高白细胞介素(IL)-6与哮喘患者肺功能降低和代谢功能障碍增加的可能性相关

IF 3 Q2 RESPIRATORY SYSTEM
Pulmonary Therapy Pub Date : 2025-03-01 Epub Date: 2024-12-23 DOI:10.1007/s41030-024-00281-z
Dionne Adair, AmirBehzad Bagheri, Matheos Yosef, Shokoufeh Khalatbari, Toby Lewis, Arjun Mohan, Njira Lugogo
{"title":"高白细胞介素(IL)-6与哮喘患者肺功能降低和代谢功能障碍增加的可能性相关","authors":"Dionne Adair, AmirBehzad Bagheri, Matheos Yosef, Shokoufeh Khalatbari, Toby Lewis, Arjun Mohan, Njira Lugogo","doi":"10.1007/s41030-024-00281-z","DOIUrl":null,"url":null,"abstract":"<p><strong>Introduction: </strong>Asthma is a complex condition characterized by airway inflammation. Interleukin-6 (IL-6) plays a significant role in asthma pathogenesis through its effects on T cells and its association with pro-inflammatory responses. Both lung and circulating IL-6 levels are elevated in asthma. IL-6 is positively associated with disease severity, frequent exacerbations, and impaired lung function, all of which can be observed clinically. We developed an IL-6 cut-off model to examine the association between high IL-6, race, high body mass index (BMI), metabolic disease, and asthma severity as assessed by reduced lung function.</p><p><strong>Methods: </strong>This study utilized the Coronary Artery Risk Development in Young Adults (CARDIA) database, comprised of 5115 adults, to investigate the relationship between IL-6 levels, asthma, race, and metabolic dysfunction. A \"healthy\" subset of 427 patients was used to compute the IL-6 cut-off. IL-6 levels within detection limits (0.15-12 pg/mL) were analyzed. The IL-6 cut-off was determined using the 95th percentile of log-transformed IL-6 values for lean (BMI < 25) and healthy individuals. Specific cut-offs were established for racial groups. Statistical analyses involved comparing patient characteristics between high and low IL-6 groups, regression analyses, and assessment of factors influencing lung function changes.</p><p><strong>Results: </strong>Using an IL-6 cut-off of 4.979 pg/mL, the cohort was divided into high and low IL-6 groups. High IL-6 correlated with Black race, higher BMI, hypertension, and markers of metabolic dysfunction, e.g., elevated HbA1c, C-reactive protein (CRP), and reduced lung function. Multivariable analysis linked high IL-6 with male gender, high BMI, Black race, HbA1c, CRP, and inversely with lung function and total cholesterol. Obesity showed a consistent positive association with elevated IL-6, regardless of the presence or absence of asthma. Patients with asthma and high IL-6 were more likely to be Black and showed increased CRP. Lung function was lowest in non-lean, high IL-6 patients with asthma, with similar trends in non-lean (BMI ≥ 25) patients without asthma.</p><p><strong>Conclusion: </strong>This study underscores the significant association between IL-6, asthma, obesity, and metabolic dysfunction. Elevated IL-6 correlates with asthma severity, particularly in individuals with obesity. Future research should explore anti-IL-6 therapies for specific phenotypes, such as obesity-related asthma. These findings advance our understanding of asthma and the role of IL-6 in its pathogenesis.</p>","PeriodicalId":20919,"journal":{"name":"Pulmonary Therapy","volume":" ","pages":"41-54"},"PeriodicalIF":3.0000,"publicationDate":"2025-03-01","publicationTypes":"Journal Article","fieldsOfStudy":null,"isOpenAccess":false,"openAccessPdf":"https://www.ncbi.nlm.nih.gov/pmc/articles/PMC11861817/pdf/","citationCount":"0","resultStr":"{\"title\":\"High Interleukin (IL)-6 is Associated with Lower Lung Function and Increased Likelihood of Metabolic Dysfunction in Asthma.\",\"authors\":\"Dionne Adair, AmirBehzad Bagheri, Matheos Yosef, Shokoufeh Khalatbari, Toby Lewis, Arjun Mohan, Njira Lugogo\",\"doi\":\"10.1007/s41030-024-00281-z\",\"DOIUrl\":null,\"url\":null,\"abstract\":\"<p><strong>Introduction: </strong>Asthma is a complex condition characterized by airway inflammation. Interleukin-6 (IL-6) plays a significant role in asthma pathogenesis through its effects on T cells and its association with pro-inflammatory responses. Both lung and circulating IL-6 levels are elevated in asthma. IL-6 is positively associated with disease severity, frequent exacerbations, and impaired lung function, all of which can be observed clinically. We developed an IL-6 cut-off model to examine the association between high IL-6, race, high body mass index (BMI), metabolic disease, and asthma severity as assessed by reduced lung function.</p><p><strong>Methods: </strong>This study utilized the Coronary Artery Risk Development in Young Adults (CARDIA) database, comprised of 5115 adults, to investigate the relationship between IL-6 levels, asthma, race, and metabolic dysfunction. A \\\"healthy\\\" subset of 427 patients was used to compute the IL-6 cut-off. IL-6 levels within detection limits (0.15-12 pg/mL) were analyzed. The IL-6 cut-off was determined using the 95th percentile of log-transformed IL-6 values for lean (BMI < 25) and healthy individuals. Specific cut-offs were established for racial groups. Statistical analyses involved comparing patient characteristics between high and low IL-6 groups, regression analyses, and assessment of factors influencing lung function changes.</p><p><strong>Results: </strong>Using an IL-6 cut-off of 4.979 pg/mL, the cohort was divided into high and low IL-6 groups. High IL-6 correlated with Black race, higher BMI, hypertension, and markers of metabolic dysfunction, e.g., elevated HbA1c, C-reactive protein (CRP), and reduced lung function. Multivariable analysis linked high IL-6 with male gender, high BMI, Black race, HbA1c, CRP, and inversely with lung function and total cholesterol. Obesity showed a consistent positive association with elevated IL-6, regardless of the presence or absence of asthma. Patients with asthma and high IL-6 were more likely to be Black and showed increased CRP. Lung function was lowest in non-lean, high IL-6 patients with asthma, with similar trends in non-lean (BMI ≥ 25) patients without asthma.</p><p><strong>Conclusion: </strong>This study underscores the significant association between IL-6, asthma, obesity, and metabolic dysfunction. Elevated IL-6 correlates with asthma severity, particularly in individuals with obesity. Future research should explore anti-IL-6 therapies for specific phenotypes, such as obesity-related asthma. These findings advance our understanding of asthma and the role of IL-6 in its pathogenesis.</p>\",\"PeriodicalId\":20919,\"journal\":{\"name\":\"Pulmonary Therapy\",\"volume\":\" \",\"pages\":\"41-54\"},\"PeriodicalIF\":3.0000,\"publicationDate\":\"2025-03-01\",\"publicationTypes\":\"Journal Article\",\"fieldsOfStudy\":null,\"isOpenAccess\":false,\"openAccessPdf\":\"https://www.ncbi.nlm.nih.gov/pmc/articles/PMC11861817/pdf/\",\"citationCount\":\"0\",\"resultStr\":null,\"platform\":\"Semanticscholar\",\"paperid\":null,\"PeriodicalName\":\"Pulmonary Therapy\",\"FirstCategoryId\":\"1085\",\"ListUrlMain\":\"https://doi.org/10.1007/s41030-024-00281-z\",\"RegionNum\":0,\"RegionCategory\":null,\"ArticlePicture\":[],\"TitleCN\":null,\"AbstractTextCN\":null,\"PMCID\":null,\"EPubDate\":\"2024/12/23 0:00:00\",\"PubModel\":\"Epub\",\"JCR\":\"Q2\",\"JCRName\":\"RESPIRATORY SYSTEM\",\"Score\":null,\"Total\":0}","platform":"Semanticscholar","paperid":null,"PeriodicalName":"Pulmonary Therapy","FirstCategoryId":"1085","ListUrlMain":"https://doi.org/10.1007/s41030-024-00281-z","RegionNum":0,"RegionCategory":null,"ArticlePicture":[],"TitleCN":null,"AbstractTextCN":null,"PMCID":null,"EPubDate":"2024/12/23 0:00:00","PubModel":"Epub","JCR":"Q2","JCRName":"RESPIRATORY SYSTEM","Score":null,"Total":0}
引用次数: 0

摘要

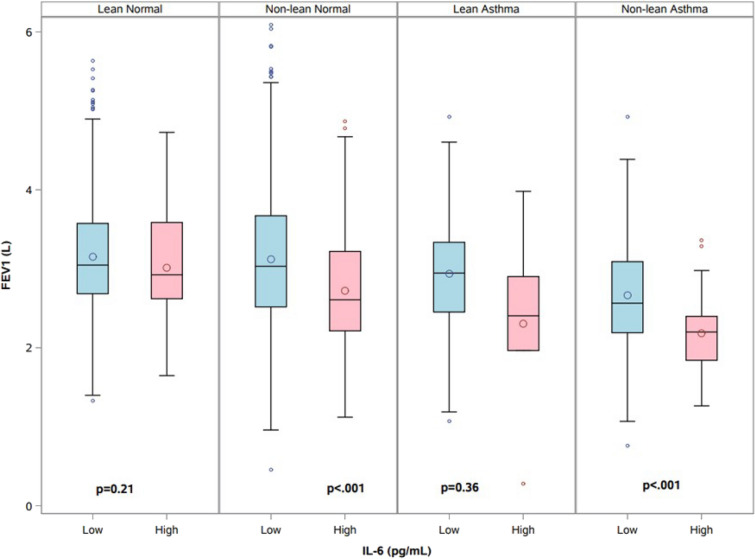
简介:哮喘是一种以气道炎症为特征的复杂疾病。白细胞介素-6 (IL-6)通过其对T细胞的作用及其与促炎反应的关联在哮喘发病机制中发挥重要作用。哮喘患者肺和循环IL-6水平均升高。IL-6与疾病严重程度、频繁加重、肺功能受损呈正相关,均可在临床上观察到。我们建立了一个IL-6截断模型,通过肺功能降低来检测高IL-6、种族、高体重指数(BMI)、代谢性疾病和哮喘严重程度之间的关系。方法:本研究利用由5115名成年人组成的年轻人冠状动脉风险发展(CARDIA)数据库,调查IL-6水平、哮喘、种族和代谢功能障碍之间的关系。427名“健康”患者被用来计算IL-6的临界值。分析检测限(0.15 ~ 12 pg/mL)内IL-6水平。IL-6的临界值采用瘦BMI的对数转换IL-6值的第95百分位数确定。结果:使用IL-6的临界值为4.979 pg/mL,将队列分为高IL-6组和低IL-6组。高IL-6与黑人、高BMI、高血压和代谢功能障碍标志物(如HbA1c升高、c反应蛋白(CRP)升高和肺功能降低)相关。多变量分析表明,高IL-6与男性、高BMI、黑人、HbA1c、CRP相关,与肺功能和总胆固醇呈负相关。无论是否存在哮喘,肥胖均与IL-6升高呈一致的正相关。哮喘和高IL-6的患者更有可能是黑色的,并显示CRP升高。非瘦、高IL-6哮喘患者肺功能最低,非瘦(BMI≥25)无哮喘患者肺功能最低。结论:本研究强调了IL-6与哮喘、肥胖和代谢功能障碍之间的显著关联。IL-6升高与哮喘严重程度相关,尤其是在肥胖人群中。未来的研究应该探索针对特定表型(如肥胖相关哮喘)的抗il -6疗法。这些发现促进了我们对哮喘和IL-6在其发病机制中的作用的理解。
本文章由计算机程序翻译,如有差异,请以英文原文为准。

High Interleukin (IL)-6 is Associated with Lower Lung Function and Increased Likelihood of Metabolic Dysfunction in Asthma.

High Interleukin (IL)-6 is Associated with Lower Lung Function and Increased Likelihood of Metabolic Dysfunction in Asthma.

High Interleukin (IL)-6 is Associated with Lower Lung Function and Increased Likelihood of Metabolic Dysfunction in Asthma.

High Interleukin (IL)-6 is Associated with Lower Lung Function and Increased Likelihood of Metabolic Dysfunction in Asthma.

Introduction: Asthma is a complex condition characterized by airway inflammation. Interleukin-6 (IL-6) plays a significant role in asthma pathogenesis through its effects on T cells and its association with pro-inflammatory responses. Both lung and circulating IL-6 levels are elevated in asthma. IL-6 is positively associated with disease severity, frequent exacerbations, and impaired lung function, all of which can be observed clinically. We developed an IL-6 cut-off model to examine the association between high IL-6, race, high body mass index (BMI), metabolic disease, and asthma severity as assessed by reduced lung function.

Methods: This study utilized the Coronary Artery Risk Development in Young Adults (CARDIA) database, comprised of 5115 adults, to investigate the relationship between IL-6 levels, asthma, race, and metabolic dysfunction. A "healthy" subset of 427 patients was used to compute the IL-6 cut-off. IL-6 levels within detection limits (0.15-12 pg/mL) were analyzed. The IL-6 cut-off was determined using the 95th percentile of log-transformed IL-6 values for lean (BMI < 25) and healthy individuals. Specific cut-offs were established for racial groups. Statistical analyses involved comparing patient characteristics between high and low IL-6 groups, regression analyses, and assessment of factors influencing lung function changes.

Results: Using an IL-6 cut-off of 4.979 pg/mL, the cohort was divided into high and low IL-6 groups. High IL-6 correlated with Black race, higher BMI, hypertension, and markers of metabolic dysfunction, e.g., elevated HbA1c, C-reactive protein (CRP), and reduced lung function. Multivariable analysis linked high IL-6 with male gender, high BMI, Black race, HbA1c, CRP, and inversely with lung function and total cholesterol. Obesity showed a consistent positive association with elevated IL-6, regardless of the presence or absence of asthma. Patients with asthma and high IL-6 were more likely to be Black and showed increased CRP. Lung function was lowest in non-lean, high IL-6 patients with asthma, with similar trends in non-lean (BMI ≥ 25) patients without asthma.

Conclusion: This study underscores the significant association between IL-6, asthma, obesity, and metabolic dysfunction. Elevated IL-6 correlates with asthma severity, particularly in individuals with obesity. Future research should explore anti-IL-6 therapies for specific phenotypes, such as obesity-related asthma. These findings advance our understanding of asthma and the role of IL-6 in its pathogenesis.

求助全文
通过发布文献求助,成功后即可免费获取论文全文。 去求助
来源期刊
Pulmonary Therapy
Pulmonary Therapy Medicine-Pulmonary and Respiratory Medicine
CiteScore
5.20
自引率
3.30%
发文量
24
审稿时长
6 weeks
期刊介绍: Aims and Scope Pulmonary Therapy is an international, open access, peer-reviewed (single-blind), and rapid publication journal. The scope of the journal is broad and will consider all scientifically sound research from pre-clinical, clinical (all phases), observational, real-world, and health outcomes research around the use of pulmonary therapies, devices, and surgical techniques. Areas of focus include, but are not limited to: asthma; chronic obstructive pulmonary disease; idiopathic pulmonary fibrosis; pulmonary hypertension; cystic fibrosis; lung cancer; respiratory tract disorders; allergic rhinitis and other respiratory allergies; influenza, pneumococcal infection, respiratory syncytial virus and other respiratory infections; and inhalers and other device therapies. The journal is of interest to a broad audience of pharmaceutical and healthcare professionals and publishes original research, reviews, case reports/series, trial protocols and short communications such as commentaries and editorials. Pulmonary Therapy will consider all scientifically sound research be it positive, confirmatory or negative data. Submissions are welcomed whether they relate to an international and/or a country-specific audience, something that is crucially important when researchers are trying to target more specific patient populations. This inclusive approach allows the journal to assist in the dissemination of quality research, which may be considered of insufficient interest by other journals. Rapid Publication The journal’s publication timelines aim for a rapid peer review of 2 weeks. If an article is accepted it will be published 3–4 weeks from acceptance. The rapid timelines are achieved through the combination of a dedicated in-house editorial team, who manage article workflow, and an extensive Editorial and Advisory Board who assist with peer review. This allows the journal to support the rapid dissemination of research, whilst still providing robust peer review. Combined with the journal’s open access model this allows for the rapid, efficient communication of the latest research and reviews, fostering the advancement of pulmonary therapies. Open Access All articles published by Pulmonary Therapy are open access. Personal Service The journal’s dedicated in-house editorial team offer a personal “concierge service” meaning authors will always have an editorial contact able to update them on the status of their manuscript. The editorial team check all manuscripts to ensure that articles conform to the most recent COPE, GPP and ICMJE publishing guidelines. This supports the publication of ethically sound and transparent research. Digital Features and Plain Language Summaries Pulmonary Therapy offers a range of additional features designed to increase the visibility, readership and educational value of the journal’s content. Each article is accompanied by key summary points, giving a time-efficient overview of the content to a wide readership. Articles may be accompanied by plain language summaries to assist readers who have some knowledge of, but not in-depth expertise in, the area to understand the scientific content and overall implications of the article. The journal also provides the option to include various types of digital features including animated abstracts, video abstracts, slide decks, audio slides, instructional videos, infographics, podcasts and animations. All additional features are peer reviewed to the same high standard as the article itself. If you consider that your paper would benefit from the inclusion of a digital feature, please let us know. Our editorial team are able to create high-quality slide decks and infographics in-house, and video abstracts through our partner Research Square, and would be happy to assist in any way we can. For further information about digital features, please contact the journal editor (see ‘Contact the Journal’ for email address), and see the ‘Guidelines for digital features and plain language summaries’ document under ‘Submission guidelines’. For examples of digital features please visit our showcase page https://springerhealthcare.com/expertise/publishing-digital-features/ Publication Fees Upon acceptance of an article, authors will be required to pay the mandatory Rapid Service Fee of €4500/ $5100/ £3650. The journal will consider fee discounts and waivers for developing countries and this is decided on a case by case basis. Peer Review Process Upon submission, manuscripts are assessed by the editorial team to ensure they fit within the aims and scope of the journal and are also checked for plagiarism. All suitable submissions are then subject to a comprehensive single-blind peer review. Reviewers are selected based on their relevant expertise and publication history in the subject area. The journal has an extensive pool of editorial and advisory board members who have been selected to assist with peer review based on the afore-mentioned criteria. At least two extensive reviews are required to make the editorial decision, with the exception of some article types such as Commentaries, Editorials, and Letters which are generally reviewed by one member of the Editorial Board. Where reviewer recommendations are conflicted, the editorial board will be contacted for further advice and a presiding decision. Manuscripts are then either accepted, rejected or authors are required to make major or minor revisions (both reviewer comments and editorial comments may need to be addressed). Once a revised manuscript is re-submitted, it is assessed along with the responses to reviewer comments and if it has been adequately revised it will be accepted for publication. Accepted manuscripts are then copyedited and typeset by the production team before online publication. Appeals against decisions following peer review are considered on a case-by-case basis and should be sent to the journal editor. Preprints We encourage posting of preprints of primary research manuscripts on preprint servers, authors’ or institutional websites, and open communications between researchers whether on community preprint servers or preprint commenting platforms. Posting of preprints is not considered prior publication and will not jeopardize consideration in our journals. Authors should disclose details of preprint posting during the submission process or at any other point during consideration in one of our journals. Once the manuscript is published, it is the author’s responsibility to ensure that the preprint record is updated with a publication reference, including the DOI and a URL link to the published version of the article on the journal website. Please follow the link for further information on preprint sharing: https://www.springer.com/gp/authors-editors/journal-author/journal-author-helpdesk/submission/1302#c16721550 Copyright Pulmonary Therapy''s content is published open access under the Creative Commons Attribution-Noncommercial License, which allows users to read, copy, distribute, and make derivative works for non-commercial purposes from the material, as long as the author of the original work is cited. The author assigns the exclusive right to any commercial use of the article to Springer. For more information about the Creative Commons Attribution-Noncommercial License, click here: http://creativecommons.org/licenses/by-nc/4.0. Contact For more information about the journal, including pre-submission enquiries, please contact christopher.vautrinot@springer.com.
×
引用
GB/T 7714-2015
复制
MLA
复制
APA
复制
导出至
BibTeX EndNote RefMan NoteFirst NoteExpress
×
提示
您的信息不完整,为了账户安全,请先补充。
现在去补充
×
提示
您因"违规操作"
具体请查看互助需知
我知道了
×
提示
确定
请完成安全验证×
copy
已复制链接
快去分享给好友吧!
我知道了
右上角分享
点击右上角分享
0
联系我们:info@booksci.cn Book学术提供免费学术资源搜索服务,方便国内外学者检索中英文文献。致力于提供最便捷和优质的服务体验。 Copyright © 2023 布克学术 All rights reserved.
京ICP备2023020795号-1
ghs 京公网安备 11010802042870号
Book学术文献互助
Book学术文献互助群
群 号:604180095
Book学术官方微信