回顾性推导成人2型糖尿病患者糖尿病酮症酸中毒的病因途径。

IF 4.1 2区 医学 Q2 ENDOCRINOLOGY & METABOLISM
Jeffrey A Kline, Nicholas A Wesner, Amina T Sharif, Richard T Griffey, Phillip D Levy, Robert D Welch, George Grunberger
{"title":"回顾性推导成人2型糖尿病患者糖尿病酮症酸中毒的病因途径。","authors":"Jeffrey A Kline, Nicholas A Wesner, Amina T Sharif, Richard T Griffey, Phillip D Levy, Robert D Welch, George Grunberger","doi":"10.1136/bmjdrc-2024-004595","DOIUrl":null,"url":null,"abstract":"<p><strong>Background: </strong>Type 2 ketone-prone diabetes mellitus (T2KPDM) is thought to occur in men of African descent, with obesity who experienced prolonged hyperglycemia; the role of medication non-adherence as a contributing cause remains unstudied.</p><p><strong>Research design and methods: </strong>This was a retrospective study of unique adults (>18 years) who sought emergency care one of four hospitals in the greater Detroit area. Patients were identified on the basis of a laboratory order for a ß-hydroxybutyrate concentration. Two research coordinators abstracted 119 data fields. Patients were divided into four phenotypes: (1) no prior DM, (2) type 2 DM without prior ketosis, (3) type 2 with prior ketosis and (4) type 1 DM. A ß-hydroxybutyrate >20 mg/dL defined diabetic ketoacidosis (DKA). A directed acyclic graph was constructed to diagram a causal pathway.</p><p><strong>Results: </strong>Of 450 patients, 326 were non-type I and 37% of these had DKA. Concentrations of ß-hydroxybutyrate, glucose, bicarbonate were not different between non-type1 versus type 1 DM patients. Admission rates to the ICU and hospital lengths of stay were similar between the four phenotypes with DKA. We found no association with sex, race or body mass index. Unadjusted odds for DKA were significant for non-adherence (odds=1.74, 95% CI 1.08 to 2.21) arrival by Emergency Medical Services (odds=0.54, 95% CI 0.33 to 0.86) and private or Medicare insurance (odds=6.80, 95% CI 4.00 to 11.60). The median HbA1C was statistically higher in patients with DKA (median 11.3%) versus those without DKA (median 9.5%, Mann-Whitney U p<0.001) and was also higher in patients with a history of non-adherence. In multivariable analysis, non-adherence was found to be a mediator of DKA with T2KPDM.</p><p><strong>Conclusions: </strong>in Detroit, MI, prior ketosis and private or Medicare health insurance were significantly associated with new or recurrent DKA in T2KPDM. Medication non-adherence had a mediating role.</p>","PeriodicalId":9151,"journal":{"name":"BMJ Open Diabetes Research & Care","volume":"12 6","pages":""},"PeriodicalIF":4.1000,"publicationDate":"2024-12-20","publicationTypes":"Journal Article","fieldsOfStudy":null,"isOpenAccess":false,"openAccessPdf":"https://www.ncbi.nlm.nih.gov/pmc/articles/PMC11664391/pdf/","citationCount":"0","resultStr":"{\"title\":\"Retrospective derivation of a causal pathway for diabetic ketoacidosis in adult patients with type 2 diabetes mellitus.\",\"authors\":\"Jeffrey A Kline, Nicholas A Wesner, Amina T Sharif, Richard T Griffey, Phillip D Levy, Robert D Welch, George Grunberger\",\"doi\":\"10.1136/bmjdrc-2024-004595\",\"DOIUrl\":null,\"url\":null,\"abstract\":\"<p><strong>Background: </strong>Type 2 ketone-prone diabetes mellitus (T2KPDM) is thought to occur in men of African descent, with obesity who experienced prolonged hyperglycemia; the role of medication non-adherence as a contributing cause remains unstudied.</p><p><strong>Research design and methods: </strong>This was a retrospective study of unique adults (>18 years) who sought emergency care one of four hospitals in the greater Detroit area. Patients were identified on the basis of a laboratory order for a ß-hydroxybutyrate concentration. Two research coordinators abstracted 119 data fields. Patients were divided into four phenotypes: (1) no prior DM, (2) type 2 DM without prior ketosis, (3) type 2 with prior ketosis and (4) type 1 DM. A ß-hydroxybutyrate >20 mg/dL defined diabetic ketoacidosis (DKA). A directed acyclic graph was constructed to diagram a causal pathway.</p><p><strong>Results: </strong>Of 450 patients, 326 were non-type I and 37% of these had DKA. Concentrations of ß-hydroxybutyrate, glucose, bicarbonate were not different between non-type1 versus type 1 DM patients. Admission rates to the ICU and hospital lengths of stay were similar between the four phenotypes with DKA. We found no association with sex, race or body mass index. Unadjusted odds for DKA were significant for non-adherence (odds=1.74, 95% CI 1.08 to 2.21) arrival by Emergency Medical Services (odds=0.54, 95% CI 0.33 to 0.86) and private or Medicare insurance (odds=6.80, 95% CI 4.00 to 11.60). The median HbA1C was statistically higher in patients with DKA (median 11.3%) versus those without DKA (median 9.5%, Mann-Whitney U p<0.001) and was also higher in patients with a history of non-adherence. In multivariable analysis, non-adherence was found to be a mediator of DKA with T2KPDM.</p><p><strong>Conclusions: </strong>in Detroit, MI, prior ketosis and private or Medicare health insurance were significantly associated with new or recurrent DKA in T2KPDM. Medication non-adherence had a mediating role.</p>\",\"PeriodicalId\":9151,\"journal\":{\"name\":\"BMJ Open Diabetes Research & Care\",\"volume\":\"12 6\",\"pages\":\"\"},\"PeriodicalIF\":4.1000,\"publicationDate\":\"2024-12-20\",\"publicationTypes\":\"Journal Article\",\"fieldsOfStudy\":null,\"isOpenAccess\":false,\"openAccessPdf\":\"https://www.ncbi.nlm.nih.gov/pmc/articles/PMC11664391/pdf/\",\"citationCount\":\"0\",\"resultStr\":null,\"platform\":\"Semanticscholar\",\"paperid\":null,\"PeriodicalName\":\"BMJ Open Diabetes Research & Care\",\"FirstCategoryId\":\"3\",\"ListUrlMain\":\"https://doi.org/10.1136/bmjdrc-2024-004595\",\"RegionNum\":2,\"RegionCategory\":\"医学\",\"ArticlePicture\":[],\"TitleCN\":null,\"AbstractTextCN\":null,\"PMCID\":null,\"EPubDate\":\"\",\"PubModel\":\"\",\"JCR\":\"Q2\",\"JCRName\":\"ENDOCRINOLOGY & METABOLISM\",\"Score\":null,\"Total\":0}","platform":"Semanticscholar","paperid":null,"PeriodicalName":"BMJ Open Diabetes Research & Care","FirstCategoryId":"3","ListUrlMain":"https://doi.org/10.1136/bmjdrc-2024-004595","RegionNum":2,"RegionCategory":"医学","ArticlePicture":[],"TitleCN":null,"AbstractTextCN":null,"PMCID":null,"EPubDate":"","PubModel":"","JCR":"Q2","JCRName":"ENDOCRINOLOGY & METABOLISM","Score":null,"Total":0}
引用次数: 0

摘要

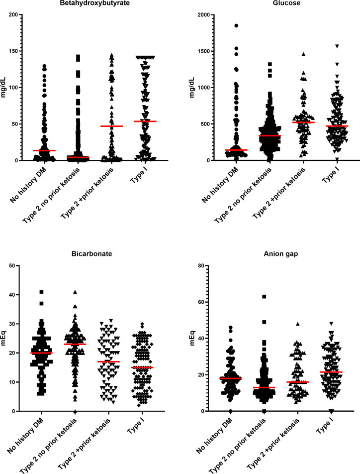
背景:2型酮易感性糖尿病(T2KPDM)被认为发生在非洲裔男性中,伴有长期高血糖的肥胖;药物不依从性作为一个促成原因的作用仍未得到研究。研究设计和方法:这是一项回顾性研究,研究对象是在大底特律地区四家医院之一寻求急诊治疗的特殊成年人(bb0 - 18岁)。根据实验室开出的ß-羟基丁酸盐浓度单对患者进行鉴定。两名研究协调员提取了119个数据字段。患者被分为四种表型:(1)无糖尿病病史,(2)无酮症病史的2型糖尿病,(3)有酮症病史的2型糖尿病和(4)1型糖尿病。A ß-羟基丁酸酯>20 mg/dL定义为糖尿病酮症酸中毒(DKA)。构造了一个有向无环图来表示因果路径。结果:450例患者中,326例为非I型,其中37%为DKA。非1型糖尿病患者与1型糖尿病患者之间ß-羟基丁酸盐、葡萄糖、碳酸氢盐浓度无差异。四种DKA表型患者的ICU入院率和住院时间相似。我们没有发现与性别、种族或体重指数有关。未经调整的DKA在紧急医疗服务(odds=0.54, 95% CI 0.33至0.86)和私人或医疗保险(odds=6.80, 95% CI 4.00至11.60)的非依从性(odds=1.74, 95% CI 1.08至2.21)方面具有显著性。结论:在密歇根州底特律市,既往酮症和私人或医疗保险与T2KPDM患者新发或复发性DKA显著相关。药物依从性有中介作用。
本文章由计算机程序翻译,如有差异,请以英文原文为准。

Retrospective derivation of a causal pathway for diabetic ketoacidosis in adult patients with type 2 diabetes mellitus.

Retrospective derivation of a causal pathway for diabetic ketoacidosis in adult patients with type 2 diabetes mellitus.

Retrospective derivation of a causal pathway for diabetic ketoacidosis in adult patients with type 2 diabetes mellitus.

Background: Type 2 ketone-prone diabetes mellitus (T2KPDM) is thought to occur in men of African descent, with obesity who experienced prolonged hyperglycemia; the role of medication non-adherence as a contributing cause remains unstudied.

Research design and methods: This was a retrospective study of unique adults (>18 years) who sought emergency care one of four hospitals in the greater Detroit area. Patients were identified on the basis of a laboratory order for a ß-hydroxybutyrate concentration. Two research coordinators abstracted 119 data fields. Patients were divided into four phenotypes: (1) no prior DM, (2) type 2 DM without prior ketosis, (3) type 2 with prior ketosis and (4) type 1 DM. A ß-hydroxybutyrate >20 mg/dL defined diabetic ketoacidosis (DKA). A directed acyclic graph was constructed to diagram a causal pathway.

Results: Of 450 patients, 326 were non-type I and 37% of these had DKA. Concentrations of ß-hydroxybutyrate, glucose, bicarbonate were not different between non-type1 versus type 1 DM patients. Admission rates to the ICU and hospital lengths of stay were similar between the four phenotypes with DKA. We found no association with sex, race or body mass index. Unadjusted odds for DKA were significant for non-adherence (odds=1.74, 95% CI 1.08 to 2.21) arrival by Emergency Medical Services (odds=0.54, 95% CI 0.33 to 0.86) and private or Medicare insurance (odds=6.80, 95% CI 4.00 to 11.60). The median HbA1C was statistically higher in patients with DKA (median 11.3%) versus those without DKA (median 9.5%, Mann-Whitney U p<0.001) and was also higher in patients with a history of non-adherence. In multivariable analysis, non-adherence was found to be a mediator of DKA with T2KPDM.

Conclusions: in Detroit, MI, prior ketosis and private or Medicare health insurance were significantly associated with new or recurrent DKA in T2KPDM. Medication non-adherence had a mediating role.

求助全文
通过发布文献求助,成功后即可免费获取论文全文。 去求助
来源期刊
BMJ Open Diabetes Research & Care
BMJ Open Diabetes Research & Care Medicine-Endocrinology, Diabetes and Metabolism
CiteScore
9.30
自引率
2.40%
发文量
123
审稿时长
18 weeks
期刊介绍: BMJ Open Diabetes Research & Care is an open access journal committed to publishing high-quality, basic and clinical research articles regarding type 1 and type 2 diabetes, and associated complications. Only original content will be accepted, and submissions are subject to rigorous peer review to ensure the publication of high-quality — and evidence-based — original research articles.
×
引用
GB/T 7714-2015
复制
MLA
复制
APA
复制
导出至
BibTeX EndNote RefMan NoteFirst NoteExpress
×
提示
您的信息不完整,为了账户安全,请先补充。
现在去补充
×
提示
您因"违规操作"
具体请查看互助需知
我知道了
×
提示
确定
请完成安全验证×
copy
已复制链接
快去分享给好友吧!
我知道了
右上角分享
点击右上角分享
0
联系我们:info@booksci.cn Book学术提供免费学术资源搜索服务,方便国内外学者检索中英文文献。致力于提供最便捷和优质的服务体验。 Copyright © 2023 布克学术 All rights reserved.
京ICP备2023020795号-1
ghs 京公网安备 11010802042870号
Book学术文献互助
Book学术文献互助群
群 号:604180095
Book学术官方微信