自主神经突触病患者尿中去甲肾上腺素和多巴胺排泄减少。

IF 3.4 3区 医学 Q1 CLINICAL NEUROLOGY
Clinical Autonomic Research Pub Date : 2025-04-01 Epub Date: 2024-12-10 DOI:10.1007/s10286-024-01093-6
David S Goldstein, Patti Sullivan, Courtney Holmes
{"title":"自主神经突触病患者尿中去甲肾上腺素和多巴胺排泄减少。","authors":"David S Goldstein, Patti Sullivan, Courtney Holmes","doi":"10.1007/s10286-024-01093-6","DOIUrl":null,"url":null,"abstract":"<p><strong>Background: </strong>Autonomic synucleinopathies feature autonomic failure and intracellular deposition of the protein alpha-synuclein. Three such conditions are the Lewy body diseases (LBDs) Parkinson's disease (PD) and pure autonomic failure (PAF) and the non-LBD synucleinopathy multiple system atrophy (MSA). These diseases all entail catecholaminergic abnormalities in the brain, sympathetically innervated organs, or both; however, little is known about renal catecholaminergic functions in autonomic synucleinopathies. We measured urinary excretion rates of the sympathetic neurotransmitter norepinephrine, the hormone epinephrine, the autocrine-paracrine substance dopamine, the catecholamine precursor 3,4-dihydroxyphenylalanine (DOPA), 3,4-dihydroxyphenylglycol (DHPG, the main neuronal metabolite of norepinephrine), and 3,4-dihydroxyphenylacetic acid (DOPAC, a major dopamine metabolite), in PD, PAF, and MSA groups and controls.</p><p><strong>Methods: </strong>Data were reviewed from all research participants who had urine collections (usually 3.5 h) at the National Institutes of Health (NIH) Clinical Center from 1995 to 2024. The control cohort had neither autonomic failure nor a movement disorder.</p><p><strong>Results: </strong>Norepinephrine excretion rates were decreased compared with controls in PD (p = 0.0001), PAF (p < 0.0001), and MSA (p < 0.0001). Dopamine excretion was also decreased in the three groups (PD: p = 0.0136, PAF: p = 0.0027, MSA: p = 0.0344). DHPG excretion was decreased in PD (p = 0.0004) and PAF (p = 0.0004) but not in MSA. DOPA and epinephrine excretion did not differ among the study groups.</p><p><strong>Conclusions: </strong>Autonomic synucleinopathies involve decreased urinary excretion rates of norepinephrine and dopamine. Since virtually all of urinary dopamine in humans is derived from circulating DOPA, the low rates of urinary norepinephrine and dopamine excretion may reflect dysfunctions in the renal sympathetic noradrenergic system, the DOPA-dopamine autocrine-paracrine system, or both systems.</p>","PeriodicalId":10168,"journal":{"name":"Clinical Autonomic Research","volume":" ","pages":"215-222"},"PeriodicalIF":3.4000,"publicationDate":"2025-04-01","publicationTypes":"Journal Article","fieldsOfStudy":null,"isOpenAccess":false,"openAccessPdf":"https://www.ncbi.nlm.nih.gov/pmc/articles/PMC12000174/pdf/","citationCount":"0","resultStr":"{\"title\":\"Decreased urinary excretion of norepinephrine and dopamine in autonomic synucleinopathies.\",\"authors\":\"David S Goldstein, Patti Sullivan, Courtney Holmes\",\"doi\":\"10.1007/s10286-024-01093-6\",\"DOIUrl\":null,\"url\":null,\"abstract\":\"<p><strong>Background: </strong>Autonomic synucleinopathies feature autonomic failure and intracellular deposition of the protein alpha-synuclein. Three such conditions are the Lewy body diseases (LBDs) Parkinson's disease (PD) and pure autonomic failure (PAF) and the non-LBD synucleinopathy multiple system atrophy (MSA). These diseases all entail catecholaminergic abnormalities in the brain, sympathetically innervated organs, or both; however, little is known about renal catecholaminergic functions in autonomic synucleinopathies. We measured urinary excretion rates of the sympathetic neurotransmitter norepinephrine, the hormone epinephrine, the autocrine-paracrine substance dopamine, the catecholamine precursor 3,4-dihydroxyphenylalanine (DOPA), 3,4-dihydroxyphenylglycol (DHPG, the main neuronal metabolite of norepinephrine), and 3,4-dihydroxyphenylacetic acid (DOPAC, a major dopamine metabolite), in PD, PAF, and MSA groups and controls.</p><p><strong>Methods: </strong>Data were reviewed from all research participants who had urine collections (usually 3.5 h) at the National Institutes of Health (NIH) Clinical Center from 1995 to 2024. The control cohort had neither autonomic failure nor a movement disorder.</p><p><strong>Results: </strong>Norepinephrine excretion rates were decreased compared with controls in PD (p = 0.0001), PAF (p < 0.0001), and MSA (p < 0.0001). Dopamine excretion was also decreased in the three groups (PD: p = 0.0136, PAF: p = 0.0027, MSA: p = 0.0344). DHPG excretion was decreased in PD (p = 0.0004) and PAF (p = 0.0004) but not in MSA. DOPA and epinephrine excretion did not differ among the study groups.</p><p><strong>Conclusions: </strong>Autonomic synucleinopathies involve decreased urinary excretion rates of norepinephrine and dopamine. Since virtually all of urinary dopamine in humans is derived from circulating DOPA, the low rates of urinary norepinephrine and dopamine excretion may reflect dysfunctions in the renal sympathetic noradrenergic system, the DOPA-dopamine autocrine-paracrine system, or both systems.</p>\",\"PeriodicalId\":10168,\"journal\":{\"name\":\"Clinical Autonomic Research\",\"volume\":\" \",\"pages\":\"215-222\"},\"PeriodicalIF\":3.4000,\"publicationDate\":\"2025-04-01\",\"publicationTypes\":\"Journal Article\",\"fieldsOfStudy\":null,\"isOpenAccess\":false,\"openAccessPdf\":\"https://www.ncbi.nlm.nih.gov/pmc/articles/PMC12000174/pdf/\",\"citationCount\":\"0\",\"resultStr\":null,\"platform\":\"Semanticscholar\",\"paperid\":null,\"PeriodicalName\":\"Clinical Autonomic Research\",\"FirstCategoryId\":\"3\",\"ListUrlMain\":\"https://doi.org/10.1007/s10286-024-01093-6\",\"RegionNum\":3,\"RegionCategory\":\"医学\",\"ArticlePicture\":[],\"TitleCN\":null,\"AbstractTextCN\":null,\"PMCID\":null,\"EPubDate\":\"2024/12/10 0:00:00\",\"PubModel\":\"Epub\",\"JCR\":\"Q1\",\"JCRName\":\"CLINICAL NEUROLOGY\",\"Score\":null,\"Total\":0}","platform":"Semanticscholar","paperid":null,"PeriodicalName":"Clinical Autonomic Research","FirstCategoryId":"3","ListUrlMain":"https://doi.org/10.1007/s10286-024-01093-6","RegionNum":3,"RegionCategory":"医学","ArticlePicture":[],"TitleCN":null,"AbstractTextCN":null,"PMCID":null,"EPubDate":"2024/12/10 0:00:00","PubModel":"Epub","JCR":"Q1","JCRName":"CLINICAL NEUROLOGY","Score":null,"Total":0}
引用次数: 0

摘要

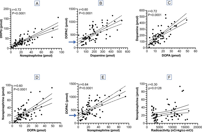
背景:自主突触核蛋白病以自主功能衰竭和细胞内α -突触核蛋白沉积为特征。这三种情况分别是路易体病(lbd)、帕金森病(PD)和纯自主神经衰竭(PAF)以及非lbd突触核蛋白病多系统萎缩(MSA)。这些疾病都涉及大脑、交感神经支配器官或两者的儿茶酚胺能异常;然而,关于肾脏儿茶酚胺能在自主神经突触核蛋白病中的功能知之甚少。我们测量了PD、PAF和MSA组和对照组中交感神经递质去甲肾上腺素、激素肾上腺素、自分泌-旁分泌物质多巴胺、儿茶酚胺前体3,4-二羟基苯丙氨酸(DOPA)、3,4-二羟基苯二醇(DHPG,去甲肾上腺素的主要神经元代谢物)和3,4-二羟基苯乙酸(DOPAC,多巴胺的主要代谢物)的尿排泄率。方法:回顾1995年至2024年在美国国立卫生研究院(NIH)临床中心收集尿液(通常为3.5小时)的所有研究参与者的数据。对照组既没有自主神经衰竭,也没有运动障碍。结果:PD患者去甲肾上腺素排泄率较对照组降低(p = 0.0001), PAF患者去甲肾上腺素排泄率较对照组降低(p = 0.0001)。结论:自主神经突触核蛋白病与尿中去甲肾上腺素和多巴胺排泄率降低有关。由于人体中几乎所有的尿多巴胺都来源于循环多巴,所以尿中去甲肾上腺素和多巴胺的低排泄率可能反映了肾交感去甲肾上腺素能系统、多巴-多巴自分泌-旁分泌系统或两者的功能障碍。
本文章由计算机程序翻译,如有差异,请以英文原文为准。

Decreased urinary excretion of norepinephrine and dopamine in autonomic synucleinopathies.

Decreased urinary excretion of norepinephrine and dopamine in autonomic synucleinopathies.

Decreased urinary excretion of norepinephrine and dopamine in autonomic synucleinopathies.

Decreased urinary excretion of norepinephrine and dopamine in autonomic synucleinopathies.

Background: Autonomic synucleinopathies feature autonomic failure and intracellular deposition of the protein alpha-synuclein. Three such conditions are the Lewy body diseases (LBDs) Parkinson's disease (PD) and pure autonomic failure (PAF) and the non-LBD synucleinopathy multiple system atrophy (MSA). These diseases all entail catecholaminergic abnormalities in the brain, sympathetically innervated organs, or both; however, little is known about renal catecholaminergic functions in autonomic synucleinopathies. We measured urinary excretion rates of the sympathetic neurotransmitter norepinephrine, the hormone epinephrine, the autocrine-paracrine substance dopamine, the catecholamine precursor 3,4-dihydroxyphenylalanine (DOPA), 3,4-dihydroxyphenylglycol (DHPG, the main neuronal metabolite of norepinephrine), and 3,4-dihydroxyphenylacetic acid (DOPAC, a major dopamine metabolite), in PD, PAF, and MSA groups and controls.

Methods: Data were reviewed from all research participants who had urine collections (usually 3.5 h) at the National Institutes of Health (NIH) Clinical Center from 1995 to 2024. The control cohort had neither autonomic failure nor a movement disorder.

Results: Norepinephrine excretion rates were decreased compared with controls in PD (p = 0.0001), PAF (p < 0.0001), and MSA (p < 0.0001). Dopamine excretion was also decreased in the three groups (PD: p = 0.0136, PAF: p = 0.0027, MSA: p = 0.0344). DHPG excretion was decreased in PD (p = 0.0004) and PAF (p = 0.0004) but not in MSA. DOPA and epinephrine excretion did not differ among the study groups.

Conclusions: Autonomic synucleinopathies involve decreased urinary excretion rates of norepinephrine and dopamine. Since virtually all of urinary dopamine in humans is derived from circulating DOPA, the low rates of urinary norepinephrine and dopamine excretion may reflect dysfunctions in the renal sympathetic noradrenergic system, the DOPA-dopamine autocrine-paracrine system, or both systems.

求助全文
通过发布文献求助,成功后即可免费获取论文全文。 去求助
来源期刊
Clinical Autonomic Research
Clinical Autonomic Research 医学-临床神经学
CiteScore
7.40
自引率
6.90%
发文量
65
审稿时长
>12 weeks
期刊介绍: Clinical Autonomic Research aims to draw together and disseminate research work from various disciplines and specialties dealing with clinical problems resulting from autonomic dysfunction. Areas to be covered include: cardiovascular system, neurology, diabetes, endocrinology, urology, pain disorders, ophthalmology, gastroenterology, toxicology and clinical pharmacology, skin infectious diseases, renal disease. This journal is an essential source of new information for everyone working in areas involving the autonomic nervous system. A major feature of Clinical Autonomic Research is its speed of publication coupled with the highest refereeing standards.
×
引用
GB/T 7714-2015
复制
MLA
复制
APA
复制
导出至
BibTeX EndNote RefMan NoteFirst NoteExpress
×
提示
您的信息不完整,为了账户安全,请先补充。
现在去补充
×
提示
您因"违规操作"
具体请查看互助需知
我知道了
×
提示
确定
请完成安全验证×
copy
已复制链接
快去分享给好友吧!
我知道了
右上角分享
点击右上角分享
0
联系我们:info@booksci.cn Book学术提供免费学术资源搜索服务,方便国内外学者检索中英文文献。致力于提供最便捷和优质的服务体验。 Copyright © 2023 布克学术 All rights reserved.
京ICP备2023020795号-1
ghs 京公网安备 11010802042870号
Book学术文献互助
Book学术文献互助群
群 号:604180095
Book学术官方微信