各种非甾体抗炎药物和剂量的环氧化酶抑制谱比较评估:对疗效和不良反应的影响。

IF 3.3 2区 医学 Q1 CLINICAL NEUROLOGY
Pain and Therapy Pub Date : 2025-02-01 Epub Date: 2024-12-17 DOI:10.1007/s40122-024-00687-2
Kenshu Shirakawa, Masafumi Takeno, Hidekazu Kuma, Takaaki Terahara, Shigeki Yamaguchi
{"title":"各种非甾体抗炎药物和剂量的环氧化酶抑制谱比较评估:对疗效和不良反应的影响。","authors":"Kenshu Shirakawa, Masafumi Takeno, Hidekazu Kuma, Takaaki Terahara, Shigeki Yamaguchi","doi":"10.1007/s40122-024-00687-2","DOIUrl":null,"url":null,"abstract":"<p><strong>Introduction: </strong>Nonsteroidal anti-inflammatory drugs (NSAIDs) are commonly used for pain disorders and exert pharmacological effects by inhibiting cyclooxygenase (COX). Although previous studies have evaluated the COX inhibitory activity and selectivity of NSAIDs, none has compared COX inhibitory concentrations with the plasma concentrations of clinical doses or investigated the efficacy and adverse effects of different dosage forms. Therefore, in this study we evaluated the COX inhibitory activities and inhibition rates of clinical doses of the various NSAID formulations, especially diclofenac sodium.</p><p><strong>Methods: </strong>Human blood and the drug (diclofenac sodium, celecoxib, ibuprofen, flurbiprofen, or etodolac) were mixed and incubated, and the supernatant was collected and quantified the COX inhibitory activity of each drug by ELISA. Logistic regression analyses were used to calculate the inhibition rates at maximum plasma drug concentration (C<sub>max</sub>) of clinical doses of marketed formulations. For diclofenac sodium, we also calculated the concentrations at which COX inhibition rates were 50% and 80% (IC<sub>50</sub> and IC<sub>80</sub>).</p><p><strong>Results: </strong>COX-2 inhibition rate at C<sub>max</sub> of clinical doses exceeded 50% except celecoxib 100 mg. For diclofenac sodium, the C<sub>max</sub> at the clinical doses of the oral and suppository formulations showed almost complete inhibition of COX-2 and an inhibition rate exceeding IC<sub>80</sub> for COX-1. The C<sub>max</sub> at repeated doses of the transdermal formulation showed an inhibition rate above IC<sub>80</sub> for COX-2 but below IC<sub>80</sub> for COX-1.</p><p><strong>Discussion: </strong>This result explains why gastrointestinal disorders frequently occur with oral and suppository formulations of diclofenac sodium despite its relatively high COX-2 selectivity. Although the plasma drug concentration of the transdermal formulation is lower than oral and suppository formulations, it has an inhibition rate above IC<sub>50</sub> for COX-2, which is required for analgesic efficacy, and has a lower COX-1 inhibition rate than these formulations.</p><p><strong>Conclusion: </strong>The findings explain why the transdermal formulation exerts an analgesic effect despite having a lower C<sub>max</sub> than other diclofenac sodium formulations.</p>","PeriodicalId":19908,"journal":{"name":"Pain and Therapy","volume":" ","pages":"329-338"},"PeriodicalIF":3.3000,"publicationDate":"2025-02-01","publicationTypes":"Journal Article","fieldsOfStudy":null,"isOpenAccess":false,"openAccessPdf":"https://www.ncbi.nlm.nih.gov/pmc/articles/PMC11751274/pdf/","citationCount":"0","resultStr":"{\"title\":\"Comparative Evaluation of Cyclooxygenase Inhibition Profiles Across Various NSAID Forms and Doses: Implications for Efficacy and Adverse Effects.\",\"authors\":\"Kenshu Shirakawa, Masafumi Takeno, Hidekazu Kuma, Takaaki Terahara, Shigeki Yamaguchi\",\"doi\":\"10.1007/s40122-024-00687-2\",\"DOIUrl\":null,\"url\":null,\"abstract\":\"<p><strong>Introduction: </strong>Nonsteroidal anti-inflammatory drugs (NSAIDs) are commonly used for pain disorders and exert pharmacological effects by inhibiting cyclooxygenase (COX). Although previous studies have evaluated the COX inhibitory activity and selectivity of NSAIDs, none has compared COX inhibitory concentrations with the plasma concentrations of clinical doses or investigated the efficacy and adverse effects of different dosage forms. Therefore, in this study we evaluated the COX inhibitory activities and inhibition rates of clinical doses of the various NSAID formulations, especially diclofenac sodium.</p><p><strong>Methods: </strong>Human blood and the drug (diclofenac sodium, celecoxib, ibuprofen, flurbiprofen, or etodolac) were mixed and incubated, and the supernatant was collected and quantified the COX inhibitory activity of each drug by ELISA. Logistic regression analyses were used to calculate the inhibition rates at maximum plasma drug concentration (C<sub>max</sub>) of clinical doses of marketed formulations. For diclofenac sodium, we also calculated the concentrations at which COX inhibition rates were 50% and 80% (IC<sub>50</sub> and IC<sub>80</sub>).</p><p><strong>Results: </strong>COX-2 inhibition rate at C<sub>max</sub> of clinical doses exceeded 50% except celecoxib 100 mg. For diclofenac sodium, the C<sub>max</sub> at the clinical doses of the oral and suppository formulations showed almost complete inhibition of COX-2 and an inhibition rate exceeding IC<sub>80</sub> for COX-1. The C<sub>max</sub> at repeated doses of the transdermal formulation showed an inhibition rate above IC<sub>80</sub> for COX-2 but below IC<sub>80</sub> for COX-1.</p><p><strong>Discussion: </strong>This result explains why gastrointestinal disorders frequently occur with oral and suppository formulations of diclofenac sodium despite its relatively high COX-2 selectivity. Although the plasma drug concentration of the transdermal formulation is lower than oral and suppository formulations, it has an inhibition rate above IC<sub>50</sub> for COX-2, which is required for analgesic efficacy, and has a lower COX-1 inhibition rate than these formulations.</p><p><strong>Conclusion: </strong>The findings explain why the transdermal formulation exerts an analgesic effect despite having a lower C<sub>max</sub> than other diclofenac sodium formulations.</p>\",\"PeriodicalId\":19908,\"journal\":{\"name\":\"Pain and Therapy\",\"volume\":\" \",\"pages\":\"329-338\"},\"PeriodicalIF\":3.3000,\"publicationDate\":\"2025-02-01\",\"publicationTypes\":\"Journal Article\",\"fieldsOfStudy\":null,\"isOpenAccess\":false,\"openAccessPdf\":\"https://www.ncbi.nlm.nih.gov/pmc/articles/PMC11751274/pdf/\",\"citationCount\":\"0\",\"resultStr\":null,\"platform\":\"Semanticscholar\",\"paperid\":null,\"PeriodicalName\":\"Pain and Therapy\",\"FirstCategoryId\":\"3\",\"ListUrlMain\":\"https://doi.org/10.1007/s40122-024-00687-2\",\"RegionNum\":2,\"RegionCategory\":\"医学\",\"ArticlePicture\":[],\"TitleCN\":null,\"AbstractTextCN\":null,\"PMCID\":null,\"EPubDate\":\"2024/12/17 0:00:00\",\"PubModel\":\"Epub\",\"JCR\":\"Q1\",\"JCRName\":\"CLINICAL NEUROLOGY\",\"Score\":null,\"Total\":0}","platform":"Semanticscholar","paperid":null,"PeriodicalName":"Pain and Therapy","FirstCategoryId":"3","ListUrlMain":"https://doi.org/10.1007/s40122-024-00687-2","RegionNum":2,"RegionCategory":"医学","ArticlePicture":[],"TitleCN":null,"AbstractTextCN":null,"PMCID":null,"EPubDate":"2024/12/17 0:00:00","PubModel":"Epub","JCR":"Q1","JCRName":"CLINICAL NEUROLOGY","Score":null,"Total":0}
引用次数: 0

摘要

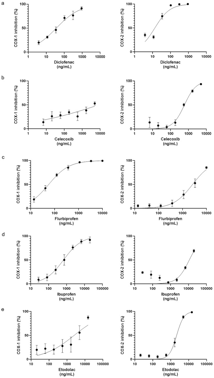
简介:非甾体类抗炎药(NSAIDs)常用于治疗疼痛疾病,通过抑制环氧化酶(COX)发挥药理作用。虽然以往的研究已经评估了非甾体抗炎药的COX抑制活性和选择性,但没有研究将COX抑制浓度与临床剂量的血浆浓度进行比较,也没有研究不同剂型的疗效和不良反应。因此,在本研究中,我们评估了各种非甾体抗炎药配方的临床剂量,特别是双氯芬酸钠的COX抑制活性和抑制率。方法:将人血与药物(双氯芬酸钠、塞来昔布、布洛芬、氟比洛芬、依托度酸)混合孵育,收集上清,ELISA法定量测定各药物的COX抑制活性。采用Logistic回归分析计算上市制剂临床剂量在最大血药浓度(Cmax)下的抑制率。对于双氯芬酸钠,我们还计算了COX抑制率分别为50%和80%的浓度(IC50和IC80)。结果:除塞来昔布100mg外,其他临床剂量的COX-2 Cmax抑制率均超过50%。对于双氯芬酸钠,临床剂量下口服和栓剂制剂的Cmax对COX-2几乎完全抑制,对COX-1的抑制率超过IC80。经皮制剂重复剂量的Cmax对COX-2的抑制率高于IC80,但对COX-1的抑制率低于IC80。讨论:这一结果解释了为什么口服和栓剂双氯芬酸钠经常发生胃肠道疾病,尽管它具有相对较高的COX-2选择性。透皮制剂的血药浓度虽然低于口服制剂和栓剂制剂,但其对止痛所必需的COX-2的抑制率均在IC50以上,对COX-1的抑制率低于上述制剂。结论:研究结果解释了为什么透皮制剂的Cmax比其他双氯芬酸钠制剂低,但仍有镇痛作用。
本文章由计算机程序翻译,如有差异,请以英文原文为准。

Comparative Evaluation of Cyclooxygenase Inhibition Profiles Across Various NSAID Forms and Doses: Implications for Efficacy and Adverse Effects.

Comparative Evaluation of Cyclooxygenase Inhibition Profiles Across Various NSAID Forms and Doses: Implications for Efficacy and Adverse Effects.

Comparative Evaluation of Cyclooxygenase Inhibition Profiles Across Various NSAID Forms and Doses: Implications for Efficacy and Adverse Effects.

Introduction: Nonsteroidal anti-inflammatory drugs (NSAIDs) are commonly used for pain disorders and exert pharmacological effects by inhibiting cyclooxygenase (COX). Although previous studies have evaluated the COX inhibitory activity and selectivity of NSAIDs, none has compared COX inhibitory concentrations with the plasma concentrations of clinical doses or investigated the efficacy and adverse effects of different dosage forms. Therefore, in this study we evaluated the COX inhibitory activities and inhibition rates of clinical doses of the various NSAID formulations, especially diclofenac sodium.

Methods: Human blood and the drug (diclofenac sodium, celecoxib, ibuprofen, flurbiprofen, or etodolac) were mixed and incubated, and the supernatant was collected and quantified the COX inhibitory activity of each drug by ELISA. Logistic regression analyses were used to calculate the inhibition rates at maximum plasma drug concentration (Cmax) of clinical doses of marketed formulations. For diclofenac sodium, we also calculated the concentrations at which COX inhibition rates were 50% and 80% (IC50 and IC80).

Results: COX-2 inhibition rate at Cmax of clinical doses exceeded 50% except celecoxib 100 mg. For diclofenac sodium, the Cmax at the clinical doses of the oral and suppository formulations showed almost complete inhibition of COX-2 and an inhibition rate exceeding IC80 for COX-1. The Cmax at repeated doses of the transdermal formulation showed an inhibition rate above IC80 for COX-2 but below IC80 for COX-1.

Discussion: This result explains why gastrointestinal disorders frequently occur with oral and suppository formulations of diclofenac sodium despite its relatively high COX-2 selectivity. Although the plasma drug concentration of the transdermal formulation is lower than oral and suppository formulations, it has an inhibition rate above IC50 for COX-2, which is required for analgesic efficacy, and has a lower COX-1 inhibition rate than these formulations.

Conclusion: The findings explain why the transdermal formulation exerts an analgesic effect despite having a lower Cmax than other diclofenac sodium formulations.

求助全文
通过发布文献求助,成功后即可免费获取论文全文。 去求助
来源期刊
Pain and Therapy
Pain and Therapy CLINICAL NEUROLOGY-
CiteScore
6.60
自引率
5.00%
发文量
110
审稿时长
6 weeks
期刊介绍: Pain and Therapy is an international, open access, peer-reviewed, rapid publication journal dedicated to the publication of high-quality clinical (all phases), observational, real-world, and health outcomes research around the discovery, development, and use of pain therapies and pain-related devices. Studies relating to diagnosis, pharmacoeconomics, public health, quality of life, and patient care, management, and education are also encouraged. Areas of focus include, but are not limited to, acute pain, cancer pain, chronic pain, headache and migraine, neuropathic pain, opioids, palliative care and pain ethics, peri- and post-operative pain as well as rheumatic pain and fibromyalgia. The journal is of interest to a broad audience of pharmaceutical and healthcare professionals and publishes original research, reviews, case reports, trial protocols, short communications such as commentaries and editorials, and letters. The journal is read by a global audience and receives submissions from around the world. Pain and Therapy will consider all scientifically sound research be it positive, confirmatory or negative data. Submissions are welcomed whether they relate to an international and/or a country-specific audience, something that is crucially important when researchers are trying to target more specific patient populations. This inclusive approach allows the journal to assist in the dissemination of all scientifically and ethically sound research.
×
引用
GB/T 7714-2015
复制
MLA
复制
APA
复制
导出至
BibTeX EndNote RefMan NoteFirst NoteExpress
×
提示
您的信息不完整,为了账户安全,请先补充。
现在去补充
×
提示
您因"违规操作"
具体请查看互助需知
我知道了
×
提示
确定
请完成安全验证×
copy
已复制链接
快去分享给好友吧!
我知道了
右上角分享
点击右上角分享
0
联系我们:info@booksci.cn Book学术提供免费学术资源搜索服务,方便国内外学者检索中英文文献。致力于提供最便捷和优质的服务体验。 Copyright © 2023 布克学术 All rights reserved.
京ICP备2023020795号-1
ghs 京公网安备 11010802042870号
Book学术文献互助
Book学术文献互助群
群 号:604180095
Book学术官方微信