加用辛奥巴酸一年抗癫痫治疗对成人耐药局灶性癫痫患者骨密度和骨转换的影响:一项观察性研究。

IF 7.4 2区 医学 Q1 CLINICAL NEUROLOGY
CNS drugs Pub Date : 2025-01-01 Epub Date: 2024-12-05 DOI:10.1007/s40263-024-01137-5
Yulia Novitskaya, Andreas Schulze-Bonhage, Elisa Schütz, Martin Hirsch
{"title":"加用辛奥巴酸一年抗癫痫治疗对成人耐药局灶性癫痫患者骨密度和骨转换的影响:一项观察性研究。","authors":"Yulia Novitskaya, Andreas Schulze-Bonhage, Elisa Schütz, Martin Hirsch","doi":"10.1007/s40263-024-01137-5","DOIUrl":null,"url":null,"abstract":"<p><strong>Background and objective: </strong>Cenobamate is a novel anti-seizure medication (ASM) with unusually high responder rates even in patients with refractory epilepsy. Due to its enzyme-inducing properties, cenobamate could negatively affect bone metabolism, similar to other ASMs; however, effects of long-term cenobamate treatment on bone health have not yet been investigated. The aim of this longitudinal observational study was to assess the effects of 1 year of continuous, adjunctive cenobamate treatment on bone health in patients with drug-resistant, focal epilepsy.</p><p><strong>Methods: </strong>Adult patients from a tertiary epilepsy centre received cenobamate add-on to their concomitant anti-seizure medication. Bone mineral density at femoral neck and lumbar spine, as well as bone formation biomarkers, electrolytes and liver enzymes in serum were assessed at baseline and after 12 months of continuous cenobamate therapy.</p><p><strong>Results: </strong>Forty-seven patients (29 male, median age 40 years) were included in the study. Median daily dose of cenobamate at 12 months was 250 mg. Moderate, yet statistically significant reduction of the T-score at femoral neck but not lumbar spine was found after 1 year of cenobamate treatment, also in a subgroup of patients (n = 37) without enzyme inducers in the comedication. Additionally, we observed statistically significant changes in bone formation biomarkers: decreased serum level of osteocalcin and increased bone-specific alkaline phosphatase. Bone minerals (calcium and phosphorus) as well as vitamin D3 remained unchanged. Parathormone was statistically significantly reduced. There was a highly statistically significant increase in serum gamma-glutamyl transferase (GGT) levels after 12 months of treatment, reflecting an underlying hepatic enzyme induction by cenobamate.</p><p><strong>Conclusion: </strong>A statistically significant decrease of the T-score at femoral neck, as well as prominent alterations in the bone formation biomarkers, suggest an increase in bone turnover after 1 year of cenobamate treatment. The underlying mechanism is most likely attributed to the hepatic enzyme activation, indicated by a prominent elevation of serum GGT. The results alert for bone density control in susceptible patient groups.</p><p><strong>Trial registration number: </strong>DRKS00027568, March 2, 2022 retrospectively registered.</p>","PeriodicalId":10508,"journal":{"name":"CNS drugs","volume":" ","pages":"95-106"},"PeriodicalIF":7.4000,"publicationDate":"2025-01-01","publicationTypes":"Journal Article","fieldsOfStudy":null,"isOpenAccess":false,"openAccessPdf":"https://www.ncbi.nlm.nih.gov/pmc/articles/PMC11695382/pdf/","citationCount":"0","resultStr":"{\"title\":\"Effects of One-Year Anti-seizure Treatment with Add-On Cenobamate on Bone Density and Bone Turnover in Adults with Drug-Resistant Focal Epilepsy: An Observational Study.\",\"authors\":\"Yulia Novitskaya, Andreas Schulze-Bonhage, Elisa Schütz, Martin Hirsch\",\"doi\":\"10.1007/s40263-024-01137-5\",\"DOIUrl\":null,\"url\":null,\"abstract\":\"<p><strong>Background and objective: </strong>Cenobamate is a novel anti-seizure medication (ASM) with unusually high responder rates even in patients with refractory epilepsy. Due to its enzyme-inducing properties, cenobamate could negatively affect bone metabolism, similar to other ASMs; however, effects of long-term cenobamate treatment on bone health have not yet been investigated. The aim of this longitudinal observational study was to assess the effects of 1 year of continuous, adjunctive cenobamate treatment on bone health in patients with drug-resistant, focal epilepsy.</p><p><strong>Methods: </strong>Adult patients from a tertiary epilepsy centre received cenobamate add-on to their concomitant anti-seizure medication. Bone mineral density at femoral neck and lumbar spine, as well as bone formation biomarkers, electrolytes and liver enzymes in serum were assessed at baseline and after 12 months of continuous cenobamate therapy.</p><p><strong>Results: </strong>Forty-seven patients (29 male, median age 40 years) were included in the study. Median daily dose of cenobamate at 12 months was 250 mg. Moderate, yet statistically significant reduction of the T-score at femoral neck but not lumbar spine was found after 1 year of cenobamate treatment, also in a subgroup of patients (n = 37) without enzyme inducers in the comedication. Additionally, we observed statistically significant changes in bone formation biomarkers: decreased serum level of osteocalcin and increased bone-specific alkaline phosphatase. Bone minerals (calcium and phosphorus) as well as vitamin D3 remained unchanged. Parathormone was statistically significantly reduced. There was a highly statistically significant increase in serum gamma-glutamyl transferase (GGT) levels after 12 months of treatment, reflecting an underlying hepatic enzyme induction by cenobamate.</p><p><strong>Conclusion: </strong>A statistically significant decrease of the T-score at femoral neck, as well as prominent alterations in the bone formation biomarkers, suggest an increase in bone turnover after 1 year of cenobamate treatment. The underlying mechanism is most likely attributed to the hepatic enzyme activation, indicated by a prominent elevation of serum GGT. The results alert for bone density control in susceptible patient groups.</p><p><strong>Trial registration number: </strong>DRKS00027568, March 2, 2022 retrospectively registered.</p>\",\"PeriodicalId\":10508,\"journal\":{\"name\":\"CNS drugs\",\"volume\":\" \",\"pages\":\"95-106\"},\"PeriodicalIF\":7.4000,\"publicationDate\":\"2025-01-01\",\"publicationTypes\":\"Journal Article\",\"fieldsOfStudy\":null,\"isOpenAccess\":false,\"openAccessPdf\":\"https://www.ncbi.nlm.nih.gov/pmc/articles/PMC11695382/pdf/\",\"citationCount\":\"0\",\"resultStr\":null,\"platform\":\"Semanticscholar\",\"paperid\":null,\"PeriodicalName\":\"CNS drugs\",\"FirstCategoryId\":\"3\",\"ListUrlMain\":\"https://doi.org/10.1007/s40263-024-01137-5\",\"RegionNum\":2,\"RegionCategory\":\"医学\",\"ArticlePicture\":[],\"TitleCN\":null,\"AbstractTextCN\":null,\"PMCID\":null,\"EPubDate\":\"2024/12/5 0:00:00\",\"PubModel\":\"Epub\",\"JCR\":\"Q1\",\"JCRName\":\"CLINICAL NEUROLOGY\",\"Score\":null,\"Total\":0}","platform":"Semanticscholar","paperid":null,"PeriodicalName":"CNS drugs","FirstCategoryId":"3","ListUrlMain":"https://doi.org/10.1007/s40263-024-01137-5","RegionNum":2,"RegionCategory":"医学","ArticlePicture":[],"TitleCN":null,"AbstractTextCN":null,"PMCID":null,"EPubDate":"2024/12/5 0:00:00","PubModel":"Epub","JCR":"Q1","JCRName":"CLINICAL NEUROLOGY","Score":null,"Total":0}
引用次数: 0

摘要

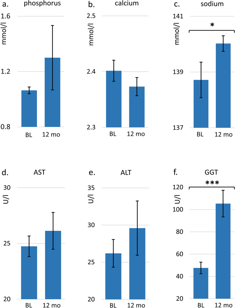
背景与目的:Cenobamate是一种新型抗癫痫药物(ASM),即使在难治性癫痫患者中也有异常高的应答率。由于其酶诱导特性,与其他asm类似,cenobamate可能对骨代谢产生负面影响;然而,长期化疗对骨骼健康的影响尚未被研究。这项纵向观察性研究的目的是评估1年持续辅助治疗对耐药局灶性癫痫患者骨健康的影响。方法:来自三级癫痫中心的成年患者在其伴随的抗癫痫药物的基础上接受cenobamate治疗。在基线和连续治疗12个月后,评估股骨颈和腰椎的骨矿物质密度,以及骨形成生物标志物,血清电解质和肝酶。结果:47例患者(男性29例,中位年龄40岁)纳入研究。12个月时的中位日剂量为250mg。在未使用酶诱导剂的患者亚组(n = 37)中,经过1年的辛奥巴马治疗后,发现股骨颈t评分有中度但有统计学意义的降低,而腰椎t评分没有下降。此外,我们观察到骨形成生物标志物的统计学显著变化:血清骨钙素水平降低,骨特异性碱性磷酸酶升高。骨矿物质(钙和磷)以及维生素D3保持不变。甲状旁腺激素水平显著降低。治疗12个月后,血清γ -谷氨酰转移酶(GGT)水平有高度统计学意义的增加,反映了cenobamate潜在的肝酶诱导作用。结论:股骨颈t评分显著下降,骨形成生物标志物显著改变,表明经1年化疗后骨转换增加。潜在的机制很可能归因于肝酶激活,血清GGT显著升高表明。结果提示在易感患者群体中控制骨密度。试验注册号:DRKS00027568,于2022年3月2日回顾性注册。
本文章由计算机程序翻译,如有差异,请以英文原文为准。

Effects of One-Year Anti-seizure Treatment with Add-On Cenobamate on Bone Density and Bone Turnover in Adults with Drug-Resistant Focal Epilepsy: An Observational Study.

Effects of One-Year Anti-seizure Treatment with Add-On Cenobamate on Bone Density and Bone Turnover in Adults with Drug-Resistant Focal Epilepsy: An Observational Study.

Effects of One-Year Anti-seizure Treatment with Add-On Cenobamate on Bone Density and Bone Turnover in Adults with Drug-Resistant Focal Epilepsy: An Observational Study.

Effects of One-Year Anti-seizure Treatment with Add-On Cenobamate on Bone Density and Bone Turnover in Adults with Drug-Resistant Focal Epilepsy: An Observational Study.

Background and objective: Cenobamate is a novel anti-seizure medication (ASM) with unusually high responder rates even in patients with refractory epilepsy. Due to its enzyme-inducing properties, cenobamate could negatively affect bone metabolism, similar to other ASMs; however, effects of long-term cenobamate treatment on bone health have not yet been investigated. The aim of this longitudinal observational study was to assess the effects of 1 year of continuous, adjunctive cenobamate treatment on bone health in patients with drug-resistant, focal epilepsy.

Methods: Adult patients from a tertiary epilepsy centre received cenobamate add-on to their concomitant anti-seizure medication. Bone mineral density at femoral neck and lumbar spine, as well as bone formation biomarkers, electrolytes and liver enzymes in serum were assessed at baseline and after 12 months of continuous cenobamate therapy.

Results: Forty-seven patients (29 male, median age 40 years) were included in the study. Median daily dose of cenobamate at 12 months was 250 mg. Moderate, yet statistically significant reduction of the T-score at femoral neck but not lumbar spine was found after 1 year of cenobamate treatment, also in a subgroup of patients (n = 37) without enzyme inducers in the comedication. Additionally, we observed statistically significant changes in bone formation biomarkers: decreased serum level of osteocalcin and increased bone-specific alkaline phosphatase. Bone minerals (calcium and phosphorus) as well as vitamin D3 remained unchanged. Parathormone was statistically significantly reduced. There was a highly statistically significant increase in serum gamma-glutamyl transferase (GGT) levels after 12 months of treatment, reflecting an underlying hepatic enzyme induction by cenobamate.

Conclusion: A statistically significant decrease of the T-score at femoral neck, as well as prominent alterations in the bone formation biomarkers, suggest an increase in bone turnover after 1 year of cenobamate treatment. The underlying mechanism is most likely attributed to the hepatic enzyme activation, indicated by a prominent elevation of serum GGT. The results alert for bone density control in susceptible patient groups.

Trial registration number: DRKS00027568, March 2, 2022 retrospectively registered.

求助全文
通过发布文献求助,成功后即可免费获取论文全文。 去求助
来源期刊
CNS drugs
CNS drugs 医学-精神病学
CiteScore
12.00
自引率
3.30%
发文量
82
审稿时长
6-12 weeks
期刊介绍: CNS Drugs promotes rational pharmacotherapy within the disciplines of clinical psychiatry and neurology. The Journal includes: - Overviews of contentious or emerging issues. - Comprehensive narrative reviews that provide an authoritative source of information on pharmacological approaches to managing neurological and psychiatric illnesses. - Systematic reviews that collate empirical evidence to answer a specific research question, using explicit, systematic methods as outlined by the PRISMA statement. - Adis Drug Reviews of the properties and place in therapy of both newer and established drugs in neurology and psychiatry. - Original research articles reporting the results of well-designed studies with a strong link to clinical practice, such as clinical pharmacodynamic and pharmacokinetic studies, clinical trials, meta-analyses, outcomes research, and pharmacoeconomic and pharmacoepidemiological studies. Additional digital features (including animated abstracts, video abstracts, slide decks, audio slides, instructional videos, infographics, podcasts and animations) can be published with articles; these are designed to increase the visibility, readership and educational value of the journal’s content. In addition, articles published in CNS Drugs may be accompanied by plain language summaries to assist readers who have some knowledge of, but not in-depth expertise in, the area to understand important medical advances.
×
引用
GB/T 7714-2015
复制
MLA
复制
APA
复制
导出至
BibTeX EndNote RefMan NoteFirst NoteExpress
×
提示
您的信息不完整,为了账户安全,请先补充。
现在去补充
×
提示
您因"违规操作"
具体请查看互助需知
我知道了
×
提示
确定
请完成安全验证×
copy
已复制链接
快去分享给好友吧!
我知道了
右上角分享
点击右上角分享
0
联系我们:info@booksci.cn Book学术提供免费学术资源搜索服务,方便国内外学者检索中英文文献。致力于提供最便捷和优质的服务体验。 Copyright © 2023 布克学术 All rights reserved.
京ICP备2023020795号-1
ghs 京公网安备 11010802042870号
Book学术文献互助
Book学术文献互助群
群 号:604180095
Book学术官方微信