女性性别和轻度皮质醇分泌对肾上腺偶发瘤凝血特征的影响。

IF 3.1 Q2 ENDOCRINOLOGY & METABOLISM
Journal of the Endocrine Society Pub Date : 2024-12-12 eCollection Date: 2024-11-26 DOI:10.1210/jendso/bvae215
Ilaria Bonaventura, Marianna Minnetti, Davide Ferrari, Valeria Hasenmajer, Alessandra Tomaselli, Dario De Alcubierre, Andrea Lenzi, Riccardo Pofi, Andrea M Isidori
{"title":"女性性别和轻度皮质醇分泌对肾上腺偶发瘤凝血特征的影响。","authors":"Ilaria Bonaventura, Marianna Minnetti, Davide Ferrari, Valeria Hasenmajer, Alessandra Tomaselli, Dario De Alcubierre, Andrea Lenzi, Riccardo Pofi, Andrea M Isidori","doi":"10.1210/jendso/bvae215","DOIUrl":null,"url":null,"abstract":"<p><strong>Context: </strong>Studies describing the coagulation profile in adrenal adenomas still need to be added.</p><p><strong>Objective: </strong>We explored how sex and mild autonomous cortisol secretion (MACS) affect coagulation parameters in patients with adrenal adenomas.</p><p><strong>Design: </strong>Cross-sectional study.</p><p><strong>Methods: </strong>From January 2019 until April 2023, participants in the Impact of Adrenal IncidenTalomas and Possible Autonomous Cortisol Secretion on Cardiovascular and Metabolic Alterations trial (NCT04127552) diagnosed with adrenal adenoma were categorised according to the 1 mg overnight dexamethasone-suppression test (1 mg-DST). Coagulation parameters were evaluated, and two-way ANOVA was used to elucidate the cortisol-by-sex interaction.</p><p><strong>Results: </strong>Of 153 patients screened, 90 were enrolled (62.2% female, mean age 62 ± 10 years): 41 with non-functioning adrenal tumour (1 mg-DST ≤ 1.8 µg/dL), and 49 with a MACS (1 mg-DST > 1.8 µg/dL). Platelet counts were higher in the MACS group (<i>P</i> = .01). Regression analysis identified female sex (B = 36.603, <i>P</i> = .011), 1mg-DST (B = 0.238, <i>P</i> = .042), and younger age (B = -1.452, <i>P</i> = .038) as independent predictors for elevated platelet count. In patients with MACS, women exhibited higher levels of procoagulant factors fibrinogen (<i>P</i> = .004) and factor VIII (<i>P</i> < .001), and coagulation inhibitors protein C (<i>P</i> = .003) and antithrombin III (<i>P</i> = .005) than males. No differences were observed in the non-functioning adrenal tumour group, providing a cortisol-by-sex interaction regarding fibrinogen (<i>P</i> = .047), factor VIII (<i>P</i> = .046), and protein C (<i>P</i> = .028).</p><p><strong>Conclusion: </strong>Our findings revealed a worse coagulation profile in women with MACS, underscoring the need for a sex-specific approach in clinical practice to manage thrombotic risks effectively. Dedicated prospective studies are needed to validate and integrate these findings into clinical strategies for thromboprophylaxis.</p>","PeriodicalId":17334,"journal":{"name":"Journal of the Endocrine Society","volume":"9 1","pages":"bvae215"},"PeriodicalIF":3.1000,"publicationDate":"2024-12-12","publicationTypes":"Journal Article","fieldsOfStudy":null,"isOpenAccess":false,"openAccessPdf":"https://www.ncbi.nlm.nih.gov/pmc/articles/PMC11635453/pdf/","citationCount":"0","resultStr":"{\"title\":\"Impact of Female Sex and Mild Cortisol Secretion on Coagulation Profile in Adrenal Incidentalomas.\",\"authors\":\"Ilaria Bonaventura, Marianna Minnetti, Davide Ferrari, Valeria Hasenmajer, Alessandra Tomaselli, Dario De Alcubierre, Andrea Lenzi, Riccardo Pofi, Andrea M Isidori\",\"doi\":\"10.1210/jendso/bvae215\",\"DOIUrl\":null,\"url\":null,\"abstract\":\"<p><strong>Context: </strong>Studies describing the coagulation profile in adrenal adenomas still need to be added.</p><p><strong>Objective: </strong>We explored how sex and mild autonomous cortisol secretion (MACS) affect coagulation parameters in patients with adrenal adenomas.</p><p><strong>Design: </strong>Cross-sectional study.</p><p><strong>Methods: </strong>From January 2019 until April 2023, participants in the Impact of Adrenal IncidenTalomas and Possible Autonomous Cortisol Secretion on Cardiovascular and Metabolic Alterations trial (NCT04127552) diagnosed with adrenal adenoma were categorised according to the 1 mg overnight dexamethasone-suppression test (1 mg-DST). Coagulation parameters were evaluated, and two-way ANOVA was used to elucidate the cortisol-by-sex interaction.</p><p><strong>Results: </strong>Of 153 patients screened, 90 were enrolled (62.2% female, mean age 62 ± 10 years): 41 with non-functioning adrenal tumour (1 mg-DST ≤ 1.8 µg/dL), and 49 with a MACS (1 mg-DST > 1.8 µg/dL). Platelet counts were higher in the MACS group (<i>P</i> = .01). Regression analysis identified female sex (B = 36.603, <i>P</i> = .011), 1mg-DST (B = 0.238, <i>P</i> = .042), and younger age (B = -1.452, <i>P</i> = .038) as independent predictors for elevated platelet count. In patients with MACS, women exhibited higher levels of procoagulant factors fibrinogen (<i>P</i> = .004) and factor VIII (<i>P</i> < .001), and coagulation inhibitors protein C (<i>P</i> = .003) and antithrombin III (<i>P</i> = .005) than males. No differences were observed in the non-functioning adrenal tumour group, providing a cortisol-by-sex interaction regarding fibrinogen (<i>P</i> = .047), factor VIII (<i>P</i> = .046), and protein C (<i>P</i> = .028).</p><p><strong>Conclusion: </strong>Our findings revealed a worse coagulation profile in women with MACS, underscoring the need for a sex-specific approach in clinical practice to manage thrombotic risks effectively. Dedicated prospective studies are needed to validate and integrate these findings into clinical strategies for thromboprophylaxis.</p>\",\"PeriodicalId\":17334,\"journal\":{\"name\":\"Journal of the Endocrine Society\",\"volume\":\"9 1\",\"pages\":\"bvae215\"},\"PeriodicalIF\":3.1000,\"publicationDate\":\"2024-12-12\",\"publicationTypes\":\"Journal Article\",\"fieldsOfStudy\":null,\"isOpenAccess\":false,\"openAccessPdf\":\"https://www.ncbi.nlm.nih.gov/pmc/articles/PMC11635453/pdf/\",\"citationCount\":\"0\",\"resultStr\":null,\"platform\":\"Semanticscholar\",\"paperid\":null,\"PeriodicalName\":\"Journal of the Endocrine Society\",\"FirstCategoryId\":\"1085\",\"ListUrlMain\":\"https://doi.org/10.1210/jendso/bvae215\",\"RegionNum\":0,\"RegionCategory\":null,\"ArticlePicture\":[],\"TitleCN\":null,\"AbstractTextCN\":null,\"PMCID\":null,\"EPubDate\":\"2024/11/26 0:00:00\",\"PubModel\":\"eCollection\",\"JCR\":\"Q2\",\"JCRName\":\"ENDOCRINOLOGY & METABOLISM\",\"Score\":null,\"Total\":0}","platform":"Semanticscholar","paperid":null,"PeriodicalName":"Journal of the Endocrine Society","FirstCategoryId":"1085","ListUrlMain":"https://doi.org/10.1210/jendso/bvae215","RegionNum":0,"RegionCategory":null,"ArticlePicture":[],"TitleCN":null,"AbstractTextCN":null,"PMCID":null,"EPubDate":"2024/11/26 0:00:00","PubModel":"eCollection","JCR":"Q2","JCRName":"ENDOCRINOLOGY & METABOLISM","Score":null,"Total":0}
引用次数: 0

摘要

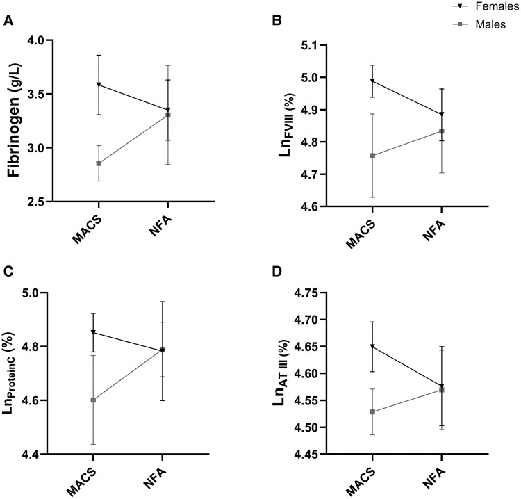
背景:描述肾上腺腺瘤凝血特征的研究仍有待补充:我们探讨了性别和轻度自主皮质醇分泌(MACS)如何影响肾上腺腺瘤患者的凝血参数:横断面研究:从2019年1月到2023年4月,根据1毫克隔夜地塞米松抑制试验(1毫克-DST)对肾上腺腺瘤和可能的自主皮质醇分泌对心血管和代谢改变的影响试验(NCT04127552)的参与者进行分类。对凝血参数进行了评估,并采用双向方差分析来阐明皮质醇与性别之间的相互作用:结果:在筛选出的 153 名患者中,有 90 人(62.2% 为女性,平均年龄为 62 ± 10 岁)入选:其中 41 人患有非功能性肾上腺肿瘤(1 mg-DST ≤ 1.8 µg/dL),49 人患有 MACS(1 mg-DST > 1.8 µg/dL)。MACS 组的血小板计数更高(P = .01)。回归分析表明,女性性别(B = 36.603,P = .011)、1 毫克-DST(B = 0.238,P = .042)和年龄(B = -1.452 ,P = .038)是血小板计数升高的独立预测因素。在 MACS 患者中,女性的促凝因子纤维蛋白原(P = 0.004)和因子 VIII(P < 0.001)、凝血抑制因子蛋白 C(P = 0.003)和抗凝血酶 III(P = 0.005)水平高于男性。在无功能性肾上腺肿瘤组中未观察到差异,但在纤维蛋白原(P = .047)、因子VIII(P = .046)和蛋白C(P = .028)方面存在皮质醇与性别的交互作用:结论:我们的研究结果表明,患有澳门巴黎人娱乐官网的女性凝血功能更差,这说明在临床实践中需要采用针对不同性别的方法来有效控制血栓风险。需要进行专门的前瞻性研究来验证这些发现,并将其纳入血栓预防的临床策略中。
本文章由计算机程序翻译,如有差异,请以英文原文为准。

Impact of Female Sex and Mild Cortisol Secretion on Coagulation Profile in Adrenal Incidentalomas.

Impact of Female Sex and Mild Cortisol Secretion on Coagulation Profile in Adrenal Incidentalomas.

Impact of Female Sex and Mild Cortisol Secretion on Coagulation Profile in Adrenal Incidentalomas.

Impact of Female Sex and Mild Cortisol Secretion on Coagulation Profile in Adrenal Incidentalomas.

Context: Studies describing the coagulation profile in adrenal adenomas still need to be added.

Objective: We explored how sex and mild autonomous cortisol secretion (MACS) affect coagulation parameters in patients with adrenal adenomas.

Design: Cross-sectional study.

Methods: From January 2019 until April 2023, participants in the Impact of Adrenal IncidenTalomas and Possible Autonomous Cortisol Secretion on Cardiovascular and Metabolic Alterations trial (NCT04127552) diagnosed with adrenal adenoma were categorised according to the 1 mg overnight dexamethasone-suppression test (1 mg-DST). Coagulation parameters were evaluated, and two-way ANOVA was used to elucidate the cortisol-by-sex interaction.

Results: Of 153 patients screened, 90 were enrolled (62.2% female, mean age 62 ± 10 years): 41 with non-functioning adrenal tumour (1 mg-DST ≤ 1.8 µg/dL), and 49 with a MACS (1 mg-DST > 1.8 µg/dL). Platelet counts were higher in the MACS group (P = .01). Regression analysis identified female sex (B = 36.603, P = .011), 1mg-DST (B = 0.238, P = .042), and younger age (B = -1.452, P = .038) as independent predictors for elevated platelet count. In patients with MACS, women exhibited higher levels of procoagulant factors fibrinogen (P = .004) and factor VIII (P < .001), and coagulation inhibitors protein C (P = .003) and antithrombin III (P = .005) than males. No differences were observed in the non-functioning adrenal tumour group, providing a cortisol-by-sex interaction regarding fibrinogen (P = .047), factor VIII (P = .046), and protein C (P = .028).

Conclusion: Our findings revealed a worse coagulation profile in women with MACS, underscoring the need for a sex-specific approach in clinical practice to manage thrombotic risks effectively. Dedicated prospective studies are needed to validate and integrate these findings into clinical strategies for thromboprophylaxis.

求助全文
通过发布文献求助,成功后即可免费获取论文全文。 去求助
来源期刊
Journal of the Endocrine Society
Journal of the Endocrine Society Medicine-Endocrinology, Diabetes and Metabolism
CiteScore
5.50
自引率
0.00%
发文量
2039
审稿时长
9 weeks
×
引用
GB/T 7714-2015
复制
MLA
复制
APA
复制
导出至
BibTeX EndNote RefMan NoteFirst NoteExpress
×
提示
您的信息不完整,为了账户安全,请先补充。
现在去补充
×
提示
您因"违规操作"
具体请查看互助需知
我知道了
×
提示
确定
请完成安全验证×
copy
已复制链接
快去分享给好友吧!
我知道了
右上角分享
点击右上角分享
0
联系我们:info@booksci.cn Book学术提供免费学术资源搜索服务,方便国内外学者检索中英文文献。致力于提供最便捷和优质的服务体验。 Copyright © 2023 布克学术 All rights reserved.
京ICP备2023020795号-1
ghs 京公网安备 11010802042870号
Book学术文献互助
Book学术文献互助群
群 号:604180095
Book学术官方微信