机器学习性能与预测患者恶化风险的国家预警评分:一项急诊入院的单点研究。

IF 4.4 Q1 HEALTH CARE SCIENCES & SERVICES
Matthew Watson, Stelios Boulitsakis Logothetis, Darren Green, Mark Holland, Pinkie Chambers, Noura Al Moubayed
{"title":"机器学习性能与预测患者恶化风险的国家预警评分:一项急诊入院的单点研究。","authors":"Matthew Watson, Stelios Boulitsakis Logothetis, Darren Green, Mark Holland, Pinkie Chambers, Noura Al Moubayed","doi":"10.1136/bmjhci-2024-101088","DOIUrl":null,"url":null,"abstract":"<p><strong>Objectives: </strong>Increasing operational pressures on emergency departments (ED) make it imperative to quickly and accurately identify patients requiring urgent clinical intervention. The widespread adoption of electronic health records (EHR) makes rich feature patient data sets more readily available. These large data stores lend themselves to use in modern machine learning (ML) models. This paper investigates the use of transformer-based models to identify critical deterioration in unplanned ED admissions, using free-text fields, such as triage notes, and tabular data, including early warning scores (EWS).</p><p><strong>Design: </strong>A retrospective ML study.</p><p><strong>Setting: </strong>A large ED in a UK university teaching hospital.</p><p><strong>Methods: </strong>We extracted rich feature sets of routine clinical data from the EHR and systematically measured the performance of tree- and transformer-based models for predicting patient mortality or admission to critical care within 24 hours of presentation to ED. We compared our proposed models to the National EWS (NEWS).</p><p><strong>Results: </strong>Models were trained on 174 393 admission records. We found that models including free-text triage notes outperform structured tabular data models, achieving an average precision of 0.92, compared with 0.75 for tree-based models and 0.12 for NEWS.</p><p><strong>Conclusions: </strong>Our findings suggests that machine learning models using free-text data have the potential to improve clinical decision-making in the ED; our techniques significantly reduce alert rate while detecting most high-risk patients missed by NEWS.</p>","PeriodicalId":9050,"journal":{"name":"BMJ Health & Care Informatics","volume":"31 1","pages":""},"PeriodicalIF":4.4000,"publicationDate":"2024-12-04","publicationTypes":"Journal Article","fieldsOfStudy":null,"isOpenAccess":false,"openAccessPdf":"https://www.ncbi.nlm.nih.gov/pmc/articles/PMC11624723/pdf/","citationCount":"0","resultStr":"{\"title\":\"Performance of machine learning versus the national early warning score for predicting patient deterioration risk: a single-site study of emergency admissions.\",\"authors\":\"Matthew Watson, Stelios Boulitsakis Logothetis, Darren Green, Mark Holland, Pinkie Chambers, Noura Al Moubayed\",\"doi\":\"10.1136/bmjhci-2024-101088\",\"DOIUrl\":null,\"url\":null,\"abstract\":\"<p><strong>Objectives: </strong>Increasing operational pressures on emergency departments (ED) make it imperative to quickly and accurately identify patients requiring urgent clinical intervention. The widespread adoption of electronic health records (EHR) makes rich feature patient data sets more readily available. These large data stores lend themselves to use in modern machine learning (ML) models. This paper investigates the use of transformer-based models to identify critical deterioration in unplanned ED admissions, using free-text fields, such as triage notes, and tabular data, including early warning scores (EWS).</p><p><strong>Design: </strong>A retrospective ML study.</p><p><strong>Setting: </strong>A large ED in a UK university teaching hospital.</p><p><strong>Methods: </strong>We extracted rich feature sets of routine clinical data from the EHR and systematically measured the performance of tree- and transformer-based models for predicting patient mortality or admission to critical care within 24 hours of presentation to ED. We compared our proposed models to the National EWS (NEWS).</p><p><strong>Results: </strong>Models were trained on 174 393 admission records. We found that models including free-text triage notes outperform structured tabular data models, achieving an average precision of 0.92, compared with 0.75 for tree-based models and 0.12 for NEWS.</p><p><strong>Conclusions: </strong>Our findings suggests that machine learning models using free-text data have the potential to improve clinical decision-making in the ED; our techniques significantly reduce alert rate while detecting most high-risk patients missed by NEWS.</p>\",\"PeriodicalId\":9050,\"journal\":{\"name\":\"BMJ Health & Care Informatics\",\"volume\":\"31 1\",\"pages\":\"\"},\"PeriodicalIF\":4.4000,\"publicationDate\":\"2024-12-04\",\"publicationTypes\":\"Journal Article\",\"fieldsOfStudy\":null,\"isOpenAccess\":false,\"openAccessPdf\":\"https://www.ncbi.nlm.nih.gov/pmc/articles/PMC11624723/pdf/\",\"citationCount\":\"0\",\"resultStr\":null,\"platform\":\"Semanticscholar\",\"paperid\":null,\"PeriodicalName\":\"BMJ Health & Care Informatics\",\"FirstCategoryId\":\"1085\",\"ListUrlMain\":\"https://doi.org/10.1136/bmjhci-2024-101088\",\"RegionNum\":0,\"RegionCategory\":null,\"ArticlePicture\":[],\"TitleCN\":null,\"AbstractTextCN\":null,\"PMCID\":null,\"EPubDate\":\"\",\"PubModel\":\"\",\"JCR\":\"Q1\",\"JCRName\":\"HEALTH CARE SCIENCES & SERVICES\",\"Score\":null,\"Total\":0}","platform":"Semanticscholar","paperid":null,"PeriodicalName":"BMJ Health & Care Informatics","FirstCategoryId":"1085","ListUrlMain":"https://doi.org/10.1136/bmjhci-2024-101088","RegionNum":0,"RegionCategory":null,"ArticlePicture":[],"TitleCN":null,"AbstractTextCN":null,"PMCID":null,"EPubDate":"","PubModel":"","JCR":"Q1","JCRName":"HEALTH CARE SCIENCES & SERVICES","Score":null,"Total":0}
引用次数: 0

摘要

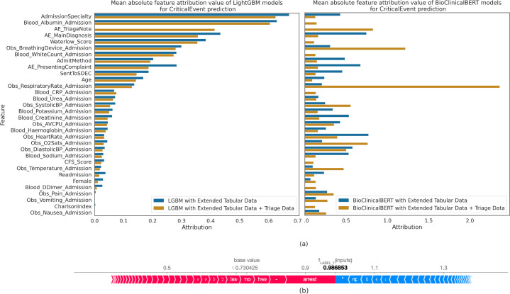
目的:急诊科(ED)日益增加的业务压力使得快速准确地识别需要紧急临床干预的患者势在必行。电子健康记录(EHR)的广泛采用使丰富的特征患者数据集更容易获得。这些大型数据存储可以用于现代机器学习(ML)模型。本文研究了使用基于变压器的模型来识别计划外急诊科入院的严重恶化,使用自由文本字段,如分类说明和表格数据,包括早期预警评分(EWS)。设计:回顾性ML研究。环境:英国大学教学医院的大型急诊科。方法:我们从EHR中提取了丰富的常规临床数据特征集,并系统地测量了基于树和变压器的模型的性能,用于预测患者在ED就诊后24小时内的死亡率或重症监护入院。我们将我们提出的模型与国家EWS (NEWS)进行了比较。结果:对174 393份入院记录进行了模型训练。我们发现,包含自由文本分类说明的模型优于结构化表格数据模型,平均精度为0.92,而基于树的模型为0.75,NEWS为0.12。结论:我们的研究结果表明,使用自由文本数据的机器学习模型有可能改善急诊科的临床决策;我们的技术显著降低了警觉率,同时发现了NEWS遗漏的大多数高危患者。
本文章由计算机程序翻译,如有差异,请以英文原文为准。

Performance of machine learning versus the national early warning score for predicting patient deterioration risk: a single-site study of emergency admissions.

Performance of machine learning versus the national early warning score for predicting patient deterioration risk: a single-site study of emergency admissions.

Performance of machine learning versus the national early warning score for predicting patient deterioration risk: a single-site study of emergency admissions.

Performance of machine learning versus the national early warning score for predicting patient deterioration risk: a single-site study of emergency admissions.

Objectives: Increasing operational pressures on emergency departments (ED) make it imperative to quickly and accurately identify patients requiring urgent clinical intervention. The widespread adoption of electronic health records (EHR) makes rich feature patient data sets more readily available. These large data stores lend themselves to use in modern machine learning (ML) models. This paper investigates the use of transformer-based models to identify critical deterioration in unplanned ED admissions, using free-text fields, such as triage notes, and tabular data, including early warning scores (EWS).

Design: A retrospective ML study.

Setting: A large ED in a UK university teaching hospital.

Methods: We extracted rich feature sets of routine clinical data from the EHR and systematically measured the performance of tree- and transformer-based models for predicting patient mortality or admission to critical care within 24 hours of presentation to ED. We compared our proposed models to the National EWS (NEWS).

Results: Models were trained on 174 393 admission records. We found that models including free-text triage notes outperform structured tabular data models, achieving an average precision of 0.92, compared with 0.75 for tree-based models and 0.12 for NEWS.

Conclusions: Our findings suggests that machine learning models using free-text data have the potential to improve clinical decision-making in the ED; our techniques significantly reduce alert rate while detecting most high-risk patients missed by NEWS.

求助全文
通过发布文献求助,成功后即可免费获取论文全文。 去求助
来源期刊
CiteScore
6.10
自引率
4.90%
发文量
40
审稿时长
18 weeks
×
引用
GB/T 7714-2015
复制
MLA
复制
APA
复制
导出至
BibTeX EndNote RefMan NoteFirst NoteExpress
×
提示
您的信息不完整,为了账户安全,请先补充。
现在去补充
×
提示
您因"违规操作"
具体请查看互助需知
我知道了
×
提示
确定
请完成安全验证×
copy
已复制链接
快去分享给好友吧!
我知道了
右上角分享
点击右上角分享
0
联系我们:info@booksci.cn Book学术提供免费学术资源搜索服务,方便国内外学者检索中英文文献。致力于提供最便捷和优质的服务体验。 Copyright © 2023 布克学术 All rights reserved.
京ICP备2023020795号-1
ghs 京公网安备 11010802042870号
Book学术文献互助
Book学术文献互助群
群 号:604180095
Book学术官方微信