IL-17A抑制剂对银屑病伴高尿酸血症患者血清尿酸水平的影响:一项前瞻性观察研究

IF 5.2 Q1 DERMATOLOGY
Psoriasis (Auckland, N.Z.) Pub Date : 2024-11-25 eCollection Date: 2024-01-01 DOI:10.2147/PTT.S486152
Chao Wu, Chunxia He, Haimeng Wang, Wenming Wang, Hongzhong Jin
{"title":"IL-17A抑制剂对银屑病伴高尿酸血症患者血清尿酸水平的影响:一项前瞻性观察研究","authors":"Chao Wu, Chunxia He, Haimeng Wang, Wenming Wang, Hongzhong Jin","doi":"10.2147/PTT.S486152","DOIUrl":null,"url":null,"abstract":"<p><strong>Purpose: </strong>This prospective observational study investigated whether interleukin (IL)-17A inhibitors could reduce serum uric acid (SUA) levels in psoriatic patients with hyperuricemia. It also explored the risk factors for hyperuricemia in psoriatic patients and the effectiveness of IL-17A inhibitors for the skin lesions of psoriatic patients with hyperuricemia.</p><p><strong>Methods: </strong>Patients aged ≥18 years with moderate to severe plaque psoriasis along with concomitant hyperuricemia (defined as an SUA level >416 μmol/L in men and >357 μmol/L in women) at baseline were treated with either secukinumab or ixekizumab. SUA levels were longitudinally assessed over 1 year. We evaluated the changes in SUA level and factors associated with SUA changes. Binary logistic regression was conducted to identify risk factors for hyperuricemia in psoriatic patients. Additionally, we examined effectiveness of IL-17A inhibitors for patients with psoriasis and hyperuricemia including Psoriasis Area Severity Index (PASI) 75, 90, and 100 response rates at 1 year.</p><p><strong>Results: </strong>Our study included 196 individuals diagnosed with psoriasis and hyperuricemia. The mean SUA levels were 481±68 μmol/L at baseline and 442±78 μmol/L after 1 year of treatment with IL-17A inhibitors (<i>p</i><0.001). Subgroup analysis revealed a consistent and significant decrease in SUA levels across different genders, age groups (30-39, 40-49, ≥50 years), BMI categories, baseline PASI scores, PASI improvement rates, and among patients treated with different IL-17A inhibitors. Patients aged ≥50 years and with a BMI <24 exhibited a higher SUA reduction rate. Male gender, age under 40 years, obesity, hypertension, hypertriglyceridemia, and a PASI score of ≥20 were independent risk factors for hyperuricemia in patients with psoriasis. The PASI 75, 90, and 100 response rates in psoriatic patients with hyperuricemia were 88.3%, 60.2%, and 28.6%, respectively, after 1 year of treatment with IL-17A inhibitors.</p><p><strong>Conclusion: </strong>Our findings suggest that SUA levels decrease significantly under IL-17A inhibitors treatment in psoriatic patients with hyperuricemia. Patients aged ≥50 years and with a BMI <24 had greater benefits. This study provides a theoretical basis for the selection of biologics to treat psoriatic patients with hyperuricemia.</p>","PeriodicalId":74589,"journal":{"name":"Psoriasis (Auckland, N.Z.)","volume":"14 ","pages":"153-166"},"PeriodicalIF":5.2000,"publicationDate":"2024-11-25","publicationTypes":"Journal Article","fieldsOfStudy":null,"isOpenAccess":false,"openAccessPdf":"https://www.ncbi.nlm.nih.gov/pmc/articles/PMC11606162/pdf/","citationCount":"0","resultStr":"{\"title\":\"Impact of IL-17A Inhibitors on Serum Uric Acid Levels in Psoriatic Patients with Hyperuricemia: A Prospective Observational Study.\",\"authors\":\"Chao Wu, Chunxia He, Haimeng Wang, Wenming Wang, Hongzhong Jin\",\"doi\":\"10.2147/PTT.S486152\",\"DOIUrl\":null,\"url\":null,\"abstract\":\"<p><strong>Purpose: </strong>This prospective observational study investigated whether interleukin (IL)-17A inhibitors could reduce serum uric acid (SUA) levels in psoriatic patients with hyperuricemia. It also explored the risk factors for hyperuricemia in psoriatic patients and the effectiveness of IL-17A inhibitors for the skin lesions of psoriatic patients with hyperuricemia.</p><p><strong>Methods: </strong>Patients aged ≥18 years with moderate to severe plaque psoriasis along with concomitant hyperuricemia (defined as an SUA level >416 μmol/L in men and >357 μmol/L in women) at baseline were treated with either secukinumab or ixekizumab. SUA levels were longitudinally assessed over 1 year. We evaluated the changes in SUA level and factors associated with SUA changes. Binary logistic regression was conducted to identify risk factors for hyperuricemia in psoriatic patients. Additionally, we examined effectiveness of IL-17A inhibitors for patients with psoriasis and hyperuricemia including Psoriasis Area Severity Index (PASI) 75, 90, and 100 response rates at 1 year.</p><p><strong>Results: </strong>Our study included 196 individuals diagnosed with psoriasis and hyperuricemia. The mean SUA levels were 481±68 μmol/L at baseline and 442±78 μmol/L after 1 year of treatment with IL-17A inhibitors (<i>p</i><0.001). Subgroup analysis revealed a consistent and significant decrease in SUA levels across different genders, age groups (30-39, 40-49, ≥50 years), BMI categories, baseline PASI scores, PASI improvement rates, and among patients treated with different IL-17A inhibitors. Patients aged ≥50 years and with a BMI <24 exhibited a higher SUA reduction rate. Male gender, age under 40 years, obesity, hypertension, hypertriglyceridemia, and a PASI score of ≥20 were independent risk factors for hyperuricemia in patients with psoriasis. The PASI 75, 90, and 100 response rates in psoriatic patients with hyperuricemia were 88.3%, 60.2%, and 28.6%, respectively, after 1 year of treatment with IL-17A inhibitors.</p><p><strong>Conclusion: </strong>Our findings suggest that SUA levels decrease significantly under IL-17A inhibitors treatment in psoriatic patients with hyperuricemia. Patients aged ≥50 years and with a BMI <24 had greater benefits. This study provides a theoretical basis for the selection of biologics to treat psoriatic patients with hyperuricemia.</p>\",\"PeriodicalId\":74589,\"journal\":{\"name\":\"Psoriasis (Auckland, N.Z.)\",\"volume\":\"14 \",\"pages\":\"153-166\"},\"PeriodicalIF\":5.2000,\"publicationDate\":\"2024-11-25\",\"publicationTypes\":\"Journal Article\",\"fieldsOfStudy\":null,\"isOpenAccess\":false,\"openAccessPdf\":\"https://www.ncbi.nlm.nih.gov/pmc/articles/PMC11606162/pdf/\",\"citationCount\":\"0\",\"resultStr\":null,\"platform\":\"Semanticscholar\",\"paperid\":null,\"PeriodicalName\":\"Psoriasis (Auckland, N.Z.)\",\"FirstCategoryId\":\"1085\",\"ListUrlMain\":\"https://doi.org/10.2147/PTT.S486152\",\"RegionNum\":0,\"RegionCategory\":null,\"ArticlePicture\":[],\"TitleCN\":null,\"AbstractTextCN\":null,\"PMCID\":null,\"EPubDate\":\"2024/1/1 0:00:00\",\"PubModel\":\"eCollection\",\"JCR\":\"Q1\",\"JCRName\":\"DERMATOLOGY\",\"Score\":null,\"Total\":0}","platform":"Semanticscholar","paperid":null,"PeriodicalName":"Psoriasis (Auckland, N.Z.)","FirstCategoryId":"1085","ListUrlMain":"https://doi.org/10.2147/PTT.S486152","RegionNum":0,"RegionCategory":null,"ArticlePicture":[],"TitleCN":null,"AbstractTextCN":null,"PMCID":null,"EPubDate":"2024/1/1 0:00:00","PubModel":"eCollection","JCR":"Q1","JCRName":"DERMATOLOGY","Score":null,"Total":0}
引用次数: 0

摘要

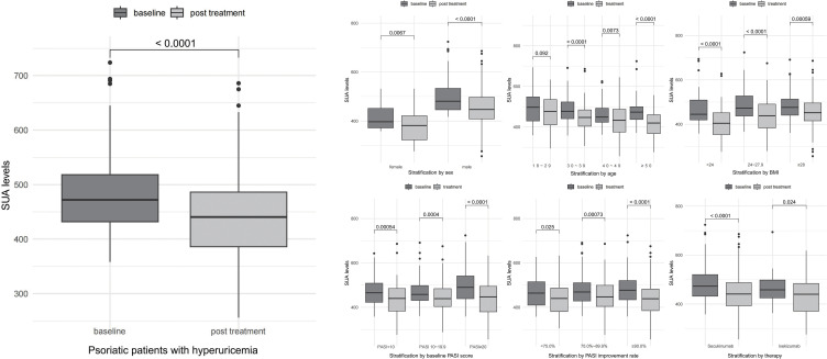
目的:本前瞻性观察研究探讨白介素(IL)-17A抑制剂是否能降低银屑病伴高尿酸血症患者血清尿酸(SUA)水平。探讨银屑病患者高尿酸血症的危险因素及IL-17A抑制剂对银屑病高尿酸血症患者皮肤病变的疗效。方法:年龄≥18岁,伴有中重度斑块型银屑病并伴有高尿酸血症(定义为男性SUA水平为>416 μmol/L,女性为>357 μmol/L)的患者在基线时接受secukinumab或ixekizumab治疗。在1年内纵向评估SUA水平。我们评估了SUA水平的变化以及与SUA变化相关的因素。采用二元logistic回归方法确定银屑病患者高尿酸血症的危险因素。此外,我们研究了IL-17A抑制剂对银屑病和高尿酸血症患者的有效性,包括1年的银屑病区域严重程度指数(PASI) 75、90和100的有效率。结果:我们的研究包括196名诊断为牛皮癣和高尿酸血症的个体。IL-17A抑制剂治疗1年后,银屑病伴高尿酸血症患者的平均SUA水平分别为481±68 μmol/L和442±78 μmol/L(结论:银屑病伴高尿酸血症患者接受IL-17A抑制剂治疗后,SUA水平显著降低。患者年龄≥50岁,BMI为
本文章由计算机程序翻译,如有差异,请以英文原文为准。

Impact of IL-17A Inhibitors on Serum Uric Acid Levels in Psoriatic Patients with Hyperuricemia: A Prospective Observational Study.

Impact of IL-17A Inhibitors on Serum Uric Acid Levels in Psoriatic Patients with Hyperuricemia: A Prospective Observational Study.

Impact of IL-17A Inhibitors on Serum Uric Acid Levels in Psoriatic Patients with Hyperuricemia: A Prospective Observational Study.

Purpose: This prospective observational study investigated whether interleukin (IL)-17A inhibitors could reduce serum uric acid (SUA) levels in psoriatic patients with hyperuricemia. It also explored the risk factors for hyperuricemia in psoriatic patients and the effectiveness of IL-17A inhibitors for the skin lesions of psoriatic patients with hyperuricemia.

Methods: Patients aged ≥18 years with moderate to severe plaque psoriasis along with concomitant hyperuricemia (defined as an SUA level >416 μmol/L in men and >357 μmol/L in women) at baseline were treated with either secukinumab or ixekizumab. SUA levels were longitudinally assessed over 1 year. We evaluated the changes in SUA level and factors associated with SUA changes. Binary logistic regression was conducted to identify risk factors for hyperuricemia in psoriatic patients. Additionally, we examined effectiveness of IL-17A inhibitors for patients with psoriasis and hyperuricemia including Psoriasis Area Severity Index (PASI) 75, 90, and 100 response rates at 1 year.

Results: Our study included 196 individuals diagnosed with psoriasis and hyperuricemia. The mean SUA levels were 481±68 μmol/L at baseline and 442±78 μmol/L after 1 year of treatment with IL-17A inhibitors (p<0.001). Subgroup analysis revealed a consistent and significant decrease in SUA levels across different genders, age groups (30-39, 40-49, ≥50 years), BMI categories, baseline PASI scores, PASI improvement rates, and among patients treated with different IL-17A inhibitors. Patients aged ≥50 years and with a BMI <24 exhibited a higher SUA reduction rate. Male gender, age under 40 years, obesity, hypertension, hypertriglyceridemia, and a PASI score of ≥20 were independent risk factors for hyperuricemia in patients with psoriasis. The PASI 75, 90, and 100 response rates in psoriatic patients with hyperuricemia were 88.3%, 60.2%, and 28.6%, respectively, after 1 year of treatment with IL-17A inhibitors.

Conclusion: Our findings suggest that SUA levels decrease significantly under IL-17A inhibitors treatment in psoriatic patients with hyperuricemia. Patients aged ≥50 years and with a BMI <24 had greater benefits. This study provides a theoretical basis for the selection of biologics to treat psoriatic patients with hyperuricemia.

求助全文
通过发布文献求助,成功后即可免费获取论文全文。 去求助
来源期刊
自引率
0.00%
发文量
0
审稿时长
16 weeks
×
引用
GB/T 7714-2015
复制
MLA
复制
APA
复制
导出至
BibTeX EndNote RefMan NoteFirst NoteExpress
×
提示
您的信息不完整,为了账户安全,请先补充。
现在去补充
×
提示
您因"违规操作"
具体请查看互助需知
我知道了
×
提示
确定
请完成安全验证×
copy
已复制链接
快去分享给好友吧!
我知道了
右上角分享
点击右上角分享
0
联系我们:info@booksci.cn Book学术提供免费学术资源搜索服务,方便国内外学者检索中英文文献。致力于提供最便捷和优质的服务体验。 Copyright © 2023 布克学术 All rights reserved.
京ICP备2023020795号-1
ghs 京公网安备 11010802042870号
Book学术文献互助
Book学术文献互助群
群 号:604180095
Book学术官方微信