改善接受托法替尼治疗的强直性脊柱炎患者的疲劳状况:3期随机对照试验分析》。

IF 2.9 3区 医学 Q2 RHEUMATOLOGY
Rheumatology and Therapy Pub Date : 2025-02-01 Epub Date: 2024-12-13 DOI:10.1007/s40744-024-00727-5
Laure Gossec, Jessica A Walsh, Raj Sengupta, Andrew G Bushmakin, Joseph C Cappelleri, Arne Yndestad, Oluwaseyi Dina, David Cella
{"title":"改善接受托法替尼治疗的强直性脊柱炎患者的疲劳状况:3期随机对照试验分析》。","authors":"Laure Gossec, Jessica A Walsh, Raj Sengupta, Andrew G Bushmakin, Joseph C Cappelleri, Arne Yndestad, Oluwaseyi Dina, David Cella","doi":"10.1007/s40744-024-00727-5","DOIUrl":null,"url":null,"abstract":"<p><strong>Introduction: </strong>Fatigue is a key symptom in patients with ankylosing spondylitis (AS). The objective of this analysis was to estimate the median time to initial and stable improvement events in fatigue in patients with AS receiving tofacitinib.</p><p><strong>Methods: </strong>This post hoc analysis used data from a phase 3 trial (NCT03502616) in patients with active AS receiving tofacitinib 5 mg twice daily or placebo. Time to improvement in fatigue was assessed using the Functional Assessment of Chronic Illness Therapy-Fatigue (FACIT-F) total score, experience domain score, and impact domain score. The rapidity of improvement was assessed by time-to-event analyses (nonparametric Kaplan-Meier models); initial improvement events (i.e., time to first week of FACIT-F improvement) and stable improvement events (i.e., time to first week of FACIT-F improvement, sustained to 16 weeks) were examined.</p><p><strong>Results: </strong>Overall, 269 patients were assessed (mean disease duration: 14.2 [standard deviation (SD): 9.8] years; mean baseline FACIT-F total score: 27.2 [SD: 9.3]). Median times to initial and stable improvement events in FACIT-F total and domain scores were significantly shorter and occurred in more patients receiving tofacitinib than placebo. Median time to initial and stable improvement events of 6 points in FACIT-F total score were 8 and 12 weeks with tofacitinib, respectively (placebo: not reached); 70.0% versus 48.5% of patients receiving tofacitinib versus placebo, respectively, experienced initial improvements of 6 points in FACIT-F total score within 16 weeks.</p><p><strong>Conclusions: </strong>Improvements in fatigue occurred more rapidly with tofacitinib than with placebo. These results may be useful for healthcare providers when discussing tofacitinib treatment expectations with patients.</p><p><strong>Trial registration: </strong>ClinicalTrials.gov: NCT03502616 (June 7, 2018).</p>","PeriodicalId":21267,"journal":{"name":"Rheumatology and Therapy","volume":" ","pages":"85-98"},"PeriodicalIF":2.9000,"publicationDate":"2025-02-01","publicationTypes":"Journal Article","fieldsOfStudy":null,"isOpenAccess":false,"openAccessPdf":"https://www.ncbi.nlm.nih.gov/pmc/articles/PMC11751249/pdf/","citationCount":"0","resultStr":"{\"title\":\"Improvement of Fatigue in Patients with Ankylosing Spondylitis Receiving Tofacitinib: Analyses of a Phase 3 Randomized Controlled Trial.\",\"authors\":\"Laure Gossec, Jessica A Walsh, Raj Sengupta, Andrew G Bushmakin, Joseph C Cappelleri, Arne Yndestad, Oluwaseyi Dina, David Cella\",\"doi\":\"10.1007/s40744-024-00727-5\",\"DOIUrl\":null,\"url\":null,\"abstract\":\"<p><strong>Introduction: </strong>Fatigue is a key symptom in patients with ankylosing spondylitis (AS). The objective of this analysis was to estimate the median time to initial and stable improvement events in fatigue in patients with AS receiving tofacitinib.</p><p><strong>Methods: </strong>This post hoc analysis used data from a phase 3 trial (NCT03502616) in patients with active AS receiving tofacitinib 5 mg twice daily or placebo. Time to improvement in fatigue was assessed using the Functional Assessment of Chronic Illness Therapy-Fatigue (FACIT-F) total score, experience domain score, and impact domain score. The rapidity of improvement was assessed by time-to-event analyses (nonparametric Kaplan-Meier models); initial improvement events (i.e., time to first week of FACIT-F improvement) and stable improvement events (i.e., time to first week of FACIT-F improvement, sustained to 16 weeks) were examined.</p><p><strong>Results: </strong>Overall, 269 patients were assessed (mean disease duration: 14.2 [standard deviation (SD): 9.8] years; mean baseline FACIT-F total score: 27.2 [SD: 9.3]). Median times to initial and stable improvement events in FACIT-F total and domain scores were significantly shorter and occurred in more patients receiving tofacitinib than placebo. Median time to initial and stable improvement events of 6 points in FACIT-F total score were 8 and 12 weeks with tofacitinib, respectively (placebo: not reached); 70.0% versus 48.5% of patients receiving tofacitinib versus placebo, respectively, experienced initial improvements of 6 points in FACIT-F total score within 16 weeks.</p><p><strong>Conclusions: </strong>Improvements in fatigue occurred more rapidly with tofacitinib than with placebo. These results may be useful for healthcare providers when discussing tofacitinib treatment expectations with patients.</p><p><strong>Trial registration: </strong>ClinicalTrials.gov: NCT03502616 (June 7, 2018).</p>\",\"PeriodicalId\":21267,\"journal\":{\"name\":\"Rheumatology and Therapy\",\"volume\":\" \",\"pages\":\"85-98\"},\"PeriodicalIF\":2.9000,\"publicationDate\":\"2025-02-01\",\"publicationTypes\":\"Journal Article\",\"fieldsOfStudy\":null,\"isOpenAccess\":false,\"openAccessPdf\":\"https://www.ncbi.nlm.nih.gov/pmc/articles/PMC11751249/pdf/\",\"citationCount\":\"0\",\"resultStr\":null,\"platform\":\"Semanticscholar\",\"paperid\":null,\"PeriodicalName\":\"Rheumatology and Therapy\",\"FirstCategoryId\":\"3\",\"ListUrlMain\":\"https://doi.org/10.1007/s40744-024-00727-5\",\"RegionNum\":3,\"RegionCategory\":\"医学\",\"ArticlePicture\":[],\"TitleCN\":null,\"AbstractTextCN\":null,\"PMCID\":null,\"EPubDate\":\"2024/12/13 0:00:00\",\"PubModel\":\"Epub\",\"JCR\":\"Q2\",\"JCRName\":\"RHEUMATOLOGY\",\"Score\":null,\"Total\":0}","platform":"Semanticscholar","paperid":null,"PeriodicalName":"Rheumatology and Therapy","FirstCategoryId":"3","ListUrlMain":"https://doi.org/10.1007/s40744-024-00727-5","RegionNum":3,"RegionCategory":"医学","ArticlePicture":[],"TitleCN":null,"AbstractTextCN":null,"PMCID":null,"EPubDate":"2024/12/13 0:00:00","PubModel":"Epub","JCR":"Q2","JCRName":"RHEUMATOLOGY","Score":null,"Total":0}
引用次数: 0

摘要

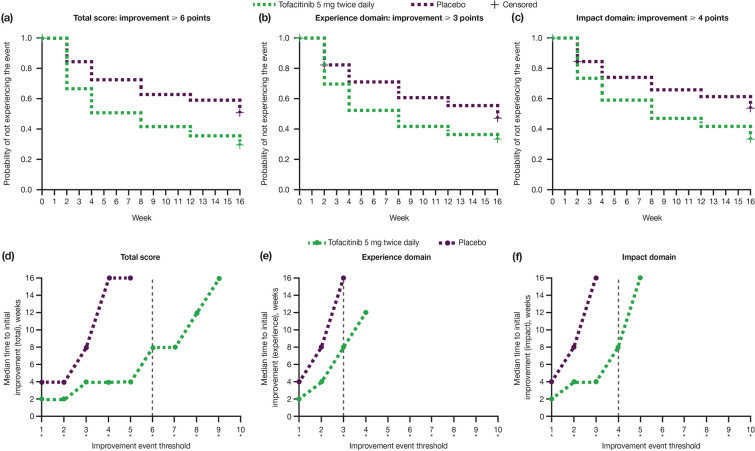
简介:疲劳是强直性脊柱炎(AS)患者的主要症状:疲劳是强直性脊柱炎(AS)患者的一个主要症状。本分析的目的是估算接受托法替尼治疗的强直性脊柱炎患者的疲劳症状得到初步改善和稳定改善的中位时间:这项事后分析采用了一项3期试验(NCT03502616)的数据,活动性强直性脊柱炎患者接受托法替尼5毫克,每天两次或安慰剂治疗。采用慢性疾病治疗功能评估-疲劳(FACIT-F)总分、体验域得分和影响域得分评估疲劳改善的时间。通过时间到事件分析(非参数 Kaplan-Meier 模型)评估改善的速度;研究了初始改善事件(即 FACIT-F 改善第一周的时间)和稳定改善事件(即 FACIT-F 改善第一周的时间,持续 16 周):结果:共对 269 名患者进行了评估(平均病程为 14.2 天[标准差(standard deviation)]):平均基线 FACIT-F 总分:27.2 [SD: 9.3])。与安慰剂相比,接受托法替尼治疗的患者FACIT-F总分和领域得分的初始改善和稳定改善的中位时间明显更短。服用托法替尼后,FACIT-F总分达到6分的初始和稳定改善事件的中位时间分别为8周和12周(安慰剂:未达到);分别有70.0%和48.5%服用托法替尼和安慰剂的患者在16周内FACIT-F总分达到6分:结论:与安慰剂相比,托法替尼能更快地改善患者的疲劳状况。这些结果可能有助于医疗服务提供者与患者讨论对托法替尼治疗的期望:试验注册:ClinicalTrials.gov:NCT03502616(2018年6月7日)。
本文章由计算机程序翻译,如有差异,请以英文原文为准。

Improvement of Fatigue in Patients with Ankylosing Spondylitis Receiving Tofacitinib: Analyses of a Phase 3 Randomized Controlled Trial.

Improvement of Fatigue in Patients with Ankylosing Spondylitis Receiving Tofacitinib: Analyses of a Phase 3 Randomized Controlled Trial.

Improvement of Fatigue in Patients with Ankylosing Spondylitis Receiving Tofacitinib: Analyses of a Phase 3 Randomized Controlled Trial.

Introduction: Fatigue is a key symptom in patients with ankylosing spondylitis (AS). The objective of this analysis was to estimate the median time to initial and stable improvement events in fatigue in patients with AS receiving tofacitinib.

Methods: This post hoc analysis used data from a phase 3 trial (NCT03502616) in patients with active AS receiving tofacitinib 5 mg twice daily or placebo. Time to improvement in fatigue was assessed using the Functional Assessment of Chronic Illness Therapy-Fatigue (FACIT-F) total score, experience domain score, and impact domain score. The rapidity of improvement was assessed by time-to-event analyses (nonparametric Kaplan-Meier models); initial improvement events (i.e., time to first week of FACIT-F improvement) and stable improvement events (i.e., time to first week of FACIT-F improvement, sustained to 16 weeks) were examined.

Results: Overall, 269 patients were assessed (mean disease duration: 14.2 [standard deviation (SD): 9.8] years; mean baseline FACIT-F total score: 27.2 [SD: 9.3]). Median times to initial and stable improvement events in FACIT-F total and domain scores were significantly shorter and occurred in more patients receiving tofacitinib than placebo. Median time to initial and stable improvement events of 6 points in FACIT-F total score were 8 and 12 weeks with tofacitinib, respectively (placebo: not reached); 70.0% versus 48.5% of patients receiving tofacitinib versus placebo, respectively, experienced initial improvements of 6 points in FACIT-F total score within 16 weeks.

Conclusions: Improvements in fatigue occurred more rapidly with tofacitinib than with placebo. These results may be useful for healthcare providers when discussing tofacitinib treatment expectations with patients.

Trial registration: ClinicalTrials.gov: NCT03502616 (June 7, 2018).

求助全文
通过发布文献求助,成功后即可免费获取论文全文。 去求助
来源期刊
Rheumatology and Therapy
Rheumatology and Therapy RHEUMATOLOGY-
CiteScore
6.00
自引率
5.30%
发文量
91
审稿时长
6 weeks
期刊介绍: Aims and Scope Rheumatology and Therapy is an international, open access, peer reviewed, rapid publication journal dedicated to the publication of high-quality clinical (all phases), observational, real-world and health outcomes research around the discovery, development, and use of rheumatologic therapies. Studies relating to diagnosis, pharmacoeconomics, public health, quality of life, and patient care, management, and education are also welcomed. Areas of focus include, but are not limited to, rheumatoid arthritis, gout, gouty arthritis, psoriatic arthritis, osteoarthritis, juvenile idiopathic/rheumatoid arthritis, systemic lupus erythematosus, axial spondyloarthritis, Pompe’s disease, inflammatory joint conditions, musculoskeletal conditions, systemic sclerosis, and fibromyalgia. The journal is of interest to a broad audience of healthcare professionals and publishes original research, reviews, case reports, trial protocols, communications and letters. The journal is read by a global audience and receives submissions from all over the world. Rheumatology and Therapy will consider all scientifically sound research be it positive, confirmatory or negative data. Submissions are welcomed whether they relate to an international and/or a country-specific audience, something that is crucially important when researchers are trying to target more specific patient populations. This inclusive approach allows the journal to assist in the dissemination of all scientifically and ethically sound research. Ethics and Disclosures The journal is a member of the Committee on Publication Ethics (COPE) and subscribes to its principles on how to deal with acts of misconduct thereby committing to investigate allegations of misconduct in order to ensure the integrity of research. Content in this journal is peer-reviewed (Single-blind). For more information on our publishing ethics policies, please see here: https://www.springer.com/gp/editorial-policies Rapid Publication The journal’s rapid publication timelines aim for a peer review decision within 2 weeks of submission. If an article is accepted it will be published online 3-4 weeks from acceptance. These rapid timelines are achieved through the combination of a dedicated in-house editorial team, who closely manage article workflow, and an extensive Editorial and Advisory Board who assist with rapid peer review. This allows the journal to support the rapid dissemination of research, whilst still providing robust peer review. Combined with the journal’s open access model this allows for the rapid and efficient communication of the latest research and reviews, allowing the advancement of rheumatologic therapies. Personal Service The journal’s dedicated in-house editorial team offer a personal “concierge service” meaning that authors will always have a personal point of contact able to update them on the status of their manuscript. The editorial team check all manuscripts to ensure that articles conform to the most recent COPE, GPP and ICMJE publishing guidelines. This supports the publication of ethically sound and transparent research. We also encourage pre-submission enquiries and are always happy to provide a confidential assessment of manuscripts. Digital Features Rheumatology and Therapy offers a range of additional features designed to increase the visibility, readership and educational value of the journal’s content. Each article is accompanied by key summary points, giving a time-efficient overview of the content to a wide readership. Articles may be accompanied by plain language summaries to assist readers who have some knowledge of, but not in-depth expertise in, the area to understand the scientific content and overall implications of the article. The journal also provides the option to include various types of digital features including animated abstracts, video abstracts, slide decks, audio slides, instructional videos, infographics, podcasts and animations. All additional features are peer reviewed to the same high standard as the article itself. If you consider that your paper would benefit from the inclusion of a digital feature, please let us know. Our editorial team are able to create high-quality slide decks and infographics in-house, and video abstracts through our partner Research Square, and would be happy to assist in any way we can. For further information about digital features, please contact the journal editor (see ‘Contact the Journal’ for email address), and see the ‘Guidelines for digital features and plain language summaries’ document under ‘Submission guidelines’. For examples of digital features please visit: https://springerhealthcare.com/expertise/publishing-digital-features/ Preprints We encourage posting of preprints of primary research manuscripts on preprint servers, authors'' or institutional websites, and open communications between researchers whether on community preprint servers or preprint commenting platforms. Posting of preprints is not considered prior publication and will not jeopardize consideration in our journals. Authors should disclose details of preprint posting during the submission process or at any other point during consideration in the journal. Once the manuscript is published, it is the author''s responsibility to ensure that the preprint record is updated with a publication reference, including the DOI and a URL link to the published version of the article on the journal website. Please see here for further information on preprint sharing: https://www.springer.com/gp/authors-editors/journal-author/journal-author-helpdesk/submission/1302#c16721550 Peer Review Process Upon submission, manuscripts are assessed by the editorial team to ensure they fit within the aims and scope of the journal and are also checked for plagiarism. All suitable submissions are then subject to a comprehensive single-blind peer review. Reviewers are selected based on their relevant expertise and publication history in the subject area. The journal has an extensive pool of editorial and advisory board members who have been selected to assist with peer review based on the afore-mentioned criteria. At least two extensive reviews are required to make the editorial decision. Where reviewer recommendations are conflicted, the editorial board will be contacted for further advice and a presiding decision. Manuscripts are then either accepted, rejected or authors are required to make major or minor revisions (both reviewer comments and editorial comments may need to be addressed). Once a revised manuscript is re-submitted, it is assessed along with the responses to reviewer comments and if it has been adequately revised it will be accepted for publication. Accepted manuscripts are then copyedited and typeset by the production team before online publication. Appeals against decisions following peer review are considered on a case-by-case basis and should be sent to the journal editor, and authors are welcome to make rebuttals against individual reviewer comments if appropriate. Considering the time and effort required for a detailed peer review we reward our regular reviewers with the opportunity to publish without publication fees (pending peer review) for every three reviews completed per calendar year. Copyright Rheumatology and Therapy is published under the Creative Commons Attribution-Noncommercial License, which allows users to read, copy, distribute, and make derivative works for non-commercial purposes from the material, as long as the author of the original work is cited. The author assigns the exclusive right to any commercial use of the article to Springer. For more information about the Creative Commons Attribution-Noncommercial License, click here: http://creativecommons.org/licenses/by-nc/4.0. Publication Fees Upon acceptance of an article, authors will be required to pay the mandatory Rapid Service Fee of €5,250/$6,000/£4,300. The journal will consider fee discounts and waivers for developing countries and this is decided on a case-by-case basis. Open Access All articles published by Rheumatology and Therapy are published open access. Contact For more information about the journal, including pre-submission enquiries, please contact charlotte.maddocks@springernature.com.
×
引用
GB/T 7714-2015
复制
MLA
复制
APA
复制
导出至
BibTeX EndNote RefMan NoteFirst NoteExpress
×
提示
您的信息不完整,为了账户安全,请先补充。
现在去补充
×
提示
您因"违规操作"
具体请查看互助需知
我知道了
×
提示
确定
请完成安全验证×
copy
已复制链接
快去分享给好友吧!
我知道了
右上角分享
点击右上角分享
0
联系我们:info@booksci.cn Book学术提供免费学术资源搜索服务,方便国内外学者检索中英文文献。致力于提供最便捷和优质的服务体验。 Copyright © 2023 布克学术 All rights reserved.
京ICP备2023020795号-1
ghs 京公网安备 11010802042870号
Book学术文献互助
Book学术文献互助群
群 号:604180095
Book学术官方微信