血小板聚集对鼠伤寒沙门菌的反应由宿主抗沙门菌抗体水平决定。

IF 2.6 3区 医学 Q3 CELL BIOLOGY
Platelets Pub Date : 2024-12-01 Epub Date: 2024-12-16 DOI:10.1080/09537104.2024.2437241
Rachel E Lamerton, Samantha J Montague, Marisol Perez-Toledo, Steve P Watson, Adam F Cunningham
{"title":"血小板聚集对鼠伤寒沙门菌的反应由宿主抗沙门菌抗体水平决定。","authors":"Rachel E Lamerton, Samantha J Montague, Marisol Perez-Toledo, Steve P Watson, Adam F Cunningham","doi":"10.1080/09537104.2024.2437241","DOIUrl":null,"url":null,"abstract":"<p><p>Invasive non-typhoidal <i>Salmonella</i> infections are responsible for >75 000 deaths/year and >500 000 cases/year globally. Seventy-five percent of these cases occur in Sub-Saharan Africa, an increasing number of which are from multi-drug resistant strains. Interactions between bacteria and platelets can lead to thrombus formation, which can be beneficial for control of infection (immunothrombosis), or harmful through uncontrolled inflammation and organ damage (thromboinflammation). It is unknown whether <i>Salmonella</i> Typhimurium can activate human platelets. To assess this, light transmission aggregometry was used to measure platelet activation by two different <i>Salmonella</i> Typhimurium strains in 26 healthy donors in platelet-rich plasma and washed platelets. In platelet-rich plasma, but not in washed platelets, <i>Salmonella</i> Typhimurium activated platelets in a donor- and strain-dependent manner mediated through the low affinity immune receptor FcγRIIA and the feedback agonists, ADP and thromboxane A<sub>2</sub>. Plasma swap studies between strong and weak responders demonstrated a plasma component was responsible for the variation between donors. Depletion of anti-<i>Salmonella</i> antibodies from plasma abolished <i>Salmonella-</i>induced platelet aggregation responses, and addition of polyclonal anti-<i>Salmonella</i> antibody allowed aggregation in washed platelets. Correlating levels of anti-<i>Salmonella</i> total IgG or the IgG1, IgG2, IgG3 and IgG4 subclasses to platelet responses revealed total IgG levels, rather than levels of individual subclasses, positively correlated with maximum platelet aggregation results, and negatively with lag times. Overall, we show that anti-<i>Salmonella</i> IgG antibodies are responsible for donor variation in platelet aggregation responses to <i>Salmonella</i> and mediate this activity through FcγRIIA.</p>","PeriodicalId":20268,"journal":{"name":"Platelets","volume":"35 1","pages":"2437241"},"PeriodicalIF":2.6000,"publicationDate":"2024-12-01","publicationTypes":"Journal Article","fieldsOfStudy":null,"isOpenAccess":false,"openAccessPdf":"https://www.ncbi.nlm.nih.gov/pmc/articles/PMC7617673/pdf/","citationCount":"0","resultStr":"{\"title\":\"Platelet aggregation responses to <i>Salmonella</i> Typhimurium are determined by host anti-<i>Salmonella</i> antibody levels.\",\"authors\":\"Rachel E Lamerton, Samantha J Montague, Marisol Perez-Toledo, Steve P Watson, Adam F Cunningham\",\"doi\":\"10.1080/09537104.2024.2437241\",\"DOIUrl\":null,\"url\":null,\"abstract\":\"<p><p>Invasive non-typhoidal <i>Salmonella</i> infections are responsible for >75 000 deaths/year and >500 000 cases/year globally. Seventy-five percent of these cases occur in Sub-Saharan Africa, an increasing number of which are from multi-drug resistant strains. Interactions between bacteria and platelets can lead to thrombus formation, which can be beneficial for control of infection (immunothrombosis), or harmful through uncontrolled inflammation and organ damage (thromboinflammation). It is unknown whether <i>Salmonella</i> Typhimurium can activate human platelets. To assess this, light transmission aggregometry was used to measure platelet activation by two different <i>Salmonella</i> Typhimurium strains in 26 healthy donors in platelet-rich plasma and washed platelets. In platelet-rich plasma, but not in washed platelets, <i>Salmonella</i> Typhimurium activated platelets in a donor- and strain-dependent manner mediated through the low affinity immune receptor FcγRIIA and the feedback agonists, ADP and thromboxane A<sub>2</sub>. Plasma swap studies between strong and weak responders demonstrated a plasma component was responsible for the variation between donors. Depletion of anti-<i>Salmonella</i> antibodies from plasma abolished <i>Salmonella-</i>induced platelet aggregation responses, and addition of polyclonal anti-<i>Salmonella</i> antibody allowed aggregation in washed platelets. Correlating levels of anti-<i>Salmonella</i> total IgG or the IgG1, IgG2, IgG3 and IgG4 subclasses to platelet responses revealed total IgG levels, rather than levels of individual subclasses, positively correlated with maximum platelet aggregation results, and negatively with lag times. Overall, we show that anti-<i>Salmonella</i> IgG antibodies are responsible for donor variation in platelet aggregation responses to <i>Salmonella</i> and mediate this activity through FcγRIIA.</p>\",\"PeriodicalId\":20268,\"journal\":{\"name\":\"Platelets\",\"volume\":\"35 1\",\"pages\":\"2437241\"},\"PeriodicalIF\":2.6000,\"publicationDate\":\"2024-12-01\",\"publicationTypes\":\"Journal Article\",\"fieldsOfStudy\":null,\"isOpenAccess\":false,\"openAccessPdf\":\"https://www.ncbi.nlm.nih.gov/pmc/articles/PMC7617673/pdf/\",\"citationCount\":\"0\",\"resultStr\":null,\"platform\":\"Semanticscholar\",\"paperid\":null,\"PeriodicalName\":\"Platelets\",\"FirstCategoryId\":\"3\",\"ListUrlMain\":\"https://doi.org/10.1080/09537104.2024.2437241\",\"RegionNum\":3,\"RegionCategory\":\"医学\",\"ArticlePicture\":[],\"TitleCN\":null,\"AbstractTextCN\":null,\"PMCID\":null,\"EPubDate\":\"2024/12/16 0:00:00\",\"PubModel\":\"Epub\",\"JCR\":\"Q3\",\"JCRName\":\"CELL BIOLOGY\",\"Score\":null,\"Total\":0}","platform":"Semanticscholar","paperid":null,"PeriodicalName":"Platelets","FirstCategoryId":"3","ListUrlMain":"https://doi.org/10.1080/09537104.2024.2437241","RegionNum":3,"RegionCategory":"医学","ArticlePicture":[],"TitleCN":null,"AbstractTextCN":null,"PMCID":null,"EPubDate":"2024/12/16 0:00:00","PubModel":"Epub","JCR":"Q3","JCRName":"CELL BIOLOGY","Score":null,"Total":0}
引用次数: 0

摘要

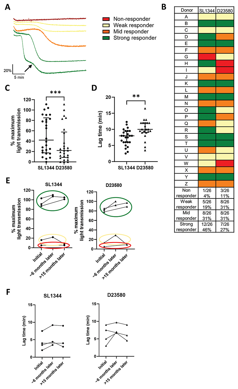
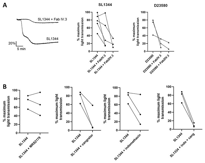
侵袭性非伤寒沙门氏菌感染在全球每年造成7.5万例死亡和50万例病例。其中75%的病例发生在撒哈拉以南非洲,越来越多的病例来自耐多药菌株。细菌和血小板之间的相互作用可导致血栓形成,这可能有利于控制感染(免疫血栓形成),也可能有害于不受控制的炎症和器官损伤(血栓炎症)。鼠伤寒沙门氏菌是否能激活人类血小板尚不清楚。为了评估这一点,用光透射聚集法测量了26名健康供体富血小板血浆和洗涤血小板中两种不同鼠伤寒沙门氏菌菌株的血小板活化情况。在富血小板血浆中,鼠伤寒沙门菌通过低亲和力免疫受体FcγRIIA和反馈激动剂ADP和血栓素A2介导以供体和菌株依赖的方式激活血小板,而不是在洗涤血小板中。血浆交换研究表明,血浆成分是造成供者之间差异的原因。从血浆中去除抗沙门氏菌抗体可消除沙门氏菌诱导的血小板聚集反应,而添加多克隆抗沙门氏菌抗体可使洗涤后的血小板聚集。将抗沙门氏菌总IgG或IgG1、IgG2、IgG3和IgG4亚类水平与血小板反应的相关性显示,总IgG水平(而非单个亚类水平)与血小板最大聚集结果呈正相关,与滞后时间呈负相关。总之,我们发现抗沙门菌IgG抗体负责供体对沙门菌的血小板聚集反应的变化,并通过FcγRIIA介导这种活性。
本文章由计算机程序翻译,如有差异,请以英文原文为准。

Platelet aggregation responses to <i>Salmonella</i> Typhimurium are determined by host anti-<i>Salmonella</i> antibody levels.

Platelet aggregation responses to <i>Salmonella</i> Typhimurium are determined by host anti-<i>Salmonella</i> antibody levels.

Platelet aggregation responses to <i>Salmonella</i> Typhimurium are determined by host anti-<i>Salmonella</i> antibody levels.

Platelet aggregation responses to Salmonella Typhimurium are determined by host anti-Salmonella antibody levels.

Invasive non-typhoidal Salmonella infections are responsible for >75 000 deaths/year and >500 000 cases/year globally. Seventy-five percent of these cases occur in Sub-Saharan Africa, an increasing number of which are from multi-drug resistant strains. Interactions between bacteria and platelets can lead to thrombus formation, which can be beneficial for control of infection (immunothrombosis), or harmful through uncontrolled inflammation and organ damage (thromboinflammation). It is unknown whether Salmonella Typhimurium can activate human platelets. To assess this, light transmission aggregometry was used to measure platelet activation by two different Salmonella Typhimurium strains in 26 healthy donors in platelet-rich plasma and washed platelets. In platelet-rich plasma, but not in washed platelets, Salmonella Typhimurium activated platelets in a donor- and strain-dependent manner mediated through the low affinity immune receptor FcγRIIA and the feedback agonists, ADP and thromboxane A2. Plasma swap studies between strong and weak responders demonstrated a plasma component was responsible for the variation between donors. Depletion of anti-Salmonella antibodies from plasma abolished Salmonella-induced platelet aggregation responses, and addition of polyclonal anti-Salmonella antibody allowed aggregation in washed platelets. Correlating levels of anti-Salmonella total IgG or the IgG1, IgG2, IgG3 and IgG4 subclasses to platelet responses revealed total IgG levels, rather than levels of individual subclasses, positively correlated with maximum platelet aggregation results, and negatively with lag times. Overall, we show that anti-Salmonella IgG antibodies are responsible for donor variation in platelet aggregation responses to Salmonella and mediate this activity through FcγRIIA.

求助全文
通过发布文献求助,成功后即可免费获取论文全文。 去求助
来源期刊
Platelets
Platelets 医学-细胞生物学
CiteScore
6.70
自引率
3.00%
发文量
79
审稿时长
1 months
期刊介绍: Platelets is an international, peer-reviewed journal covering all aspects of platelet- and megakaryocyte-related research. Platelets provides the opportunity for contributors and readers across scientific disciplines to engage with new information about blood platelets. The journal’s Methods section aims to improve standardization between laboratories and to help researchers replicate difficult methods. Research areas include: Platelet function Biochemistry Signal transduction Pharmacology and therapeutics Interaction with other cells in the blood vessel wall The contribution of platelets and platelet-derived products to health and disease The journal publishes original articles, fast-track articles, review articles, systematic reviews, methods papers, short communications, case reports, opinion articles, commentaries, gene of the issue, and letters to the editor. Platelets operates a single-blind peer review policy. Authors can choose to publish gold open access in this journal.
×
引用
GB/T 7714-2015
复制
MLA
复制
APA
复制
导出至
BibTeX EndNote RefMan NoteFirst NoteExpress
×
提示
您的信息不完整,为了账户安全,请先补充。
现在去补充
×
提示
您因"违规操作"
具体请查看互助需知
我知道了
×
提示
确定
请完成安全验证×
copy
已复制链接
快去分享给好友吧!
我知道了
右上角分享
点击右上角分享
0
联系我们:info@booksci.cn Book学术提供免费学术资源搜索服务,方便国内外学者检索中英文文献。致力于提供最便捷和优质的服务体验。 Copyright © 2023 布克学术 All rights reserved.
京ICP备2023020795号-1
ghs 京公网安备 11010802042870号
Book学术文献互助
Book学术文献互助群
群 号:604180095
Book学术官方微信