用总血栓形成分析系统(T-TAS®01)评价足月和早产儿血小板功能及其与动脉导管未闭的关系前瞻性观察性初步研究。

IF 2.3 3区 医学 Q2 HEMATOLOGY
Blood Transfusion Pub Date : 2025-05-01 Epub Date: 2024-10-25 DOI:10.2450/BloodTransfus.765
Ester Capecchi, Valeria Cortesi, Genny Raffaeli, Irene Picciolli, Nicola Pesenti, Monica Fumagalli, Giacomo Cavallaro, Stefano Ghirardello, Gaia Francescato
{"title":"用总血栓形成分析系统(T-TAS®01)评价足月和早产儿血小板功能及其与动脉导管未闭的关系前瞻性观察性初步研究。","authors":"Ester Capecchi, Valeria Cortesi, Genny Raffaeli, Irene Picciolli, Nicola Pesenti, Monica Fumagalli, Giacomo Cavallaro, Stefano Ghirardello, Gaia Francescato","doi":"10.2450/BloodTransfus.765","DOIUrl":null,"url":null,"abstract":"<p><strong>Background: </strong>Newborns exhibit a pro-coagulant hemostatic profile despite platelet hyporeactivity and reduced coagulation factors. Assessing infant hemostasis, particularly in preterm infants, is challenging, with inconsistent findings regarding the relationship between platelet count and function in patients with patent ductus arteriosus (PDA).</p><p><strong>Materials and methods: </strong>This study aims to assess platelet function using the Total Thrombus-Formation Analysis System (T-TAS®01) in term and preterm newborns. T-TAS®01 measures the Occlusion Start Time (OST), Occlusion Time (OT), and the Area Under the Curve (AUC) at the end of thrombus formation. The study includes term and preterm newborns below 30 weeks' gestational age (GA) admitted to the Neonatal Intensive Care Unit. Blood samples were collected from preterm newborns on the 1<sup>st</sup> day of life (T0), between 48-72 hours of life (T1), between the 7<sup>th</sup> and 10<sup>th</sup> day of life (T2), and from term newborns at T0 and T2. Secondary endpoints include the relationship between T-TAS®01 parameters and significant PDA in preterm newborns and the correlation between T-TAS®01 parameters, GA, and complete blood count (CBC).</p><p><strong>Results: </strong>OST is delayed by 65.5 seconds in preterm infants at T0 (p<0.001) and by 46 seconds at T2 (p=0.041) compared to full-term newborns. OT is delayed by 164 seconds in preterm infants at T0 (p=0.002) and by 352 seconds at T2 (p=0.002). AUC at T0 is lower in preterm infants (p=0.028). There is no significant correlation between T-TAS®01 parameters and GA or CBC. Additionally, OST and OT are delayed, and AUC is reduced in preterm infants with PDA and hemodynamically significant PDA (hsPDA).</p><p><strong>Discussion: </strong>T-TAS®01 is a reliable tool for evaluating platelet function in term newborns. However, measurements show higher variability in preterm infants, with significantly lower platelet activity observed in preterm infants with PDA and hsPDA.</p>","PeriodicalId":49260,"journal":{"name":"Blood Transfusion","volume":" ","pages":"255-265"},"PeriodicalIF":2.3000,"publicationDate":"2025-05-01","publicationTypes":"Journal Article","fieldsOfStudy":null,"isOpenAccess":false,"openAccessPdf":"https://www.ncbi.nlm.nih.gov/pmc/articles/PMC12108063/pdf/","citationCount":"0","resultStr":"{\"title\":\"Evaluation of platelet function by Total Thrombus-Formation Analysis System (T-TAS®01) in term and preterm infants and its relationship with patent ductus arteriosus. A prospective observational pilot study.\",\"authors\":\"Ester Capecchi, Valeria Cortesi, Genny Raffaeli, Irene Picciolli, Nicola Pesenti, Monica Fumagalli, Giacomo Cavallaro, Stefano Ghirardello, Gaia Francescato\",\"doi\":\"10.2450/BloodTransfus.765\",\"DOIUrl\":null,\"url\":null,\"abstract\":\"<p><strong>Background: </strong>Newborns exhibit a pro-coagulant hemostatic profile despite platelet hyporeactivity and reduced coagulation factors. Assessing infant hemostasis, particularly in preterm infants, is challenging, with inconsistent findings regarding the relationship between platelet count and function in patients with patent ductus arteriosus (PDA).</p><p><strong>Materials and methods: </strong>This study aims to assess platelet function using the Total Thrombus-Formation Analysis System (T-TAS®01) in term and preterm newborns. T-TAS®01 measures the Occlusion Start Time (OST), Occlusion Time (OT), and the Area Under the Curve (AUC) at the end of thrombus formation. The study includes term and preterm newborns below 30 weeks' gestational age (GA) admitted to the Neonatal Intensive Care Unit. Blood samples were collected from preterm newborns on the 1<sup>st</sup> day of life (T0), between 48-72 hours of life (T1), between the 7<sup>th</sup> and 10<sup>th</sup> day of life (T2), and from term newborns at T0 and T2. Secondary endpoints include the relationship between T-TAS®01 parameters and significant PDA in preterm newborns and the correlation between T-TAS®01 parameters, GA, and complete blood count (CBC).</p><p><strong>Results: </strong>OST is delayed by 65.5 seconds in preterm infants at T0 (p<0.001) and by 46 seconds at T2 (p=0.041) compared to full-term newborns. OT is delayed by 164 seconds in preterm infants at T0 (p=0.002) and by 352 seconds at T2 (p=0.002). AUC at T0 is lower in preterm infants (p=0.028). There is no significant correlation between T-TAS®01 parameters and GA or CBC. Additionally, OST and OT are delayed, and AUC is reduced in preterm infants with PDA and hemodynamically significant PDA (hsPDA).</p><p><strong>Discussion: </strong>T-TAS®01 is a reliable tool for evaluating platelet function in term newborns. However, measurements show higher variability in preterm infants, with significantly lower platelet activity observed in preterm infants with PDA and hsPDA.</p>\",\"PeriodicalId\":49260,\"journal\":{\"name\":\"Blood Transfusion\",\"volume\":\" \",\"pages\":\"255-265\"},\"PeriodicalIF\":2.3000,\"publicationDate\":\"2025-05-01\",\"publicationTypes\":\"Journal Article\",\"fieldsOfStudy\":null,\"isOpenAccess\":false,\"openAccessPdf\":\"https://www.ncbi.nlm.nih.gov/pmc/articles/PMC12108063/pdf/\",\"citationCount\":\"0\",\"resultStr\":null,\"platform\":\"Semanticscholar\",\"paperid\":null,\"PeriodicalName\":\"Blood Transfusion\",\"FirstCategoryId\":\"3\",\"ListUrlMain\":\"https://doi.org/10.2450/BloodTransfus.765\",\"RegionNum\":3,\"RegionCategory\":\"医学\",\"ArticlePicture\":[],\"TitleCN\":null,\"AbstractTextCN\":null,\"PMCID\":null,\"EPubDate\":\"2024/10/25 0:00:00\",\"PubModel\":\"Epub\",\"JCR\":\"Q2\",\"JCRName\":\"HEMATOLOGY\",\"Score\":null,\"Total\":0}","platform":"Semanticscholar","paperid":null,"PeriodicalName":"Blood Transfusion","FirstCategoryId":"3","ListUrlMain":"https://doi.org/10.2450/BloodTransfus.765","RegionNum":3,"RegionCategory":"医学","ArticlePicture":[],"TitleCN":null,"AbstractTextCN":null,"PMCID":null,"EPubDate":"2024/10/25 0:00:00","PubModel":"Epub","JCR":"Q2","JCRName":"HEMATOLOGY","Score":null,"Total":0}
引用次数: 0

摘要

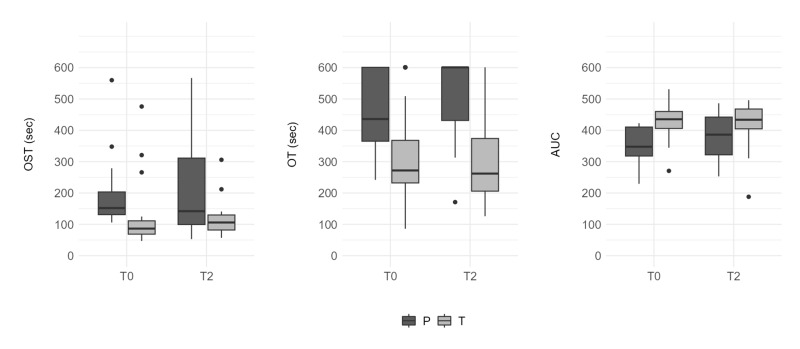
背景:尽管血小板反应性低和凝血因子降低,新生儿仍表现出促凝止血特征。评估婴儿的止血能力,特别是早产儿的止血能力,具有挑战性,关于动脉导管未闭(PDA)患者血小板计数与功能之间关系的研究结果不一致。材料和方法:本研究旨在利用总血栓形成分析系统(T-TAS®01)评估足月和早产儿的血小板功能。T-TAS®01测量血栓形成结束时的闭塞起始时间(OST)、闭塞时间(OT)和曲线下面积(AUC)。该研究包括在新生儿重症监护病房住院的足月新生儿和小于30周胎龄(GA)的早产儿。在出生第1天(T0)、48-72小时(T1)、7 - 10天(T2)以及T0和T2时足月新生儿采集血样。次要终点包括T-TAS®01参数与早产儿显著PDA之间的关系,以及T-TAS®01参数、GA和全血细胞计数(CBC)之间的相关性。结果:在T0 (p®01)参数和GA或CBC时,早产儿OST延迟65.5秒。此外,患有PDA和血流动力学显著PDA (hsPDA)的早产儿OST和OT延迟,AUC降低。讨论:T-TAS®01是评估足月新生儿血小板功能的可靠工具。然而,测量结果显示,在患有PDA和hsPDA的早产儿中,血小板活性明显降低。
本文章由计算机程序翻译,如有差异,请以英文原文为准。

Evaluation of platelet function by Total Thrombus-Formation Analysis System (T-TAS®01) in term and preterm infants and its relationship with patent ductus arteriosus. A prospective observational pilot study.

Evaluation of platelet function by Total Thrombus-Formation Analysis System (T-TAS®01) in term and preterm infants and its relationship with patent ductus arteriosus. A prospective observational pilot study.

Evaluation of platelet function by Total Thrombus-Formation Analysis System (T-TAS®01) in term and preterm infants and its relationship with patent ductus arteriosus. A prospective observational pilot study.

Background: Newborns exhibit a pro-coagulant hemostatic profile despite platelet hyporeactivity and reduced coagulation factors. Assessing infant hemostasis, particularly in preterm infants, is challenging, with inconsistent findings regarding the relationship between platelet count and function in patients with patent ductus arteriosus (PDA).

Materials and methods: This study aims to assess platelet function using the Total Thrombus-Formation Analysis System (T-TAS®01) in term and preterm newborns. T-TAS®01 measures the Occlusion Start Time (OST), Occlusion Time (OT), and the Area Under the Curve (AUC) at the end of thrombus formation. The study includes term and preterm newborns below 30 weeks' gestational age (GA) admitted to the Neonatal Intensive Care Unit. Blood samples were collected from preterm newborns on the 1st day of life (T0), between 48-72 hours of life (T1), between the 7th and 10th day of life (T2), and from term newborns at T0 and T2. Secondary endpoints include the relationship between T-TAS®01 parameters and significant PDA in preterm newborns and the correlation between T-TAS®01 parameters, GA, and complete blood count (CBC).

Results: OST is delayed by 65.5 seconds in preterm infants at T0 (p<0.001) and by 46 seconds at T2 (p=0.041) compared to full-term newborns. OT is delayed by 164 seconds in preterm infants at T0 (p=0.002) and by 352 seconds at T2 (p=0.002). AUC at T0 is lower in preterm infants (p=0.028). There is no significant correlation between T-TAS®01 parameters and GA or CBC. Additionally, OST and OT are delayed, and AUC is reduced in preterm infants with PDA and hemodynamically significant PDA (hsPDA).

Discussion: T-TAS®01 is a reliable tool for evaluating platelet function in term newborns. However, measurements show higher variability in preterm infants, with significantly lower platelet activity observed in preterm infants with PDA and hsPDA.

求助全文
通过发布文献求助,成功后即可免费获取论文全文。 去求助
来源期刊
Blood Transfusion
Blood Transfusion HEMATOLOGY-
CiteScore
6.10
自引率
2.70%
发文量
91
审稿时长
2 months
期刊介绍: Blood Transfusion welcomes international submissions of Original Articles, Review Articles, Case Reports and Letters on all the fields related to Transfusion Medicine.
×
引用
GB/T 7714-2015
复制
MLA
复制
APA
复制
导出至
BibTeX EndNote RefMan NoteFirst NoteExpress
×
提示
您的信息不完整,为了账户安全,请先补充。
现在去补充
×
提示
您因"违规操作"
具体请查看互助需知
我知道了
×
提示
确定
请完成安全验证×
copy
已复制链接
快去分享给好友吧!
我知道了
右上角分享
点击右上角分享
0
联系我们:info@booksci.cn Book学术提供免费学术资源搜索服务,方便国内外学者检索中英文文献。致力于提供最便捷和优质的服务体验。 Copyright © 2023 布克学术 All rights reserved.
京ICP备2023020795号-1
ghs 京公网安备 11010802042870号
Book学术文献互助
Book学术文献互助群
群 号:604180095
Book学术官方微信