绝经期激素治疗:通过家族风险评估与乳腺癌和结直肠癌的关系。

IF 4.1 Q2 ONCOLOGY
Robert J MacInnis, Mark A Jenkins, Roger L Milne, Esther M John, Mary B Daly, Irene L Andrulis, Sarah V Colonna, Kelly-Anne Phillips, Loic Le Marchand, Polly A Newcomb, Amanda I Phipps, Stephanie L Schmit, Finlay A Macrae, Daniel D Buchanan, Steven Gallinger, Rish K Pai, Niloy J Samadder, Graham G Giles, Melissa C Southey, John L Hopper, Mary Beth Terry
{"title":"绝经期激素治疗:通过家族风险评估与乳腺癌和结直肠癌的关系。","authors":"Robert J MacInnis, Mark A Jenkins, Roger L Milne, Esther M John, Mary B Daly, Irene L Andrulis, Sarah V Colonna, Kelly-Anne Phillips, Loic Le Marchand, Polly A Newcomb, Amanda I Phipps, Stephanie L Schmit, Finlay A Macrae, Daniel D Buchanan, Steven Gallinger, Rish K Pai, Niloy J Samadder, Graham G Giles, Melissa C Southey, John L Hopper, Mary Beth Terry","doi":"10.1093/jncics/pkae121","DOIUrl":null,"url":null,"abstract":"<p><p>Menopausal users of hormone replacement therapy (HRT) are at increased breast cancer risk and decreased colorectal cancer (CRC) risk compared with individuals who have never used HRT, but these opposing associations may differ by familial risk of breast cancer and CRC. We harmonized data from 3 cohorts and generated separate breast cancer and CRC familial risk scores based on cancer family history. We defined moderate or strong family history as a risk score of 0.4 or higher, where 0.4 was equivalent to a 50-year-old woman with 1 parent diagnosed with either breast cancer or CRC at 55 years of age. Of 24 486 women assessed, 1243 and 405 were diagnosed with incident breast cancer and CRC, respectively. For breast cancer, menopausal HRT ever use versus never use hazard ratios were 1.27 (95% CI = 1.11 to 1.45) for a breast cancer familial risk score below 0.4 and 1.01 (95% CI = 0.82 to 1.25) for a breast cancer familial risk score of 0.4 or higher (Pdifference = .08). For CRC, menopausal HRT hazard ratios were 0.63 (95% CI = 0.50 to 0.78) for a CRC familial risk score below 0.4 and 1.21 (95% CI = 0.73 to 2.00) for a CRC familial risk score of 0.4 or higher (Pdifference = .03). Associations with menopausal HRT use that apply to the general population may not hold for women at moderate or strong familial risk of these cancers.</p>","PeriodicalId":14681,"journal":{"name":"JNCI Cancer Spectrum","volume":" ","pages":""},"PeriodicalIF":4.1000,"publicationDate":"2025-01-03","publicationTypes":"Journal Article","fieldsOfStudy":null,"isOpenAccess":false,"openAccessPdf":"https://www.ncbi.nlm.nih.gov/pmc/articles/PMC11700558/pdf/","citationCount":"0","resultStr":"{\"title\":\"Menopausal hormone therapy: assessing associations with breast and colorectal cancers by familial risk.\",\"authors\":\"Robert J MacInnis, Mark A Jenkins, Roger L Milne, Esther M John, Mary B Daly, Irene L Andrulis, Sarah V Colonna, Kelly-Anne Phillips, Loic Le Marchand, Polly A Newcomb, Amanda I Phipps, Stephanie L Schmit, Finlay A Macrae, Daniel D Buchanan, Steven Gallinger, Rish K Pai, Niloy J Samadder, Graham G Giles, Melissa C Southey, John L Hopper, Mary Beth Terry\",\"doi\":\"10.1093/jncics/pkae121\",\"DOIUrl\":null,\"url\":null,\"abstract\":\"<p><p>Menopausal users of hormone replacement therapy (HRT) are at increased breast cancer risk and decreased colorectal cancer (CRC) risk compared with individuals who have never used HRT, but these opposing associations may differ by familial risk of breast cancer and CRC. We harmonized data from 3 cohorts and generated separate breast cancer and CRC familial risk scores based on cancer family history. We defined moderate or strong family history as a risk score of 0.4 or higher, where 0.4 was equivalent to a 50-year-old woman with 1 parent diagnosed with either breast cancer or CRC at 55 years of age. Of 24 486 women assessed, 1243 and 405 were diagnosed with incident breast cancer and CRC, respectively. For breast cancer, menopausal HRT ever use versus never use hazard ratios were 1.27 (95% CI = 1.11 to 1.45) for a breast cancer familial risk score below 0.4 and 1.01 (95% CI = 0.82 to 1.25) for a breast cancer familial risk score of 0.4 or higher (Pdifference = .08). For CRC, menopausal HRT hazard ratios were 0.63 (95% CI = 0.50 to 0.78) for a CRC familial risk score below 0.4 and 1.21 (95% CI = 0.73 to 2.00) for a CRC familial risk score of 0.4 or higher (Pdifference = .03). Associations with menopausal HRT use that apply to the general population may not hold for women at moderate or strong familial risk of these cancers.</p>\",\"PeriodicalId\":14681,\"journal\":{\"name\":\"JNCI Cancer Spectrum\",\"volume\":\" \",\"pages\":\"\"},\"PeriodicalIF\":4.1000,\"publicationDate\":\"2025-01-03\",\"publicationTypes\":\"Journal Article\",\"fieldsOfStudy\":null,\"isOpenAccess\":false,\"openAccessPdf\":\"https://www.ncbi.nlm.nih.gov/pmc/articles/PMC11700558/pdf/\",\"citationCount\":\"0\",\"resultStr\":null,\"platform\":\"Semanticscholar\",\"paperid\":null,\"PeriodicalName\":\"JNCI Cancer Spectrum\",\"FirstCategoryId\":\"1085\",\"ListUrlMain\":\"https://doi.org/10.1093/jncics/pkae121\",\"RegionNum\":0,\"RegionCategory\":null,\"ArticlePicture\":[],\"TitleCN\":null,\"AbstractTextCN\":null,\"PMCID\":null,\"EPubDate\":\"\",\"PubModel\":\"\",\"JCR\":\"Q2\",\"JCRName\":\"ONCOLOGY\",\"Score\":null,\"Total\":0}","platform":"Semanticscholar","paperid":null,"PeriodicalName":"JNCI Cancer Spectrum","FirstCategoryId":"1085","ListUrlMain":"https://doi.org/10.1093/jncics/pkae121","RegionNum":0,"RegionCategory":null,"ArticlePicture":[],"TitleCN":null,"AbstractTextCN":null,"PMCID":null,"EPubDate":"","PubModel":"","JCR":"Q2","JCRName":"ONCOLOGY","Score":null,"Total":0}
引用次数: 0

摘要

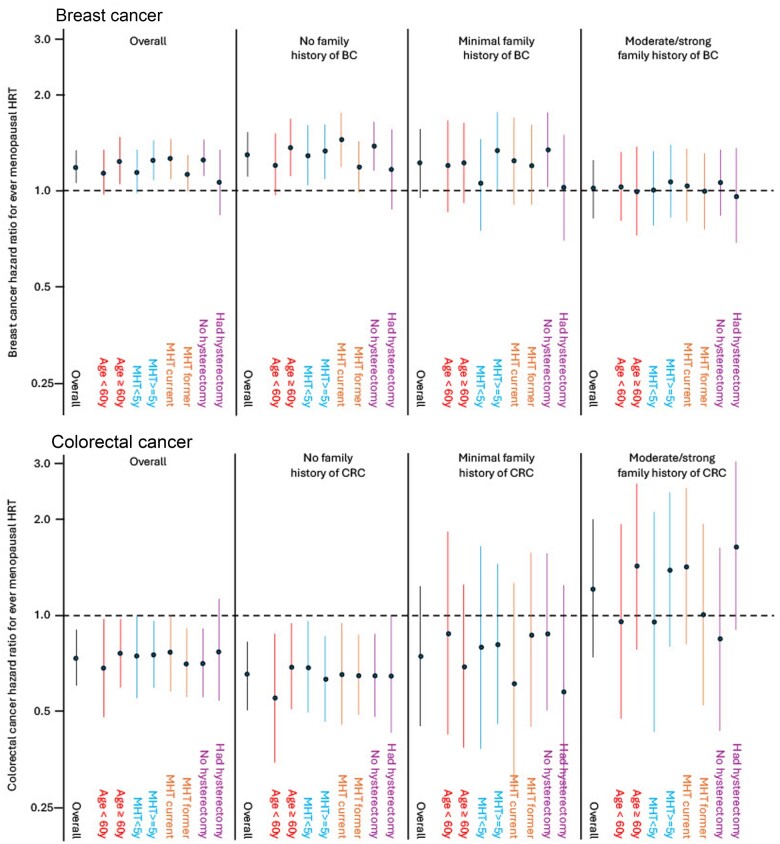
绝经期激素治疗(MHT)服用者与从未服用者相比,乳腺癌(BC)风险增加,结直肠癌(CRC)风险降低,但这些相反的关联可能因BC和CRC的家族风险而异。我们统一了来自三个队列的数据,并根据癌症家族史生成了单独的BC和CRC家族风险评分(FRS)。我们将中度/重度家族史定义为FRS≥0.4,其中0.4相当于父母一方在55岁时被诊断患有癌症的50岁女性。在24,486名女性中,分别有1,243名和405名被诊断为偶发性BC和CRC。对于BC, FRSBC的MHT风险比(hr)为1.27 (95%CI = 1.11-1.45)
本文章由计算机程序翻译,如有差异,请以英文原文为准。

Menopausal hormone therapy: assessing associations with breast and colorectal cancers by familial risk.

Menopausal hormone therapy: assessing associations with breast and colorectal cancers by familial risk.

Menopausal hormone therapy: assessing associations with breast and colorectal cancers by familial risk.

Menopausal users of hormone replacement therapy (HRT) are at increased breast cancer risk and decreased colorectal cancer (CRC) risk compared with individuals who have never used HRT, but these opposing associations may differ by familial risk of breast cancer and CRC. We harmonized data from 3 cohorts and generated separate breast cancer and CRC familial risk scores based on cancer family history. We defined moderate or strong family history as a risk score of 0.4 or higher, where 0.4 was equivalent to a 50-year-old woman with 1 parent diagnosed with either breast cancer or CRC at 55 years of age. Of 24 486 women assessed, 1243 and 405 were diagnosed with incident breast cancer and CRC, respectively. For breast cancer, menopausal HRT ever use versus never use hazard ratios were 1.27 (95% CI = 1.11 to 1.45) for a breast cancer familial risk score below 0.4 and 1.01 (95% CI = 0.82 to 1.25) for a breast cancer familial risk score of 0.4 or higher (Pdifference = .08). For CRC, menopausal HRT hazard ratios were 0.63 (95% CI = 0.50 to 0.78) for a CRC familial risk score below 0.4 and 1.21 (95% CI = 0.73 to 2.00) for a CRC familial risk score of 0.4 or higher (Pdifference = .03). Associations with menopausal HRT use that apply to the general population may not hold for women at moderate or strong familial risk of these cancers.

求助全文
通过发布文献求助,成功后即可免费获取论文全文。 去求助
来源期刊
JNCI Cancer Spectrum
JNCI Cancer Spectrum Medicine-Oncology
CiteScore
7.70
自引率
0.00%
发文量
80
审稿时长
18 weeks
×
引用
GB/T 7714-2015
复制
MLA
复制
APA
复制
导出至
BibTeX EndNote RefMan NoteFirst NoteExpress
×
提示
您的信息不完整,为了账户安全,请先补充。
现在去补充
×
提示
您因"违规操作"
具体请查看互助需知
我知道了
×
提示
确定
请完成安全验证×
copy
已复制链接
快去分享给好友吧!
我知道了
右上角分享
点击右上角分享
0
联系我们:info@booksci.cn Book学术提供免费学术资源搜索服务,方便国内外学者检索中英文文献。致力于提供最便捷和优质的服务体验。 Copyright © 2023 布克学术 All rights reserved.
京ICP备2023020795号-1
ghs 京公网安备 11010802042870号
Book学术文献互助
Book学术文献互助群
群 号:604180095
Book学术官方微信