考虑营养充足性、疾病风险和环境可持续性的英国和美国种族间饮食质量调查:对NDNS和NHANES数据集的二次分析。

IF 2 Q3 NUTRITION & DIETETICS
Journal of Nutritional Science Pub Date : 2024-12-13 eCollection Date: 2024-01-01 DOI:10.1017/jns.2024.64
Grace Bennett, Eileen R Gibney
{"title":"考虑营养充足性、疾病风险和环境可持续性的英国和美国种族间饮食质量调查:对NDNS和NHANES数据集的二次分析。","authors":"Grace Bennett, Eileen R Gibney","doi":"10.1017/jns.2024.64","DOIUrl":null,"url":null,"abstract":"<p><p>Diet indices are quantitative assessments of the quality of population intake. Understanding diet quality is crucial to support health and well-being; however, knowledge of diet quality across racial groups is limited. To examine diet quality of acial groups 'White', 'Black', 'Asian', and 'Other' in the United Kingdom (U.K.) and United States (U.S.), U.K. and U.S. national survey data were used to calculate Alternative Healthy Eating Index (AHEI-2010), Diet Quality Index-International (DQI-I), and EAT-Lancet scores. ANCOVA tests compared median total quality scores across racial groups adjusting for covariates. Kruskal-Wallis tests examined differences in individual component scores. Spearman correlations identified association of diet quality scores across indices. Highest diet quality scores were reported for U.K. and U.S. Asian groups. Most noticeable differences were apparent between U.S. Asian and White/Black groups (62% Asians within highest tertile of AHEI-2010 score vs. 29% Whites; P < 0.001). All racial groups demonstrated poor diet quality in terms of sustainability; EAT-Lancet scores were <40% of maximum total score for U.S. White, Black, and Other groups. AHEI-2010 diet quality scores were moderately associated with EAT-Lancet scores, evident across all groups (r = 0.53-0.65; P < 0.001). There is a need for all groups to increase intake of wholegrains, especially Black groups (mean Wholegrain score for U.S. Black group within DQI-I was 0.60 (maximum score of 5)) as demonstrated within AHEI-2010, DQI-I, and EAT-Lancet component scores. Additionally, increased intake of vegetables and legumes and decreased intake of processed and red meat would improve the adequacy, healthiness, and sustainability of U.K. and U.S. racial diets.</p>","PeriodicalId":47536,"journal":{"name":"Journal of Nutritional Science","volume":"13 ","pages":"e93"},"PeriodicalIF":2.0000,"publicationDate":"2024-12-13","publicationTypes":"Journal Article","fieldsOfStudy":null,"isOpenAccess":false,"openAccessPdf":"https://www.ncbi.nlm.nih.gov/pmc/articles/PMC11658946/pdf/","citationCount":"0","resultStr":"{\"title\":\"An investigation of diet quality across racial groups in the United Kingdom and United States considering nutritional adequacy, disease risk, and environmental sustainability: a secondary analysis of NDNS and NHANES datasets.\",\"authors\":\"Grace Bennett, Eileen R Gibney\",\"doi\":\"10.1017/jns.2024.64\",\"DOIUrl\":null,\"url\":null,\"abstract\":\"<p><p>Diet indices are quantitative assessments of the quality of population intake. Understanding diet quality is crucial to support health and well-being; however, knowledge of diet quality across racial groups is limited. To examine diet quality of acial groups 'White', 'Black', 'Asian', and 'Other' in the United Kingdom (U.K.) and United States (U.S.), U.K. and U.S. national survey data were used to calculate Alternative Healthy Eating Index (AHEI-2010), Diet Quality Index-International (DQI-I), and EAT-Lancet scores. ANCOVA tests compared median total quality scores across racial groups adjusting for covariates. Kruskal-Wallis tests examined differences in individual component scores. Spearman correlations identified association of diet quality scores across indices. Highest diet quality scores were reported for U.K. and U.S. Asian groups. Most noticeable differences were apparent between U.S. Asian and White/Black groups (62% Asians within highest tertile of AHEI-2010 score vs. 29% Whites; P < 0.001). All racial groups demonstrated poor diet quality in terms of sustainability; EAT-Lancet scores were <40% of maximum total score for U.S. White, Black, and Other groups. AHEI-2010 diet quality scores were moderately associated with EAT-Lancet scores, evident across all groups (r = 0.53-0.65; P < 0.001). There is a need for all groups to increase intake of wholegrains, especially Black groups (mean Wholegrain score for U.S. Black group within DQI-I was 0.60 (maximum score of 5)) as demonstrated within AHEI-2010, DQI-I, and EAT-Lancet component scores. Additionally, increased intake of vegetables and legumes and decreased intake of processed and red meat would improve the adequacy, healthiness, and sustainability of U.K. and U.S. racial diets.</p>\",\"PeriodicalId\":47536,\"journal\":{\"name\":\"Journal of Nutritional Science\",\"volume\":\"13 \",\"pages\":\"e93\"},\"PeriodicalIF\":2.0000,\"publicationDate\":\"2024-12-13\",\"publicationTypes\":\"Journal Article\",\"fieldsOfStudy\":null,\"isOpenAccess\":false,\"openAccessPdf\":\"https://www.ncbi.nlm.nih.gov/pmc/articles/PMC11658946/pdf/\",\"citationCount\":\"0\",\"resultStr\":null,\"platform\":\"Semanticscholar\",\"paperid\":null,\"PeriodicalName\":\"Journal of Nutritional Science\",\"FirstCategoryId\":\"1085\",\"ListUrlMain\":\"https://doi.org/10.1017/jns.2024.64\",\"RegionNum\":0,\"RegionCategory\":null,\"ArticlePicture\":[],\"TitleCN\":null,\"AbstractTextCN\":null,\"PMCID\":null,\"EPubDate\":\"2024/1/1 0:00:00\",\"PubModel\":\"eCollection\",\"JCR\":\"Q3\",\"JCRName\":\"NUTRITION & DIETETICS\",\"Score\":null,\"Total\":0}","platform":"Semanticscholar","paperid":null,"PeriodicalName":"Journal of Nutritional Science","FirstCategoryId":"1085","ListUrlMain":"https://doi.org/10.1017/jns.2024.64","RegionNum":0,"RegionCategory":null,"ArticlePicture":[],"TitleCN":null,"AbstractTextCN":null,"PMCID":null,"EPubDate":"2024/1/1 0:00:00","PubModel":"eCollection","JCR":"Q3","JCRName":"NUTRITION & DIETETICS","Score":null,"Total":0}
引用次数: 0

摘要

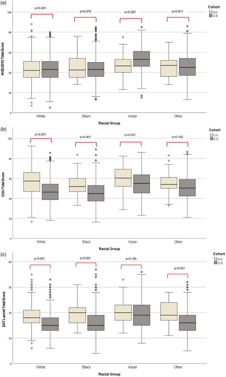
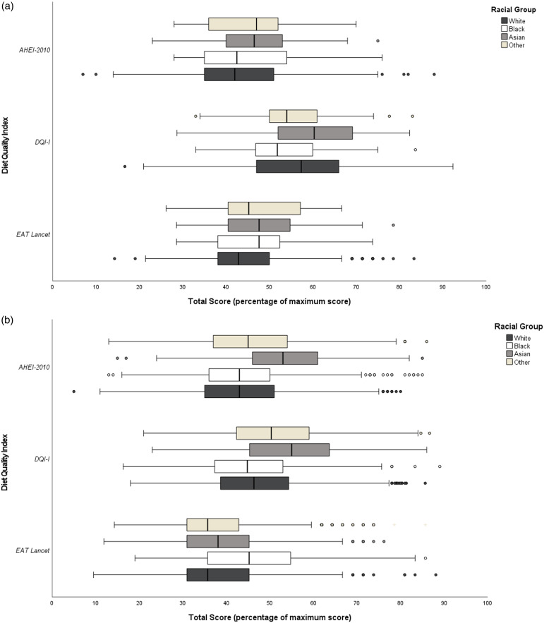
饮食指数是对人口摄入质量的定量评估。了解膳食质量对促进健康和福祉至关重要;然而,对不同种族群体膳食质量的了解却很有限。为了研究英国(U.K.)和美国(U.S.)"白人"、"黑人"、"亚裔 "和 "其他 "等种族群体的饮食质量,我们使用了英国和美国的全国调查数据来计算替代健康饮食指数(AHEI-2010)、国际饮食质量指数(DQI-I)和 EAT-Lancet 分数。方差分析(ANCOVA)测试比较了不同种族群体的总质量得分中位数,并对协变量进行了调整。Kruskal-Wallis测试检验了各部分得分的差异。斯皮尔曼相关性检验确定了不同指数之间饮食质量得分的相关性。英国和美国亚裔群体的饮食质量得分最高。美国亚裔群体与白人/黑人群体之间的差异最为明显(62% 的亚裔在 AHEI-2010 评分的最高三分位数内,而白人为 29%;P < 0.001)。就可持续性而言,所有种族群体的饮食质量都很差;EAT-Lancet 分数分别为
本文章由计算机程序翻译,如有差异,请以英文原文为准。

An investigation of diet quality across racial groups in the United Kingdom and United States considering nutritional adequacy, disease risk, and environmental sustainability: a secondary analysis of NDNS and NHANES datasets.

An investigation of diet quality across racial groups in the United Kingdom and United States considering nutritional adequacy, disease risk, and environmental sustainability: a secondary analysis of NDNS and NHANES datasets.

An investigation of diet quality across racial groups in the United Kingdom and United States considering nutritional adequacy, disease risk, and environmental sustainability: a secondary analysis of NDNS and NHANES datasets.

An investigation of diet quality across racial groups in the United Kingdom and United States considering nutritional adequacy, disease risk, and environmental sustainability: a secondary analysis of NDNS and NHANES datasets.

Diet indices are quantitative assessments of the quality of population intake. Understanding diet quality is crucial to support health and well-being; however, knowledge of diet quality across racial groups is limited. To examine diet quality of acial groups 'White', 'Black', 'Asian', and 'Other' in the United Kingdom (U.K.) and United States (U.S.), U.K. and U.S. national survey data were used to calculate Alternative Healthy Eating Index (AHEI-2010), Diet Quality Index-International (DQI-I), and EAT-Lancet scores. ANCOVA tests compared median total quality scores across racial groups adjusting for covariates. Kruskal-Wallis tests examined differences in individual component scores. Spearman correlations identified association of diet quality scores across indices. Highest diet quality scores were reported for U.K. and U.S. Asian groups. Most noticeable differences were apparent between U.S. Asian and White/Black groups (62% Asians within highest tertile of AHEI-2010 score vs. 29% Whites; P < 0.001). All racial groups demonstrated poor diet quality in terms of sustainability; EAT-Lancet scores were <40% of maximum total score for U.S. White, Black, and Other groups. AHEI-2010 diet quality scores were moderately associated with EAT-Lancet scores, evident across all groups (r = 0.53-0.65; P < 0.001). There is a need for all groups to increase intake of wholegrains, especially Black groups (mean Wholegrain score for U.S. Black group within DQI-I was 0.60 (maximum score of 5)) as demonstrated within AHEI-2010, DQI-I, and EAT-Lancet component scores. Additionally, increased intake of vegetables and legumes and decreased intake of processed and red meat would improve the adequacy, healthiness, and sustainability of U.K. and U.S. racial diets.

求助全文
通过发布文献求助,成功后即可免费获取论文全文。 去求助
来源期刊
Journal of Nutritional Science
Journal of Nutritional Science NUTRITION & DIETETICS-
CiteScore
3.00
自引率
0.00%
发文量
91
审稿时长
7 weeks
期刊介绍: Journal of Nutritional Science is an international, peer-reviewed, online only, open access journal that welcomes high-quality research articles in all aspects of nutrition. The underlying aim of all work should be, as far as possible, to develop nutritional concepts. JNS encompasses the full spectrum of nutritional science including public health nutrition, epidemiology, dietary surveys, nutritional requirements, metabolic studies, body composition, energetics, appetite, obesity, ageing, endocrinology, immunology, neuroscience, microbiology, genetics, molecular and cellular biology and nutrigenomics. JNS welcomes Primary Research Papers, Brief Reports, Review Articles, Systematic Reviews, Workshop Reports, Letters to the Editor and Obituaries.
×
引用
GB/T 7714-2015
复制
MLA
复制
APA
复制
导出至
BibTeX EndNote RefMan NoteFirst NoteExpress
×
提示
您的信息不完整,为了账户安全,请先补充。
现在去补充
×
提示
您因"违规操作"
具体请查看互助需知
我知道了
×
提示
确定
请完成安全验证×
copy
已复制链接
快去分享给好友吧!
我知道了
右上角分享
点击右上角分享
0
联系我们:info@booksci.cn Book学术提供免费学术资源搜索服务,方便国内外学者检索中英文文献。致力于提供最便捷和优质的服务体验。 Copyright © 2023 布克学术 All rights reserved.
京ICP备2023020795号-1
ghs 京公网安备 11010802042870号
Book学术文献互助
Book学术文献互助群
群 号:604180095
Book学术官方微信