依兰那坦在健康志愿者体内的物质平衡恢复、吸收、代谢和排泄及体外生物转化。

IF 2.4 4区 医学 Q3 PHARMACOLOGY & PHARMACY
Simone I Schulz, Marcus-Hillert Schultze-Mosgau, Anna Engelen, Nand Singh, Steve Pawsey, Klaus Francke, Ruth Lock, Antje Rottmann
{"title":"依兰那坦在健康志愿者体内的物质平衡恢复、吸收、代谢和排泄及体外生物转化。","authors":"Simone I Schulz, Marcus-Hillert Schultze-Mosgau, Anna Engelen, Nand Singh, Steve Pawsey, Klaus Francke, Ruth Lock, Antje Rottmann","doi":"10.1007/s13318-024-00930-3","DOIUrl":null,"url":null,"abstract":"<p><strong>Background: </strong>Elinzanetant is a dual neurokinin-1,3 receptor antagonist in development for the treatment of menopausal vasomotor symptoms. The objectives of these studies were to characterize the mass balance and biotransformation of elinzanetant.</p><p><strong>Methods: </strong>In the clinical evaluation, whole blood, plasma, urine, and feces were collected from healthy fasted male volunteers (n = 6) following a single dose of 120 mg [<sup>14</sup>C]-elinzanetant oral suspension for analysis of total radioactivity and metabolite profiling. In vitro reaction phenotyping and kinetics experiments on enzymes involved in elinzanetant metabolism were performed.</p><p><strong>Results: </strong>On average, 90.8% of the total radioactivity administered was recovered in excreta over 480 h, mostly via the fecal route (feces 90.4%; urine 0.4%). Elinzanetant was rapidly absorbed and extensively metabolized but remained the main circulating species in plasma, accounting for 39.1% of total radioactivity. Known principal and active metabolites M27, M30/34, and M18/21 accounted for 7.6%, 13.7%, and 4.9% of total radioactivity in plasma, respectively. All other radiolabeled plasma components were each < 3.5%, revealing the oxidation product M30/34 as the only metabolite with relevant exposure (> 10% of total radioactivity). In feces, metabolites resulting from oxidative biotransformation accounted, in sum, for ~ 40% of the dose, while elinzanetant remained the primary drug-related moiety. Results of in vitro experiments indicated that metabolism of elinzanetant was primarily mediated by cytochrome P450 3A4, with minor contribution from uridine 5'-diphospho-glucuronosyltransferase.</p><p><strong>Conclusions: </strong>Elinzanetant is metabolized mainly via oxidative biotransformation mediated by cytochrome P450 3A4, and primarily excreted in feces. The primary oxidation product M30/34 is a major human metabolite of elinzanetant.</p><p><strong>Trial registration number: </strong>NCT04654897.</p>","PeriodicalId":11939,"journal":{"name":"European Journal of Drug Metabolism and Pharmacokinetics","volume":" ","pages":"91-103"},"PeriodicalIF":2.4000,"publicationDate":"2025-01-01","publicationTypes":"Journal Article","fieldsOfStudy":null,"isOpenAccess":false,"openAccessPdf":"https://www.ncbi.nlm.nih.gov/pmc/articles/PMC11802607/pdf/","citationCount":"0","resultStr":"{\"title\":\"Mass Balance Recovery, Absorption, Metabolism, and Excretion of Elinzanetant in Healthy Human Volunteers and in vitro Biotransformation.\",\"authors\":\"Simone I Schulz, Marcus-Hillert Schultze-Mosgau, Anna Engelen, Nand Singh, Steve Pawsey, Klaus Francke, Ruth Lock, Antje Rottmann\",\"doi\":\"10.1007/s13318-024-00930-3\",\"DOIUrl\":null,\"url\":null,\"abstract\":\"<p><strong>Background: </strong>Elinzanetant is a dual neurokinin-1,3 receptor antagonist in development for the treatment of menopausal vasomotor symptoms. The objectives of these studies were to characterize the mass balance and biotransformation of elinzanetant.</p><p><strong>Methods: </strong>In the clinical evaluation, whole blood, plasma, urine, and feces were collected from healthy fasted male volunteers (n = 6) following a single dose of 120 mg [<sup>14</sup>C]-elinzanetant oral suspension for analysis of total radioactivity and metabolite profiling. In vitro reaction phenotyping and kinetics experiments on enzymes involved in elinzanetant metabolism were performed.</p><p><strong>Results: </strong>On average, 90.8% of the total radioactivity administered was recovered in excreta over 480 h, mostly via the fecal route (feces 90.4%; urine 0.4%). Elinzanetant was rapidly absorbed and extensively metabolized but remained the main circulating species in plasma, accounting for 39.1% of total radioactivity. Known principal and active metabolites M27, M30/34, and M18/21 accounted for 7.6%, 13.7%, and 4.9% of total radioactivity in plasma, respectively. All other radiolabeled plasma components were each < 3.5%, revealing the oxidation product M30/34 as the only metabolite with relevant exposure (> 10% of total radioactivity). In feces, metabolites resulting from oxidative biotransformation accounted, in sum, for ~ 40% of the dose, while elinzanetant remained the primary drug-related moiety. Results of in vitro experiments indicated that metabolism of elinzanetant was primarily mediated by cytochrome P450 3A4, with minor contribution from uridine 5'-diphospho-glucuronosyltransferase.</p><p><strong>Conclusions: </strong>Elinzanetant is metabolized mainly via oxidative biotransformation mediated by cytochrome P450 3A4, and primarily excreted in feces. The primary oxidation product M30/34 is a major human metabolite of elinzanetant.</p><p><strong>Trial registration number: </strong>NCT04654897.</p>\",\"PeriodicalId\":11939,\"journal\":{\"name\":\"European Journal of Drug Metabolism and Pharmacokinetics\",\"volume\":\" \",\"pages\":\"91-103\"},\"PeriodicalIF\":2.4000,\"publicationDate\":\"2025-01-01\",\"publicationTypes\":\"Journal Article\",\"fieldsOfStudy\":null,\"isOpenAccess\":false,\"openAccessPdf\":\"https://www.ncbi.nlm.nih.gov/pmc/articles/PMC11802607/pdf/\",\"citationCount\":\"0\",\"resultStr\":null,\"platform\":\"Semanticscholar\",\"paperid\":null,\"PeriodicalName\":\"European Journal of Drug Metabolism and Pharmacokinetics\",\"FirstCategoryId\":\"3\",\"ListUrlMain\":\"https://doi.org/10.1007/s13318-024-00930-3\",\"RegionNum\":4,\"RegionCategory\":\"医学\",\"ArticlePicture\":[],\"TitleCN\":null,\"AbstractTextCN\":null,\"PMCID\":null,\"EPubDate\":\"2024/12/24 0:00:00\",\"PubModel\":\"Epub\",\"JCR\":\"Q3\",\"JCRName\":\"PHARMACOLOGY & PHARMACY\",\"Score\":null,\"Total\":0}","platform":"Semanticscholar","paperid":null,"PeriodicalName":"European Journal of Drug Metabolism and Pharmacokinetics","FirstCategoryId":"3","ListUrlMain":"https://doi.org/10.1007/s13318-024-00930-3","RegionNum":4,"RegionCategory":"医学","ArticlePicture":[],"TitleCN":null,"AbstractTextCN":null,"PMCID":null,"EPubDate":"2024/12/24 0:00:00","PubModel":"Epub","JCR":"Q3","JCRName":"PHARMACOLOGY & PHARMACY","Score":null,"Total":0}
引用次数: 0

摘要

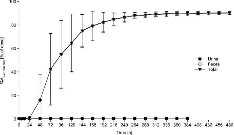
背景:Elinzanetant是一种正在开发的双神经激肽-1,3受体拮抗剂,用于治疗绝经期血管舒缩症状。这些研究的目的是表征植物的质量平衡和生物转化。方法:在临床评价中,采集健康禁食男性志愿者(n = 6)在单次给药120 mg [14C]-elinzanetant口服混悬液后的全血、血浆、尿液和粪便,分析总放射性和代谢物谱。研究了葛兰内坦代谢相关酶的体外反应表型和动力学实验。结果:在480 h内,平均90.8%的给药总放射性在排泄物中被回收,主要通过粪便途径(粪便90.4%;尿液0.4%)。依兰那坦被迅速吸收和广泛代谢,但仍是血浆中主要的循环物质,占总放射性的39.1%。已知主要代谢物和活性代谢物M27、M30/34和M18/21分别占血浆总放射性的7.6%、13.7%和4.9%。所有其他放射性标记的血浆成分均< 3.5%,表明氧化产物M30/34是唯一相关暴露的代谢物(占总放射性的10%)。在粪便中,氧化生物转化产生的代谢物占总剂量的约40%,而elinzanetant仍然是主要的药物相关部分。体外实验结果表明,依兰那坦的代谢主要由细胞色素P450 3A4介导,尿苷5′-二磷酸葡萄糖醛酸转移酶也有少量参与。结论:依兰那坦主要通过细胞色素P450 3A4介导的氧化生物转化代谢,主要通过粪便排出体外。一氧化产物M30/34是依兰内坦的主要人体代谢物。试验注册号:NCT04654897。
本文章由计算机程序翻译,如有差异,请以英文原文为准。

Mass Balance Recovery, Absorption, Metabolism, and Excretion of Elinzanetant in Healthy Human Volunteers and in vitro Biotransformation.

Mass Balance Recovery, Absorption, Metabolism, and Excretion of Elinzanetant in Healthy Human Volunteers and in vitro Biotransformation.

Mass Balance Recovery, Absorption, Metabolism, and Excretion of Elinzanetant in Healthy Human Volunteers and in vitro Biotransformation.

Mass Balance Recovery, Absorption, Metabolism, and Excretion of Elinzanetant in Healthy Human Volunteers and in vitro Biotransformation.

Background: Elinzanetant is a dual neurokinin-1,3 receptor antagonist in development for the treatment of menopausal vasomotor symptoms. The objectives of these studies were to characterize the mass balance and biotransformation of elinzanetant.

Methods: In the clinical evaluation, whole blood, plasma, urine, and feces were collected from healthy fasted male volunteers (n = 6) following a single dose of 120 mg [14C]-elinzanetant oral suspension for analysis of total radioactivity and metabolite profiling. In vitro reaction phenotyping and kinetics experiments on enzymes involved in elinzanetant metabolism were performed.

Results: On average, 90.8% of the total radioactivity administered was recovered in excreta over 480 h, mostly via the fecal route (feces 90.4%; urine 0.4%). Elinzanetant was rapidly absorbed and extensively metabolized but remained the main circulating species in plasma, accounting for 39.1% of total radioactivity. Known principal and active metabolites M27, M30/34, and M18/21 accounted for 7.6%, 13.7%, and 4.9% of total radioactivity in plasma, respectively. All other radiolabeled plasma components were each < 3.5%, revealing the oxidation product M30/34 as the only metabolite with relevant exposure (> 10% of total radioactivity). In feces, metabolites resulting from oxidative biotransformation accounted, in sum, for ~ 40% of the dose, while elinzanetant remained the primary drug-related moiety. Results of in vitro experiments indicated that metabolism of elinzanetant was primarily mediated by cytochrome P450 3A4, with minor contribution from uridine 5'-diphospho-glucuronosyltransferase.

Conclusions: Elinzanetant is metabolized mainly via oxidative biotransformation mediated by cytochrome P450 3A4, and primarily excreted in feces. The primary oxidation product M30/34 is a major human metabolite of elinzanetant.

Trial registration number: NCT04654897.

求助全文
通过发布文献求助,成功后即可免费获取论文全文。 去求助
来源期刊
CiteScore
3.70
自引率
0.00%
发文量
64
审稿时长
>12 weeks
期刊介绍: Hepatology International is a peer-reviewed journal featuring articles written by clinicians, clinical researchers and basic scientists is dedicated to research and patient care issues in hepatology. This journal focuses mainly on new and emerging diagnostic and treatment options, protocols and molecular and cellular basis of disease pathogenesis, new technologies, in liver and biliary sciences. Hepatology International publishes original research articles related to clinical care and basic research; review articles; consensus guidelines for diagnosis and treatment; invited editorials, and controversies in contemporary issues. The journal does not publish case reports.
×
引用
GB/T 7714-2015
复制
MLA
复制
APA
复制
导出至
BibTeX EndNote RefMan NoteFirst NoteExpress
×
提示
您的信息不完整,为了账户安全,请先补充。
现在去补充
×
提示
您因"违规操作"
具体请查看互助需知
我知道了
×
提示
确定
请完成安全验证×
copy
已复制链接
快去分享给好友吧!
我知道了
右上角分享
点击右上角分享
0
联系我们:info@booksci.cn Book学术提供免费学术资源搜索服务,方便国内外学者检索中英文文献。致力于提供最便捷和优质的服务体验。 Copyright © 2023 布克学术 All rights reserved.
京ICP备2023020795号-1
ghs 京公网安备 11010802042870号
Book学术文献互助
Book学术文献互助群
群 号:604180095
Book学术官方微信
小红书