比较血液透析和腹膜透析患者的铁管理:一项系统综述。

Frontiers in nephrology Pub Date : 2024-11-27 eCollection Date: 2024-01-01 DOI:10.3389/fneph.2024.1488758
Thomas S van Lieshout, Anastasia K Klerks, Osman Mahic, Robin W M Vernooij, Michele F Eisenga, Brigit C van Jaarsveld, Alferso C Abrahams
{"title":"比较血液透析和腹膜透析患者的铁管理:一项系统综述。","authors":"Thomas S van Lieshout, Anastasia K Klerks, Osman Mahic, Robin W M Vernooij, Michele F Eisenga, Brigit C van Jaarsveld, Alferso C Abrahams","doi":"10.3389/fneph.2024.1488758","DOIUrl":null,"url":null,"abstract":"<p><strong>Background: </strong>Patients with kidney failure undergoing dialysis often suffer from anemia. Iron deficiency, along with a shortage in erythropoietin, is a common cause. Peritoneal dialysis (PD) patients may have a different iron metabolism compared to hemodialysis (HD) patients. This study aims to compare both dialysis modalities regarding their differences in iron management.</p><p><strong>Methods: </strong>PubMed (MEDLINE) and Embase were screened for randomized controlled trials and observational studies including both patients on HD or PD with information on iron management. Outcomes for iron management for this systematic review included: prevalence of supplementation, route of administration, dose, frequency and hemoglobin and iron status parameters.</p><p><strong>Results: </strong>15 eligible studies (930,436 patients), of which 8 cohort and 7 cross-sectional, were analyzed. The prevalence of intravenous (IV) iron supplementation ranged from 11.7% to 84.4% in HD patients, compared to 1.6% to 49.0% in PD patients. Ten studies reported that HD patients only received IV iron, while five studies reported this for PD patients. For oral iron supplementation, three studies involved HD patients, whereas seven studies involved PD patients. The cumulative monthly IV iron dose ranged from 108 to 750 mg in the HD group, compared to 65 to 250 mg in the PD group. Hemoglobin levels ranged from 10.0 to 12.0 g/dL in HD patients, versus 9.6 to 11.9 g/dL in PD patients.</p><p><strong>Conclusion: </strong>Iron management differs between HD and PD patients, with HD patients receiving higher doses and more frequent IV iron. There was significant heterogeneity in the outcomes between the studies, primarily due to the lack of a uniform global policy on iron management. Despite these differences, hemoglobin levels and iron status parameters were comparable between the two groups. Future research should explore the underlying mechanisms and broader impacts of iron treatment, including patient-reported outcomes, to optimize anemia management and improve quality of life for dialysis patients.</p><p><strong>Systematic review registration: </strong>https://www.crd.york.ac.uk/prospero/, identifier CRD42022336970.</p>","PeriodicalId":73091,"journal":{"name":"Frontiers in nephrology","volume":"4 ","pages":"1488758"},"PeriodicalIF":0.0000,"publicationDate":"2024-11-27","publicationTypes":"Journal Article","fieldsOfStudy":null,"isOpenAccess":false,"openAccessPdf":"https://www.ncbi.nlm.nih.gov/pmc/articles/PMC11631840/pdf/","citationCount":"0","resultStr":"{\"title\":\"Comparative iron management in hemodialysis and peritoneal dialysis patients: a systematic review.\",\"authors\":\"Thomas S van Lieshout, Anastasia K Klerks, Osman Mahic, Robin W M Vernooij, Michele F Eisenga, Brigit C van Jaarsveld, Alferso C Abrahams\",\"doi\":\"10.3389/fneph.2024.1488758\",\"DOIUrl\":null,\"url\":null,\"abstract\":\"<p><strong>Background: </strong>Patients with kidney failure undergoing dialysis often suffer from anemia. Iron deficiency, along with a shortage in erythropoietin, is a common cause. Peritoneal dialysis (PD) patients may have a different iron metabolism compared to hemodialysis (HD) patients. This study aims to compare both dialysis modalities regarding their differences in iron management.</p><p><strong>Methods: </strong>PubMed (MEDLINE) and Embase were screened for randomized controlled trials and observational studies including both patients on HD or PD with information on iron management. Outcomes for iron management for this systematic review included: prevalence of supplementation, route of administration, dose, frequency and hemoglobin and iron status parameters.</p><p><strong>Results: </strong>15 eligible studies (930,436 patients), of which 8 cohort and 7 cross-sectional, were analyzed. The prevalence of intravenous (IV) iron supplementation ranged from 11.7% to 84.4% in HD patients, compared to 1.6% to 49.0% in PD patients. Ten studies reported that HD patients only received IV iron, while five studies reported this for PD patients. For oral iron supplementation, three studies involved HD patients, whereas seven studies involved PD patients. The cumulative monthly IV iron dose ranged from 108 to 750 mg in the HD group, compared to 65 to 250 mg in the PD group. Hemoglobin levels ranged from 10.0 to 12.0 g/dL in HD patients, versus 9.6 to 11.9 g/dL in PD patients.</p><p><strong>Conclusion: </strong>Iron management differs between HD and PD patients, with HD patients receiving higher doses and more frequent IV iron. There was significant heterogeneity in the outcomes between the studies, primarily due to the lack of a uniform global policy on iron management. Despite these differences, hemoglobin levels and iron status parameters were comparable between the two groups. Future research should explore the underlying mechanisms and broader impacts of iron treatment, including patient-reported outcomes, to optimize anemia management and improve quality of life for dialysis patients.</p><p><strong>Systematic review registration: </strong>https://www.crd.york.ac.uk/prospero/, identifier CRD42022336970.</p>\",\"PeriodicalId\":73091,\"journal\":{\"name\":\"Frontiers in nephrology\",\"volume\":\"4 \",\"pages\":\"1488758\"},\"PeriodicalIF\":0.0000,\"publicationDate\":\"2024-11-27\",\"publicationTypes\":\"Journal Article\",\"fieldsOfStudy\":null,\"isOpenAccess\":false,\"openAccessPdf\":\"https://www.ncbi.nlm.nih.gov/pmc/articles/PMC11631840/pdf/\",\"citationCount\":\"0\",\"resultStr\":null,\"platform\":\"Semanticscholar\",\"paperid\":null,\"PeriodicalName\":\"Frontiers in nephrology\",\"FirstCategoryId\":\"1085\",\"ListUrlMain\":\"https://doi.org/10.3389/fneph.2024.1488758\",\"RegionNum\":0,\"RegionCategory\":null,\"ArticlePicture\":[],\"TitleCN\":null,\"AbstractTextCN\":null,\"PMCID\":null,\"EPubDate\":\"2024/1/1 0:00:00\",\"PubModel\":\"eCollection\",\"JCR\":\"\",\"JCRName\":\"\",\"Score\":null,\"Total\":0}","platform":"Semanticscholar","paperid":null,"PeriodicalName":"Frontiers in nephrology","FirstCategoryId":"1085","ListUrlMain":"https://doi.org/10.3389/fneph.2024.1488758","RegionNum":0,"RegionCategory":null,"ArticlePicture":[],"TitleCN":null,"AbstractTextCN":null,"PMCID":null,"EPubDate":"2024/1/1 0:00:00","PubModel":"eCollection","JCR":"","JCRName":"","Score":null,"Total":0}
引用次数: 0

摘要

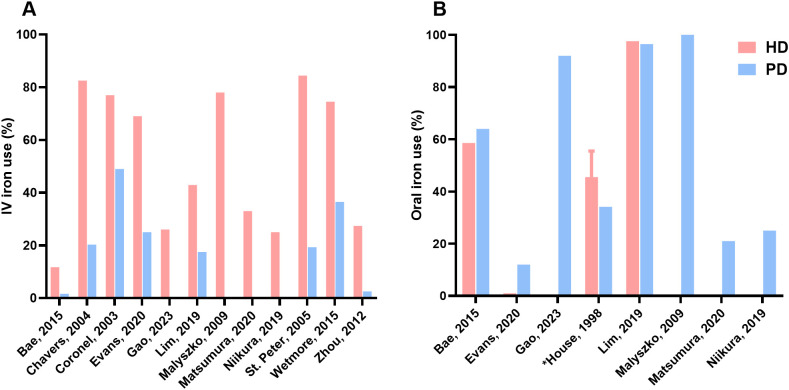
背景:肾衰透析患者常伴有贫血。缺铁和促红细胞生成素不足是常见的原因。腹膜透析(PD)患者可能与血液透析(HD)患者有不同的铁代谢。本研究旨在比较两种透析方式在铁管理方面的差异。方法:PubMed (MEDLINE)和Embase筛选随机对照试验和观察性研究,包括HD或PD患者的铁管理信息。本系统评价的铁管理结果包括:补充的流行程度、给药途径、剂量、频率以及血红蛋白和铁状态参数。结果:纳入15项符合条件的研究(930,436例患者),其中8项为队列研究,7项为横断面研究。静脉(IV)补铁在HD患者中的患病率为11.7%至84.4%,而PD患者为1.6%至49.0%。10项研究报道了HD患者仅接受静脉注射铁,而5项研究报道了PD患者接受静脉注射铁。对于口服补铁,3项研究涉及HD患者,而7项研究涉及PD患者。HD组的累计每月静脉注射铁剂量为108 - 750 mg,而PD组为65 - 250 mg。HD患者的血红蛋白水平为10.0 - 12.0 g/dL, PD患者为9.6 - 11.9 g/dL。结论:HD和PD患者的铁治疗不同,HD患者接受更高剂量和更频繁的静脉注射铁。研究结果存在显著的异质性,主要是由于缺乏统一的全球铁管理政策。尽管存在这些差异,两组之间的血红蛋白水平和铁状态参数具有可比性。未来的研究应该探索铁治疗的潜在机制和更广泛的影响,包括患者报告的结果,以优化贫血管理和改善透析患者的生活质量。系统综述注册:https://www.crd.york.ac.uk/prospero/,标识符CRD42022336970。
本文章由计算机程序翻译,如有差异,请以英文原文为准。

Comparative iron management in hemodialysis and peritoneal dialysis patients: a systematic review.

Comparative iron management in hemodialysis and peritoneal dialysis patients: a systematic review.

Comparative iron management in hemodialysis and peritoneal dialysis patients: a systematic review.

Comparative iron management in hemodialysis and peritoneal dialysis patients: a systematic review.

Background: Patients with kidney failure undergoing dialysis often suffer from anemia. Iron deficiency, along with a shortage in erythropoietin, is a common cause. Peritoneal dialysis (PD) patients may have a different iron metabolism compared to hemodialysis (HD) patients. This study aims to compare both dialysis modalities regarding their differences in iron management.

Methods: PubMed (MEDLINE) and Embase were screened for randomized controlled trials and observational studies including both patients on HD or PD with information on iron management. Outcomes for iron management for this systematic review included: prevalence of supplementation, route of administration, dose, frequency and hemoglobin and iron status parameters.

Results: 15 eligible studies (930,436 patients), of which 8 cohort and 7 cross-sectional, were analyzed. The prevalence of intravenous (IV) iron supplementation ranged from 11.7% to 84.4% in HD patients, compared to 1.6% to 49.0% in PD patients. Ten studies reported that HD patients only received IV iron, while five studies reported this for PD patients. For oral iron supplementation, three studies involved HD patients, whereas seven studies involved PD patients. The cumulative monthly IV iron dose ranged from 108 to 750 mg in the HD group, compared to 65 to 250 mg in the PD group. Hemoglobin levels ranged from 10.0 to 12.0 g/dL in HD patients, versus 9.6 to 11.9 g/dL in PD patients.

Conclusion: Iron management differs between HD and PD patients, with HD patients receiving higher doses and more frequent IV iron. There was significant heterogeneity in the outcomes between the studies, primarily due to the lack of a uniform global policy on iron management. Despite these differences, hemoglobin levels and iron status parameters were comparable between the two groups. Future research should explore the underlying mechanisms and broader impacts of iron treatment, including patient-reported outcomes, to optimize anemia management and improve quality of life for dialysis patients.

Systematic review registration: https://www.crd.york.ac.uk/prospero/, identifier CRD42022336970.

求助全文
通过发布文献求助,成功后即可免费获取论文全文。 去求助
来源期刊
自引率
0.00%
发文量
0
×
引用
GB/T 7714-2015
复制
MLA
复制
APA
复制
导出至
BibTeX EndNote RefMan NoteFirst NoteExpress
×
提示
您的信息不完整,为了账户安全,请先补充。
现在去补充
×
提示
您因"违规操作"
具体请查看互助需知
我知道了
×
提示
确定
请完成安全验证×
copy
已复制链接
快去分享给好友吧!
我知道了
右上角分享
点击右上角分享
0
联系我们:info@booksci.cn Book学术提供免费学术资源搜索服务,方便国内外学者检索中英文文献。致力于提供最便捷和优质的服务体验。 Copyright © 2023 布克学术 All rights reserved.
京ICP备2023020795号-1
ghs 京公网安备 11010802042870号
Book学术文献互助
Book学术文献互助群
群 号:604180095
Book学术官方微信