评估交互式人工智能临床决策支持的可视化分析框架。

Q2 Computer Science
Eric W Prince, Todd C Hankinson, Carsten Görg
{"title":"评估交互式人工智能临床决策支持的可视化分析框架。","authors":"Eric W Prince, Todd C Hankinson, Carsten Görg","doi":"10.1142/9789819807024_0004","DOIUrl":null,"url":null,"abstract":"<p><p>Human involvement remains critical in most instances of clinical decision-making. Recent advances in AI and machine learning opened the door for designing, implementing, and translating interactive AI systems to support clinicians in decision-making. Assessing the impact and implications of such systems on patient care and clinical workflows requires in-depth studies. Conducting evaluation studies of AI-supported interactive systems to support decision-making in clinical settings is challenging and time-consuming. These studies involve carefully collecting, analyzing, and interpreting quantitative and qualitative data to assess the performance of the underlying AI-supported system, its impact on the human decision-making process, and the implications for patient care. We have previously developed a toolkit for designing and implementing clinical AI software so that it can be subjected to an application-based evaluation. Here, we present a visual analytics frame-work for analyzing and interpreting the data collected during such an evaluation process. Our framework supports identifying subgroups of users and patients based on their characteristics, detecting outliers among them, and providing evidence to ensure adherence to regulatory guidelines. We used early-stage clinical AI regulatory guidelines to drive the system design, implemented multiple-factor analysis and hierarchical clustering as exemplary analysis tools, and provided interactive visualizations to explore and interpret results. We demonstrate the effectiveness of our framework through a case study to evaluate a prototype AI-based clinical decision-support system for diagnosing pediatric brain tumors.</p>","PeriodicalId":34954,"journal":{"name":"Pacific Symposium on Biocomputing. Pacific Symposium on Biocomputing","volume":"30 ","pages":"40-53"},"PeriodicalIF":0.0000,"publicationDate":"2025-01-01","publicationTypes":"Journal Article","fieldsOfStudy":null,"isOpenAccess":false,"openAccessPdf":"https://www.ncbi.nlm.nih.gov/pmc/articles/PMC12452040/pdf/","citationCount":"0","resultStr":"{\"title\":\"A Visual Analytics Framework for Assessing Interactive AI for Clinical Decision Support.\",\"authors\":\"Eric W Prince, Todd C Hankinson, Carsten Görg\",\"doi\":\"10.1142/9789819807024_0004\",\"DOIUrl\":null,\"url\":null,\"abstract\":\"<p><p>Human involvement remains critical in most instances of clinical decision-making. Recent advances in AI and machine learning opened the door for designing, implementing, and translating interactive AI systems to support clinicians in decision-making. Assessing the impact and implications of such systems on patient care and clinical workflows requires in-depth studies. Conducting evaluation studies of AI-supported interactive systems to support decision-making in clinical settings is challenging and time-consuming. These studies involve carefully collecting, analyzing, and interpreting quantitative and qualitative data to assess the performance of the underlying AI-supported system, its impact on the human decision-making process, and the implications for patient care. We have previously developed a toolkit for designing and implementing clinical AI software so that it can be subjected to an application-based evaluation. Here, we present a visual analytics frame-work for analyzing and interpreting the data collected during such an evaluation process. Our framework supports identifying subgroups of users and patients based on their characteristics, detecting outliers among them, and providing evidence to ensure adherence to regulatory guidelines. We used early-stage clinical AI regulatory guidelines to drive the system design, implemented multiple-factor analysis and hierarchical clustering as exemplary analysis tools, and provided interactive visualizations to explore and interpret results. We demonstrate the effectiveness of our framework through a case study to evaluate a prototype AI-based clinical decision-support system for diagnosing pediatric brain tumors.</p>\",\"PeriodicalId\":34954,\"journal\":{\"name\":\"Pacific Symposium on Biocomputing. Pacific Symposium on Biocomputing\",\"volume\":\"30 \",\"pages\":\"40-53\"},\"PeriodicalIF\":0.0000,\"publicationDate\":\"2025-01-01\",\"publicationTypes\":\"Journal Article\",\"fieldsOfStudy\":null,\"isOpenAccess\":false,\"openAccessPdf\":\"https://www.ncbi.nlm.nih.gov/pmc/articles/PMC12452040/pdf/\",\"citationCount\":\"0\",\"resultStr\":null,\"platform\":\"Semanticscholar\",\"paperid\":null,\"PeriodicalName\":\"Pacific Symposium on Biocomputing. Pacific Symposium on Biocomputing\",\"FirstCategoryId\":\"1085\",\"ListUrlMain\":\"https://doi.org/10.1142/9789819807024_0004\",\"RegionNum\":0,\"RegionCategory\":null,\"ArticlePicture\":[],\"TitleCN\":null,\"AbstractTextCN\":null,\"PMCID\":null,\"EPubDate\":\"\",\"PubModel\":\"\",\"JCR\":\"Q2\",\"JCRName\":\"Computer Science\",\"Score\":null,\"Total\":0}","platform":"Semanticscholar","paperid":null,"PeriodicalName":"Pacific Symposium on Biocomputing. Pacific Symposium on Biocomputing","FirstCategoryId":"1085","ListUrlMain":"https://doi.org/10.1142/9789819807024_0004","RegionNum":0,"RegionCategory":null,"ArticlePicture":[],"TitleCN":null,"AbstractTextCN":null,"PMCID":null,"EPubDate":"","PubModel":"","JCR":"Q2","JCRName":"Computer Science","Score":null,"Total":0}
引用次数: 0

摘要

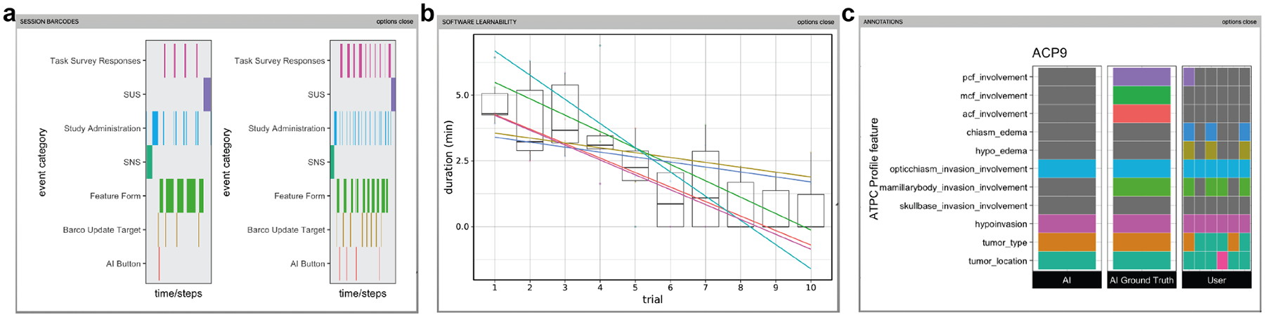
在大多数临床决策中,人类的参与仍然至关重要。人工智能和机器学习的最新进展为设计、实施和翻译交互式人工智能系统打开了大门,以支持临床医生做出决策。评估这些系统对患者护理和临床工作流程的影响和影响需要深入研究。对人工智能支持的交互式系统进行评估研究以支持临床环境中的决策是具有挑战性和耗时的。这些研究涉及仔细收集、分析和解释定量和定性数据,以评估潜在的人工智能支持系统的性能、其对人类决策过程的影响以及对患者护理的影响。我们之前已经开发了一个用于设计和实施临床人工智能软件的工具包,以便它可以接受基于应用程序的评估。在这里,我们提出了一个可视化的分析框架,用于分析和解释在这样的评估过程中收集的数据。我们的框架支持根据用户和患者的特征识别亚组,检测其中的异常值,并提供证据以确保遵守监管指南。我们使用早期临床人工智能监管指南来驱动系统设计,实施多因素分析和分层聚类作为示例分析工具,并提供交互式可视化来探索和解释结果。我们通过一个案例研究来评估一个基于人工智能的儿童脑肿瘤诊断临床决策支持系统的原型,从而证明了我们的框架的有效性。
本文章由计算机程序翻译,如有差异,请以英文原文为准。

A Visual Analytics Framework for Assessing Interactive AI for Clinical Decision Support.

A Visual Analytics Framework for Assessing Interactive AI for Clinical Decision Support.

A Visual Analytics Framework for Assessing Interactive AI for Clinical Decision Support.

A Visual Analytics Framework for Assessing Interactive AI for Clinical Decision Support.

Human involvement remains critical in most instances of clinical decision-making. Recent advances in AI and machine learning opened the door for designing, implementing, and translating interactive AI systems to support clinicians in decision-making. Assessing the impact and implications of such systems on patient care and clinical workflows requires in-depth studies. Conducting evaluation studies of AI-supported interactive systems to support decision-making in clinical settings is challenging and time-consuming. These studies involve carefully collecting, analyzing, and interpreting quantitative and qualitative data to assess the performance of the underlying AI-supported system, its impact on the human decision-making process, and the implications for patient care. We have previously developed a toolkit for designing and implementing clinical AI software so that it can be subjected to an application-based evaluation. Here, we present a visual analytics frame-work for analyzing and interpreting the data collected during such an evaluation process. Our framework supports identifying subgroups of users and patients based on their characteristics, detecting outliers among them, and providing evidence to ensure adherence to regulatory guidelines. We used early-stage clinical AI regulatory guidelines to drive the system design, implemented multiple-factor analysis and hierarchical clustering as exemplary analysis tools, and provided interactive visualizations to explore and interpret results. We demonstrate the effectiveness of our framework through a case study to evaluate a prototype AI-based clinical decision-support system for diagnosing pediatric brain tumors.

求助全文
通过发布文献求助,成功后即可免费获取论文全文。 去求助
来源期刊
CiteScore
4.50
自引率
0.00%
发文量
0
×
引用
GB/T 7714-2015
复制
MLA
复制
APA
复制
导出至
BibTeX EndNote RefMan NoteFirst NoteExpress
×
提示
您的信息不完整,为了账户安全,请先补充。
现在去补充
×
提示
您因"违规操作"
具体请查看互助需知
我知道了
×
提示
确定
请完成安全验证×
copy
已复制链接
快去分享给好友吧!
我知道了
右上角分享
点击右上角分享
0
联系我们:info@booksci.cn Book学术提供免费学术资源搜索服务,方便国内外学者检索中英文文献。致力于提供最便捷和优质的服务体验。 Copyright © 2023 布克学术 All rights reserved.
京ICP备2023020795号-1
ghs 京公网安备 11010802042870号
Book学术文献互助
Book学术文献互助群
群 号:604180095
Book学术官方微信