在参加商业减肥计划的女性中测试一个拟议的减肥数学模型:LighterLife研究。

IF 2 Q3 NUTRITION & DIETETICS
Journal of Nutritional Science Pub Date : 2024-12-12 eCollection Date: 2024-01-01 DOI:10.1017/jns.2024.85
Aoife M Egan, John F Rayman, Adam L Collins
{"title":"在参加商业减肥计划的女性中测试一个拟议的减肥数学模型:LighterLife研究。","authors":"Aoife M Egan, John F Rayman, Adam L Collins","doi":"10.1017/jns.2024.85","DOIUrl":null,"url":null,"abstract":"<p><p>Weight loss results in obligatory reductions in energy expenditure (EE) due to loss of metabolically active fat-free mass (FFM). This is accompanied by adaptive reductions (i.e. adaptive thermogenesis) designed to restore energy balance while in an energy crisis. While the '3500-kcal rule' is used to advise weight loss in clinical practice, the assumption that EE remains constant during energy restriction results in a large overestimation of weight loss. Thus, this work proposes a novel method of weight-loss prediction to more accurately account for the dynamic trajectory of EE. A mathematical model of weight loss was developed using ordinary differential equations relying on simple self-reported inputs of weight and energy intake to predict weight loss over a specified time. The model subdivides total daily EE into resting EE, physical activity EE, and diet-induced thermogenesis, modelling obligatory and adaptive changes in each compartment independently. The proposed model was tested and refined using commercial weight-loss data from participants enrolled on a very low-energy total-diet replacement programme (LighterLife UK, Essex). Mathematical modelling predicted post-intervention weight loss within 0.75% (1.07 kg) of that observed in females with overweight or obesity. Short-term weight loss was consistently underestimated, likely due to considerable FFM reductions reported on the onset of weight loss. The best model agreement was observed from 6 to 9 weeks where the predicted end-weight was within 0.35 kg of that observed. The proposed mathematical model simulated rapid weight loss with reasonable accuracy. Incorporated terms for energy partitioning and adaptive thermogenesis allow us to easily account for dynamic changes in EE, supporting the potential use of such a model in clinical practice.</p>","PeriodicalId":47536,"journal":{"name":"Journal of Nutritional Science","volume":"13 ","pages":"e92"},"PeriodicalIF":2.0000,"publicationDate":"2024-12-12","publicationTypes":"Journal Article","fieldsOfStudy":null,"isOpenAccess":false,"openAccessPdf":"https://www.ncbi.nlm.nih.gov/pmc/articles/PMC11658952/pdf/","citationCount":"0","resultStr":"{\"title\":\"Testing a proposed mathematical model of weight loss in women enrolled on a commercial weight-loss programme: the LighterLife study.\",\"authors\":\"Aoife M Egan, John F Rayman, Adam L Collins\",\"doi\":\"10.1017/jns.2024.85\",\"DOIUrl\":null,\"url\":null,\"abstract\":\"<p><p>Weight loss results in obligatory reductions in energy expenditure (EE) due to loss of metabolically active fat-free mass (FFM). This is accompanied by adaptive reductions (i.e. adaptive thermogenesis) designed to restore energy balance while in an energy crisis. While the '3500-kcal rule' is used to advise weight loss in clinical practice, the assumption that EE remains constant during energy restriction results in a large overestimation of weight loss. Thus, this work proposes a novel method of weight-loss prediction to more accurately account for the dynamic trajectory of EE. A mathematical model of weight loss was developed using ordinary differential equations relying on simple self-reported inputs of weight and energy intake to predict weight loss over a specified time. The model subdivides total daily EE into resting EE, physical activity EE, and diet-induced thermogenesis, modelling obligatory and adaptive changes in each compartment independently. The proposed model was tested and refined using commercial weight-loss data from participants enrolled on a very low-energy total-diet replacement programme (LighterLife UK, Essex). Mathematical modelling predicted post-intervention weight loss within 0.75% (1.07 kg) of that observed in females with overweight or obesity. Short-term weight loss was consistently underestimated, likely due to considerable FFM reductions reported on the onset of weight loss. The best model agreement was observed from 6 to 9 weeks where the predicted end-weight was within 0.35 kg of that observed. The proposed mathematical model simulated rapid weight loss with reasonable accuracy. Incorporated terms for energy partitioning and adaptive thermogenesis allow us to easily account for dynamic changes in EE, supporting the potential use of such a model in clinical practice.</p>\",\"PeriodicalId\":47536,\"journal\":{\"name\":\"Journal of Nutritional Science\",\"volume\":\"13 \",\"pages\":\"e92\"},\"PeriodicalIF\":2.0000,\"publicationDate\":\"2024-12-12\",\"publicationTypes\":\"Journal Article\",\"fieldsOfStudy\":null,\"isOpenAccess\":false,\"openAccessPdf\":\"https://www.ncbi.nlm.nih.gov/pmc/articles/PMC11658952/pdf/\",\"citationCount\":\"0\",\"resultStr\":null,\"platform\":\"Semanticscholar\",\"paperid\":null,\"PeriodicalName\":\"Journal of Nutritional Science\",\"FirstCategoryId\":\"1085\",\"ListUrlMain\":\"https://doi.org/10.1017/jns.2024.85\",\"RegionNum\":0,\"RegionCategory\":null,\"ArticlePicture\":[],\"TitleCN\":null,\"AbstractTextCN\":null,\"PMCID\":null,\"EPubDate\":\"2024/1/1 0:00:00\",\"PubModel\":\"eCollection\",\"JCR\":\"Q3\",\"JCRName\":\"NUTRITION & DIETETICS\",\"Score\":null,\"Total\":0}","platform":"Semanticscholar","paperid":null,"PeriodicalName":"Journal of Nutritional Science","FirstCategoryId":"1085","ListUrlMain":"https://doi.org/10.1017/jns.2024.85","RegionNum":0,"RegionCategory":null,"ArticlePicture":[],"TitleCN":null,"AbstractTextCN":null,"PMCID":null,"EPubDate":"2024/1/1 0:00:00","PubModel":"eCollection","JCR":"Q3","JCRName":"NUTRITION & DIETETICS","Score":null,"Total":0}
引用次数: 0

摘要

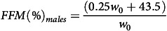
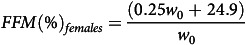
由于代谢活性无脂质量(FFM)的损失,体重减轻导致能量消耗(EE)的强制性减少。这伴随着适应性减少(即适应性产热),旨在恢复能源危机时的能量平衡。虽然“3500千卡规则”在临床实践中被用来建议减肥,但假设在能量限制期间EE保持不变,会导致对体重减轻的严重高估。因此,这项工作提出了一种新的减肥预测方法,以更准确地解释EE的动态轨迹。利用常微分方程建立了一个减肥的数学模型,该模型依赖于简单的自我报告的体重和能量摄入输入来预测特定时间内的体重减轻情况。该模型将每日总EE细分为静息EE、体力活动EE和饮食引起的产热,独立模拟每个隔间的强制性和适应性变化。所提出的模型使用商业减肥数据进行了测试和改进,这些数据来自于参加非常低能量的全饮食替代计划的参与者(LighterLife UK, Essex)。数学模型预测,干预后体重下降幅度在超重或肥胖女性的0.75% (1.07 kg)以内。短期体重减轻一直被低估,可能是由于在体重减轻开始时报告的FFM显著减少。在第6至9周,预测的终重与观察到的终重在0.35 kg以内,观察到最好的模型一致性。所提出的数学模型以合理的精度模拟了快速减肥。结合了能量分配和适应性产热的术语,我们可以很容易地解释EE的动态变化,支持这种模型在临床实践中的潜在应用。
本文章由计算机程序翻译,如有差异,请以英文原文为准。

Testing a proposed mathematical model of weight loss in women enrolled on a commercial weight-loss programme: the LighterLife study.

Testing a proposed mathematical model of weight loss in women enrolled on a commercial weight-loss programme: the LighterLife study.

Testing a proposed mathematical model of weight loss in women enrolled on a commercial weight-loss programme: the LighterLife study.

Testing a proposed mathematical model of weight loss in women enrolled on a commercial weight-loss programme: the LighterLife study.

Weight loss results in obligatory reductions in energy expenditure (EE) due to loss of metabolically active fat-free mass (FFM). This is accompanied by adaptive reductions (i.e. adaptive thermogenesis) designed to restore energy balance while in an energy crisis. While the '3500-kcal rule' is used to advise weight loss in clinical practice, the assumption that EE remains constant during energy restriction results in a large overestimation of weight loss. Thus, this work proposes a novel method of weight-loss prediction to more accurately account for the dynamic trajectory of EE. A mathematical model of weight loss was developed using ordinary differential equations relying on simple self-reported inputs of weight and energy intake to predict weight loss over a specified time. The model subdivides total daily EE into resting EE, physical activity EE, and diet-induced thermogenesis, modelling obligatory and adaptive changes in each compartment independently. The proposed model was tested and refined using commercial weight-loss data from participants enrolled on a very low-energy total-diet replacement programme (LighterLife UK, Essex). Mathematical modelling predicted post-intervention weight loss within 0.75% (1.07 kg) of that observed in females with overweight or obesity. Short-term weight loss was consistently underestimated, likely due to considerable FFM reductions reported on the onset of weight loss. The best model agreement was observed from 6 to 9 weeks where the predicted end-weight was within 0.35 kg of that observed. The proposed mathematical model simulated rapid weight loss with reasonable accuracy. Incorporated terms for energy partitioning and adaptive thermogenesis allow us to easily account for dynamic changes in EE, supporting the potential use of such a model in clinical practice.

求助全文
通过发布文献求助,成功后即可免费获取论文全文。 去求助
来源期刊
Journal of Nutritional Science
Journal of Nutritional Science NUTRITION & DIETETICS-
CiteScore
3.00
自引率
0.00%
发文量
91
审稿时长
7 weeks
期刊介绍: Journal of Nutritional Science is an international, peer-reviewed, online only, open access journal that welcomes high-quality research articles in all aspects of nutrition. The underlying aim of all work should be, as far as possible, to develop nutritional concepts. JNS encompasses the full spectrum of nutritional science including public health nutrition, epidemiology, dietary surveys, nutritional requirements, metabolic studies, body composition, energetics, appetite, obesity, ageing, endocrinology, immunology, neuroscience, microbiology, genetics, molecular and cellular biology and nutrigenomics. JNS welcomes Primary Research Papers, Brief Reports, Review Articles, Systematic Reviews, Workshop Reports, Letters to the Editor and Obituaries.
×
引用
GB/T 7714-2015
复制
MLA
复制
APA
复制
导出至
BibTeX EndNote RefMan NoteFirst NoteExpress
×
提示
您的信息不完整,为了账户安全,请先补充。
现在去补充
×
提示
您因"违规操作"
具体请查看互助需知
我知道了
×
提示
确定
请完成安全验证×
copy
已复制链接
快去分享给好友吧!
我知道了
右上角分享
点击右上角分享
0
联系我们:info@booksci.cn Book学术提供免费学术资源搜索服务,方便国内外学者检索中英文文献。致力于提供最便捷和优质的服务体验。 Copyright © 2023 布克学术 All rights reserved.
京ICP备2023020795号-1
ghs 京公网安备 11010802042870号
Book学术文献互助
Book学术文献互助群
群 号:604180095
Book学术官方微信