托法替尼与Vedolizumab在Bio-naïve溃疡性结肠炎患者中的应用:真实世界倾向加权比较

IF 8.7
Beatriz Gros, Nathan Constantine-Cooke, Jake Kennedy, Alexander T Elford, Claire O'Hare, Colin Noble, Gareth-Rhys Jones, Ian D Arnott, Charlie W Lees, Nikolas Plevris
{"title":"托法替尼与Vedolizumab在Bio-naïve溃疡性结肠炎患者中的应用:真实世界倾向加权比较","authors":"Beatriz Gros, Nathan Constantine-Cooke, Jake Kennedy, Alexander T Elford, Claire O'Hare, Colin Noble, Gareth-Rhys Jones, Ian D Arnott, Charlie W Lees, Nikolas Plevris","doi":"10.1093/ecco-jcc/jjae188","DOIUrl":null,"url":null,"abstract":"<p><strong>Background and aims: </strong>Over the last decade, treatment options for moderate-to-severe ulcerative colitis (UC) have expanded. However, comparative studies between these agents are limited, especially among biologic-naive patients. We aimed to compare the persistence, effectiveness, and safety of tofacitinib and vedolizumab as the first advanced treatment for patients with UC.</p><p><strong>Methods: </strong>Patients who received either tofacitinib or vedolizumab as their first advanced therapy for UC in NHS Lothian were included. We used inverse probability of treatment weighting. The probability of treatment assignment was calculated via logistic regression using age, sex, UC duration, Montreal extent, C-reactive protein, concomitant corticosteroids, and partial Mayo score at drug commencement.</p><p><strong>Results: </strong>We included n = 158 patients, of whom n = 81 (51.3%) received vedolizumab and n = 77 (48.7%) tofacitinib. Median follow-up for vedolizumab patients was 3.1 years (interquartile range [IQR] 1.6-4.8) and for tofacitinib patients 1.5 years (IQR 0.3-2.3). The cohort was 59.5% male with a median age of 41.1 years (IQR 31.5-51.8). At 2 years, vedolizumab persistence was superior to tofacitinib (p = 0.005). At Weeks 12 and 52, clinical, biochemical, and fecal biomarker steroid-free remission were comparable between groups. Primary nonresponse and secondary loss of response were 9.9% and 17.3% for vedolizumab and 23.4% and 13% for tofacitinib, respectively. The frequency of adverse events was comparable (11 [13.6%] vedolizumab vs 19 [24.7%] tofacitinib, p = 0.629).</p><p><strong>Conclusions: </strong>We found that the persistence and tolerability of vedolizumab were superior to tofacitinib in bio-naive UC, although the rates of clinical and biomarker remission were comparable. These data may help inform the positioning of advanced therapy.</p>","PeriodicalId":94074,"journal":{"name":"Journal of Crohn's & colitis","volume":" ","pages":""},"PeriodicalIF":8.7000,"publicationDate":"2025-07-03","publicationTypes":"Journal Article","fieldsOfStudy":null,"isOpenAccess":false,"openAccessPdf":"https://www.ncbi.nlm.nih.gov/pmc/articles/PMC12260496/pdf/","citationCount":"0","resultStr":"{\"title\":\"Tofacitinib Versus Vedolizumab Among Bio-naive Patients With Ulcerative Colitis: A Real-World Propensity-Weighted Comparison.\",\"authors\":\"Beatriz Gros, Nathan Constantine-Cooke, Jake Kennedy, Alexander T Elford, Claire O'Hare, Colin Noble, Gareth-Rhys Jones, Ian D Arnott, Charlie W Lees, Nikolas Plevris\",\"doi\":\"10.1093/ecco-jcc/jjae188\",\"DOIUrl\":null,\"url\":null,\"abstract\":\"<p><strong>Background and aims: </strong>Over the last decade, treatment options for moderate-to-severe ulcerative colitis (UC) have expanded. However, comparative studies between these agents are limited, especially among biologic-naive patients. We aimed to compare the persistence, effectiveness, and safety of tofacitinib and vedolizumab as the first advanced treatment for patients with UC.</p><p><strong>Methods: </strong>Patients who received either tofacitinib or vedolizumab as their first advanced therapy for UC in NHS Lothian were included. We used inverse probability of treatment weighting. The probability of treatment assignment was calculated via logistic regression using age, sex, UC duration, Montreal extent, C-reactive protein, concomitant corticosteroids, and partial Mayo score at drug commencement.</p><p><strong>Results: </strong>We included n = 158 patients, of whom n = 81 (51.3%) received vedolizumab and n = 77 (48.7%) tofacitinib. Median follow-up for vedolizumab patients was 3.1 years (interquartile range [IQR] 1.6-4.8) and for tofacitinib patients 1.5 years (IQR 0.3-2.3). The cohort was 59.5% male with a median age of 41.1 years (IQR 31.5-51.8). At 2 years, vedolizumab persistence was superior to tofacitinib (p = 0.005). At Weeks 12 and 52, clinical, biochemical, and fecal biomarker steroid-free remission were comparable between groups. Primary nonresponse and secondary loss of response were 9.9% and 17.3% for vedolizumab and 23.4% and 13% for tofacitinib, respectively. The frequency of adverse events was comparable (11 [13.6%] vedolizumab vs 19 [24.7%] tofacitinib, p = 0.629).</p><p><strong>Conclusions: </strong>We found that the persistence and tolerability of vedolizumab were superior to tofacitinib in bio-naive UC, although the rates of clinical and biomarker remission were comparable. These data may help inform the positioning of advanced therapy.</p>\",\"PeriodicalId\":94074,\"journal\":{\"name\":\"Journal of Crohn's & colitis\",\"volume\":\" \",\"pages\":\"\"},\"PeriodicalIF\":8.7000,\"publicationDate\":\"2025-07-03\",\"publicationTypes\":\"Journal Article\",\"fieldsOfStudy\":null,\"isOpenAccess\":false,\"openAccessPdf\":\"https://www.ncbi.nlm.nih.gov/pmc/articles/PMC12260496/pdf/\",\"citationCount\":\"0\",\"resultStr\":null,\"platform\":\"Semanticscholar\",\"paperid\":null,\"PeriodicalName\":\"Journal of Crohn's & colitis\",\"FirstCategoryId\":\"1085\",\"ListUrlMain\":\"https://doi.org/10.1093/ecco-jcc/jjae188\",\"RegionNum\":0,\"RegionCategory\":null,\"ArticlePicture\":[],\"TitleCN\":null,\"AbstractTextCN\":null,\"PMCID\":null,\"EPubDate\":\"\",\"PubModel\":\"\",\"JCR\":\"\",\"JCRName\":\"\",\"Score\":null,\"Total\":0}","platform":"Semanticscholar","paperid":null,"PeriodicalName":"Journal of Crohn's & colitis","FirstCategoryId":"1085","ListUrlMain":"https://doi.org/10.1093/ecco-jcc/jjae188","RegionNum":0,"RegionCategory":null,"ArticlePicture":[],"TitleCN":null,"AbstractTextCN":null,"PMCID":null,"EPubDate":"","PubModel":"","JCR":"","JCRName":"","Score":null,"Total":0}
引用次数: 0

摘要

背景和目的:在过去的十年中,中重度溃疡性结肠炎(UC)的治疗选择已经扩大。然而,这些药物之间的比较研究有限,特别是在biologic-naïve患者中。我们的目的是比较托法替尼和维多单抗作为UC患者首个晚期治疗方案的持久性、有效性和安全性。方法:纳入在洛锡安NHS接受托法替尼或维多单抗作为UC首次高级治疗的患者。我们使用处理加权逆概率(IPTW)。使用年龄、性别、UC持续时间、蒙特利尔范围、CRP、伴随皮质激素和开始用药时的部分Mayo评分,通过logistic回归计算治疗分配的概率。结果:我们纳入了n=158例患者,其中n=81例(51.3%)接受了维多单抗治疗,n=77例(48.7%)接受了托法替尼治疗。vedolizumab患者的中位随访时间为3.1年(IQR为1.6-4.8),托法替尼患者的中位随访时间为1.5年(IQR为0.3-2.3)。队列中男性占59.5%,中位年龄41.1岁(IQR 31.5-51.8)。在2年时,维多单抗的持久性优于托法替尼(p=0.005)。在第12周和第52周,两组之间的临床、生化和粪便生物标志物无类固醇缓解具有可比性。韦多利单抗的原发性无反应和继发性无反应分别为9.9%和17.3%,托法替尼的原发性无反应和继发性无反应分别为23.4%和13%。不良事件发生频率相当(vedolizumab 11例[13.6%]vs tofacitinib 19例[24.7%],p=0.629)。结论:我们发现vedolizumab在bio-naïve UC中的持久性和耐受性优于托法替尼,尽管临床和生物标志物缓解率相当。这些数据可能有助于确定高级治疗的定位。
本文章由计算机程序翻译,如有差异,请以英文原文为准。

Tofacitinib Versus Vedolizumab Among Bio-naive Patients With Ulcerative Colitis: A Real-World Propensity-Weighted Comparison.

Tofacitinib Versus Vedolizumab Among Bio-naive Patients With Ulcerative Colitis: A Real-World Propensity-Weighted Comparison.

Tofacitinib Versus Vedolizumab Among Bio-naive Patients With Ulcerative Colitis: A Real-World Propensity-Weighted Comparison.

Background and aims: Over the last decade, treatment options for moderate-to-severe ulcerative colitis (UC) have expanded. However, comparative studies between these agents are limited, especially among biologic-naive patients. We aimed to compare the persistence, effectiveness, and safety of tofacitinib and vedolizumab as the first advanced treatment for patients with UC.

Methods: Patients who received either tofacitinib or vedolizumab as their first advanced therapy for UC in NHS Lothian were included. We used inverse probability of treatment weighting. The probability of treatment assignment was calculated via logistic regression using age, sex, UC duration, Montreal extent, C-reactive protein, concomitant corticosteroids, and partial Mayo score at drug commencement.

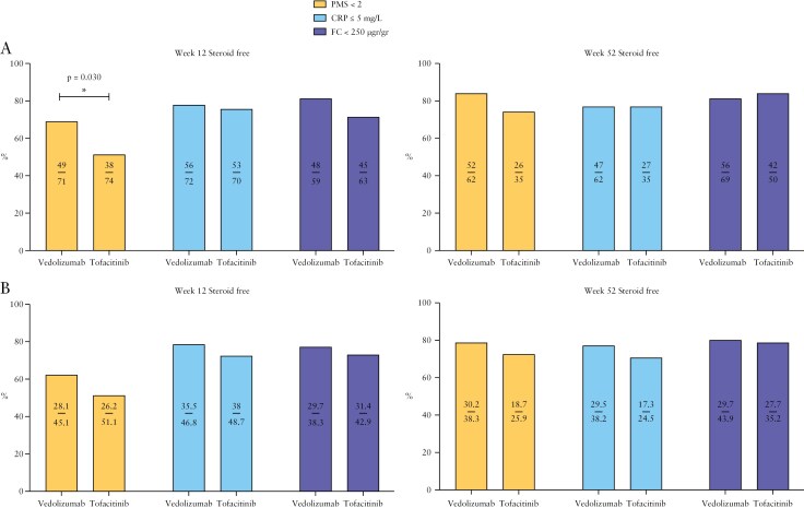
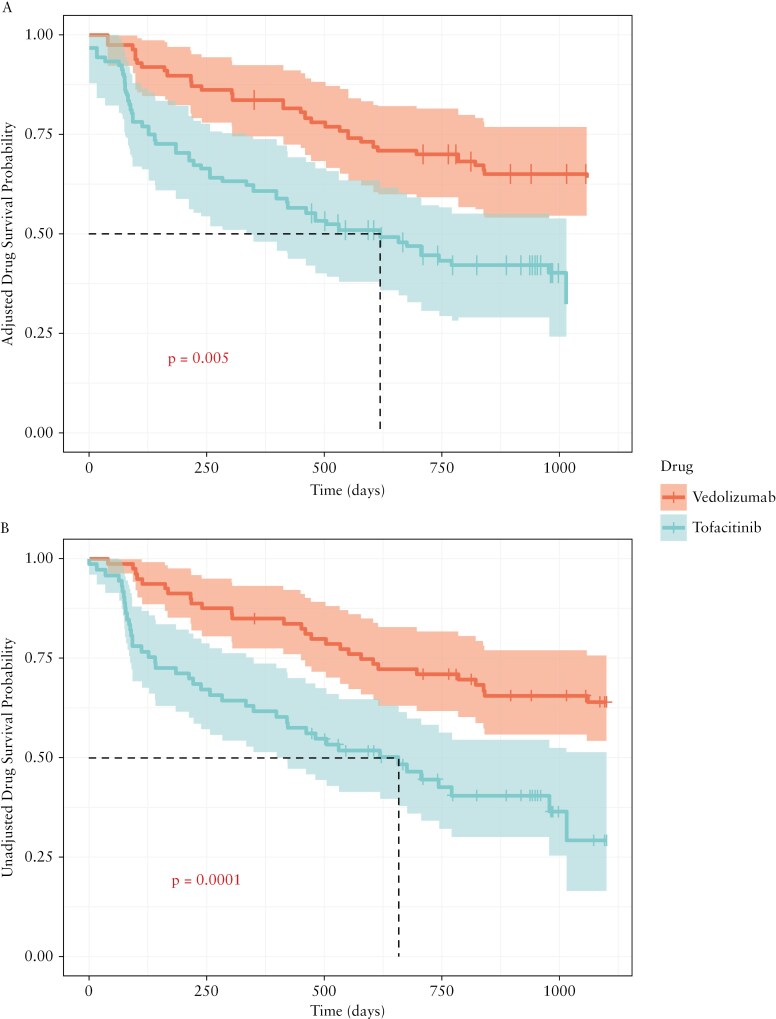
Results: We included n = 158 patients, of whom n = 81 (51.3%) received vedolizumab and n = 77 (48.7%) tofacitinib. Median follow-up for vedolizumab patients was 3.1 years (interquartile range [IQR] 1.6-4.8) and for tofacitinib patients 1.5 years (IQR 0.3-2.3). The cohort was 59.5% male with a median age of 41.1 years (IQR 31.5-51.8). At 2 years, vedolizumab persistence was superior to tofacitinib (p = 0.005). At Weeks 12 and 52, clinical, biochemical, and fecal biomarker steroid-free remission were comparable between groups. Primary nonresponse and secondary loss of response were 9.9% and 17.3% for vedolizumab and 23.4% and 13% for tofacitinib, respectively. The frequency of adverse events was comparable (11 [13.6%] vedolizumab vs 19 [24.7%] tofacitinib, p = 0.629).

Conclusions: We found that the persistence and tolerability of vedolizumab were superior to tofacitinib in bio-naive UC, although the rates of clinical and biomarker remission were comparable. These data may help inform the positioning of advanced therapy.

求助全文
通过发布文献求助,成功后即可免费获取论文全文。 去求助
来源期刊
自引率
0.00%
发文量
0
×
引用
GB/T 7714-2015
复制
MLA
复制
APA
复制
导出至
BibTeX EndNote RefMan NoteFirst NoteExpress
×
提示
您的信息不完整,为了账户安全,请先补充。
现在去补充
×
提示
您因"违规操作"
具体请查看互助需知
我知道了
×
提示
确定
请完成安全验证×
copy
已复制链接
快去分享给好友吧!
我知道了
右上角分享
点击右上角分享
0
联系我们:info@booksci.cn Book学术提供免费学术资源搜索服务,方便国内外学者检索中英文文献。致力于提供最便捷和优质的服务体验。 Copyright © 2023 布克学术 All rights reserved.
京ICP备2023020795号-1
ghs 京公网安备 11010802042870号
Book学术文献互助
Book学术文献互助群
群 号:604180095
Book学术官方微信