50 μmol/L PFOA. Collectively, these results suggest that the respiratory activity of cellular mitochondria may serve as an index for determining the interference effects associated with PFOA and that metabolic pathways mediated by <i>DPEP1</i> and <i>SPHK1</i> may be involved in the development of PFOA-induced ulcerative colitis. Future studies should investigate the relationships between changes in metabolism-related genes (<i>DPEP1</i> and <i>SPHK1</i>) and the mitochondrial respiratory activities of intestinal cells, and verify the roles played by the <i>DPEP1</i> and <i>SPHK1</i> genes in PFOA-induced intestinal inflammation using in-vivo models.</p>\",\"PeriodicalId\":101336,\"journal\":{\"name\":\"Se pu = Chinese journal of chromatography\",\"volume\":\"43 1\",\"pages\":\"96-103\"},\"PeriodicalIF\":0.0000,\"publicationDate\":\"2025-01-01\",\"publicationTypes\":\"Journal Article\",\"fieldsOfStudy\":null,\"isOpenAccess\":false,\"openAccessPdf\":\"https://www.ncbi.nlm.nih.gov/pmc/articles/PMC11686476/pdf/\",\"citationCount\":\"0\",\"resultStr\":null,\"platform\":\"Semanticscholar\",\"paperid\":null,\"PeriodicalName\":\"Se pu = Chinese journal of chromatography\",\"FirstCategoryId\":\"1085\",\"ListUrlMain\":\"https://doi.org/10.3724/SP.J.1123.2024.05022\",\"RegionNum\":0,\"RegionCategory\":null,\"ArticlePicture\":[],\"TitleCN\":null,\"AbstractTextCN\":null,\"PMCID\":null,\"EPubDate\":\"\",\"PubModel\":\"\",\"JCR\":\"\",\"JCRName\":\"\",\"Score\":null,\"Total\":0}","platform":"Semanticscholar","paperid":null,"PeriodicalName":"Se pu = Chinese journal of chromatography","FirstCategoryId":"1085","ListUrlMain":"https://doi.org/10.3724/SP.J.1123.2024.05022","RegionNum":0,"RegionCategory":null,"ArticlePicture":[],"TitleCN":null,"AbstractTextCN":null,"PMCID":null,"EPubDate":"","PubModel":"","JCR":"","JCRName":"","Score":null,"Total":0}
引用次数: 0

摘要

虽然人类接触全氟辛酸(PFOA)可导致溃疡性结肠炎,但PFOA诱导肠道毒性的分子机制尚不清楚。本研究从细胞毒性表型、细胞呼吸和代谢相关基因的转录水平三个方面研究了PFOA对人类结直肠癌细胞(HCT116)的毒性。使用Formazan来评估PFOA暴露如何影响hct116细胞的相对活力,之后通过分析细胞外通量来确定这些细胞的线粒体呼吸活动。采用实时定量聚合酶链反应(qPCR)法检测代谢相关基因表达水平。细胞毒性实验结果显示,与对照组相比,HCT116暴露于300 μmol/L PFOA 48 h后的相对活性显著降低(pDPEP1),利用自主开发的代谢基因和途径查询软件和比较毒物基因组学数据库(CTD)发现SPHK1激酶(SPHK1)与PFOA促进溃疡性结肠炎的形成有关。qPCR结果显示,300 μmol/L PFOA处理的HCT116中DPEP1和SPHK1的表达量比对照提高了8 ~ 10倍,而50 μmol/L PFOA处理的HCT116中DPEP1和SPHK1的表达量没有明显提高。总之,这些结果表明,细胞线粒体的呼吸活性可能是确定PFOA相关干扰效应的指标,DPEP1和SPHK1介导的代谢途径可能参与了PFOA诱导的溃疡性结肠炎的发生。未来的研究应进一步探讨代谢相关基因(DPEP1和SPHK1)的变化与肠道细胞线粒体呼吸活动的关系,并通过体内模型验证DPEP1和SPHK1基因在pfoa诱导的肠道炎症中的作用。
本文章由计算机程序翻译,如有差异,请以英文原文为准。

[Evaluation of the toxicity of perfluorooctanoic acid toward human colorectal cancer cells using multi-dimensional approaches].

[Evaluation of the toxicity of perfluorooctanoic acid toward human colorectal cancer cells using multi-dimensional approaches].

[Evaluation of the toxicity of perfluorooctanoic acid toward human colorectal cancer cells using multi-dimensional approaches].

[Evaluation of the toxicity of perfluorooctanoic acid toward human colorectal cancer cells using multi-dimensional approaches].

While human exposure to perfluorooctanoic acid (PFOA) can lead to ulcerative colitis, the molecular mechanisms responsible for PFOA-induced intestinal toxicity are unclear. Herein, we examined the toxicity of PFOA toward human colorectal cancer cells (HCT116) from three dimensions: the cytotoxic phenotype, cell respiration, and transcription levels of metabolism-related genes. Formazan was used to assess how PFOA exposure affects HCT116-cell relative viability, after which the mitochondrial respiratory activities of these cells were determined by analyzing extracellular flux. The quantitative real-time polymerase chain reaction (qPCR) method was used to detect metabolism-related gene expression levels. The cytotoxicity assay revealed that the HCT116 showed significantly inhibited relative activities compared to those of the control when exposed to 300 μmol/L PFOA for 48 h (p<0.01), with most cells retained at the G0/G1 stage. In contrast, the mitochondrial respiratory activities of the HCT116 were promoted by concentrations of PFOA as low as 50 μmol/L. Two genes related to cellular metabolism (dipeptidase 1 (DPEP1) and sphingosine kinase 1 (SPHK1)) were found to be related to the PFOA-promoted formation of ulcerative colitis using our self-developed Metabolic Gene and Pathway Query software and Comparative Toxicogenomics Database (CTD). The qPCR studies revealed that DPEP1 and SPHK1 expression levels were enhanced by 8-10 times in HCT116 exposed to 300 μmol/L PFOA relative to the control, whereas this trend was not observed for HCT116 exposed to 50 μmol/L PFOA. Collectively, these results suggest that the respiratory activity of cellular mitochondria may serve as an index for determining the interference effects associated with PFOA and that metabolic pathways mediated by DPEP1 and SPHK1 may be involved in the development of PFOA-induced ulcerative colitis. Future studies should investigate the relationships between changes in metabolism-related genes (DPEP1 and SPHK1) and the mitochondrial respiratory activities of intestinal cells, and verify the roles played by the DPEP1 and SPHK1 genes in PFOA-induced intestinal inflammation using in-vivo models.

求助全文
通过发布文献求助,成功后即可免费获取论文全文。 去求助
来源期刊
自引率
0.00%
发文量
0
×
引用
GB/T 7714-2015
复制
MLA
复制
APA
复制
导出至
BibTeX EndNote RefMan NoteFirst NoteExpress
×
提示
您的信息不完整,为了账户安全,请先补充。
现在去补充
×
提示
您因"违规操作"
具体请查看互助需知
我知道了
×
提示
确定
请完成安全验证×
copy
已复制链接
快去分享给好友吧!
我知道了
右上角分享
点击右上角分享
0
联系我们:info@booksci.cn Book学术提供免费学术资源搜索服务,方便国内外学者检索中英文文献。致力于提供最便捷和优质的服务体验。 Copyright © 2023 布克学术 All rights reserved.
京ICP备2023020795号-1
ghs 京公网安备 11010802042870号
Book学术文献互助
Book学术文献互助群
群 号:604180095
Book学术官方微信